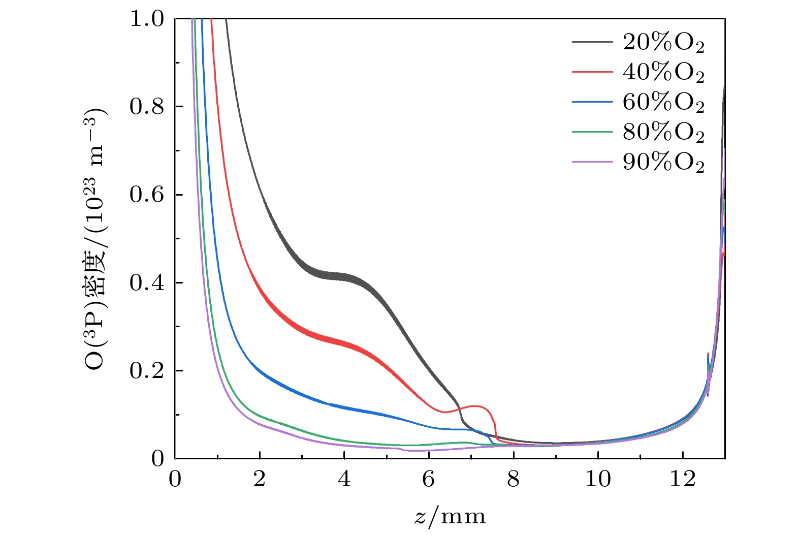
Streamer discharge has been widely applied in fields such as sterilization, disinfection, and ozone generation. The secondary discharge process significantly affects the effective ozone production duration and efficiency. However, the mechanism by which oxygen concentration influences secondary discharge characteristics and the yield of target products remains unclear. To address this issue, we developed a fluid-based analysis model of the secondary positive streamer discharge process between needle-plate electrodes under varying oxygen concentrations. This model accounts for the radial electric field and resolves potential non-physical branching issues that may arise in discharge simulations at high oxygen concentrations. In this study, we examine the effect of oxygen concentration on the optical emission characteristics of secondary positive streamers. The optical emission intensity, cathode charge transfer, and the yield of excited-state oxygen atoms ($ \rm O(^3P) $) under different oxygen concentrations are investigated and compared with experimental data. The results indicate that when the oxygen concentration increases from 20% to 90%, the optical emission intensity of the secondary discharge decreases by approximately 0.2%. Meanwhile, the average electron density in the discharge channel decreases by 90%, the electric field intensity changes by less than 10%, and the single discharge duration shortens by 77%. Under these conditions, the proportion of $ \rm O(^3P) $ yield originating from the primary discharge increases from 20% to 38%, and the unit energy yield of excited-state oxygen atoms $ \rm O(^3P) $ rises by 64%. Although the reduced discharge duration lowers the absolute $ \rm O(^3P) $ yield by 50%, the increase in unit energy yield more than compensates for the decrease in single-discharge yield. The decrease in single-discharge yield with increasing oxygen concentration arises from enhanced two- and three-body adsorption effects of oxygen molecules, which reduce the electron density. Additionally, the increased collision probability between electrons and oxygen molecules further influences these characteristic changes.