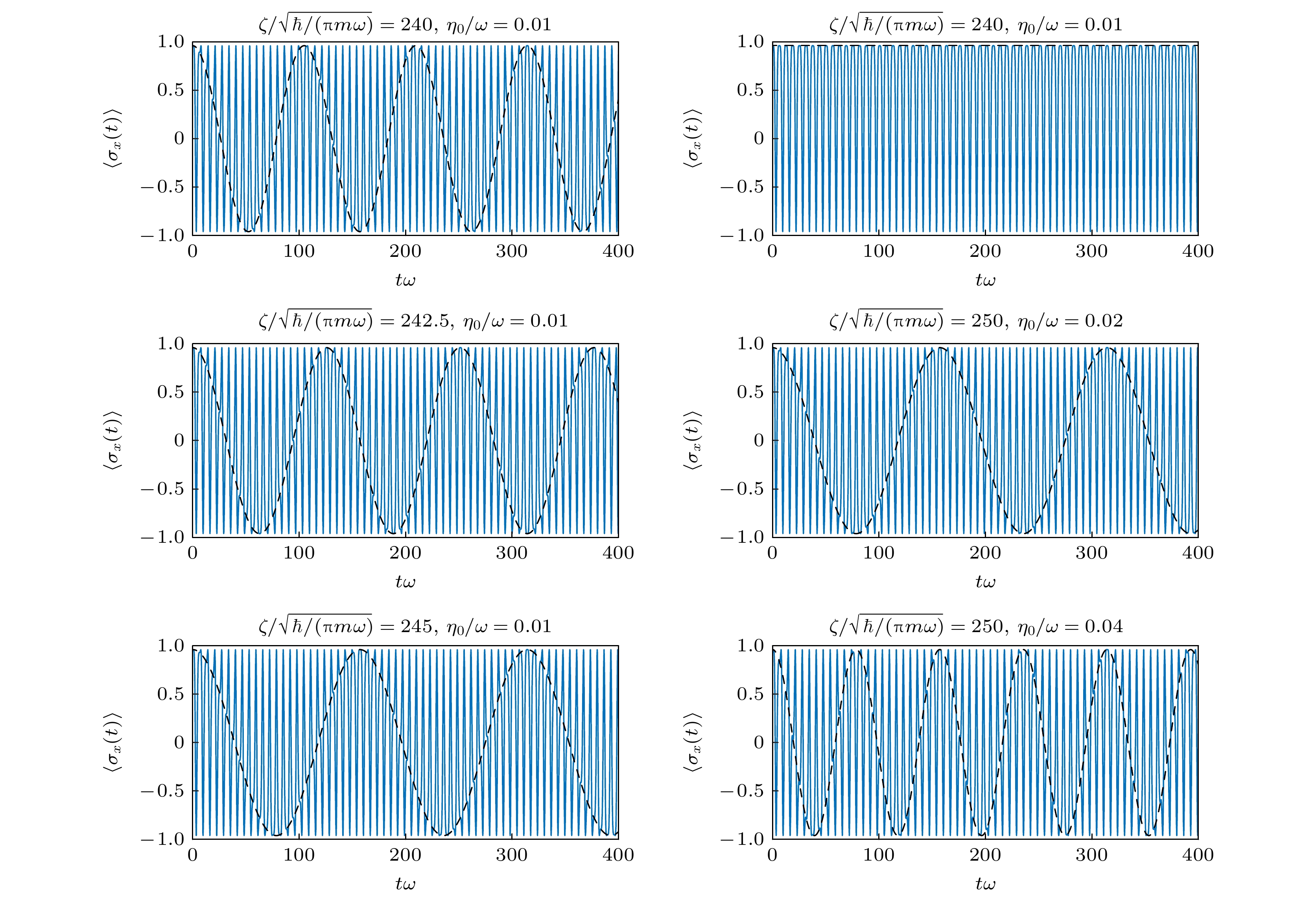
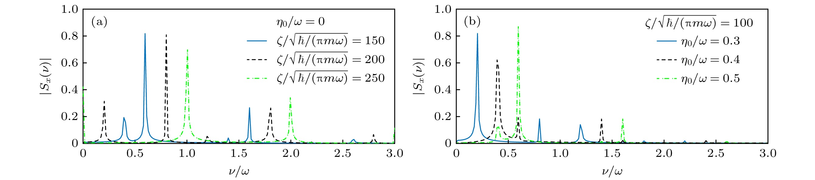
Dynamical characteristics of internal and external states of a Bose-Einstein condensate are generally different and independent, thus requiring different experimental manipulation techniques. The spin-orbit coupling recently achieved in Bose-Einstein condensates essentially connects spin and motion degree of freedom, endowing spin states with the ability to respond to orbital manipulation, and vice versa. In this work, a dynamical response effect, induced by simultaneously manipulating the internal and external states of a spin-orbit-coupled Bose-Einstein condensate, is predicted. Here, the “simultaneously manipulating the internal and external states” means that the driving field combines the Zeeman field applied to the internal state of the atom and the orbital potential affecting the external states of the atom. Specifically, the Bose-Einstein condensate is assumed to be activated by an abruptly applied Zeeman field and a sudden shake of the trapping potential. After some reasonable simplification and approximation of the model (i.e. neglecting the inter-atomic interactions and modelling the shake of the trapping potential by a short time-dependent pulse), an analytical relationship connecting spin frequency spectrum and the parameters of the driving fields is derived. The numerical calculations based on directly integrating the Gross-Pitaevskii equation are in good agreement with the results from the analytical relationship. The physical origin of the predicted spin dynamical response can be traced back to the quantum interference among different spin-orbit states. Due to the fact that a series of characteristic parameters of the condensate can be manifested in the spin frequency spectrum, the dynamical response effect predicted here provides a candidate method for determining and calibrating various system parameters by measuring the spin frequency spectrum.