-
针对传统低频电天线存在的体积庞大与高功耗问题, 基于压电谐振原理的磁电天线展现出显著的优势. 然而, 磁电复合材料中的黏接层与压电相、铁磁相之间的声学阻抗失配现象, 严重阻碍了磁-机-电耦合过程中的应力传递效率, 进而限制了磁电复合材料的磁辐射强度. 为提升磁发射性能, 本文设计了一种高界面应力传递特性的磁电复合材料, 其具有类三明治的结构, 由Pb(Zr, Ti)O3压电纤维复合材料(macro fiber composite, MFC)压电层、均匀填充MoS2的环氧树脂黏接层, 以及FeBSi(Metglas)磁致伸缩层组成. 通过向黏接层引入二维填料MoS2, 有效改善了黏接层与铁电相、铁磁相之间的声阻抗匹配特性. 系统研究了MoS2填充量对PZT MFC/Metglas磁电复合材料磁发射强度的影响规律. 实验结果表明, 当MoS2填充质量分数为1%时, 该复合材料在最佳偏置磁场条件下的磁发射强度达到了331 μT, 相较于未填充MoS2的磁电复合材料提升了1.5倍; 在距离发射源1 m处, 磁发射强度可达2.7 nT. 结合声阻抗匹配理论, 深入探讨了电-机-磁耦合过程中的应力传递机制. 此外, 通过采用幅移键控调制技术, 验证了基于MoS2改性的PZT MFC/Metglas磁电复合材料在信号无损传输方面的有效性. 本研究提出的黏接层优化方法, 为通过增强应力传递效率提升磁电响应性能提供了一种简便高效的技术途径, 同时为低频水下通信、地下传感以及分布式无线网络等小型通信系统的发展提供了新的技术方案与理论支撑.
-
关键词:
- PZT MFC/Metglas磁电复合材料 /
- 磁发射强度 /
- 应力传递 /
- 声阻抗
The magnetoelectric (ME) antenna based on the piezoelectric resonance principle can solve the problems of large size and high power consumption of traditional low-frequency electrical antennas. However, the acoustic impedance mismatch between the adhesive layer in the magnetoelectric composite and the piezoelectric and ferromagnetic phases significantly hinders the stress transfer in the magneto-mechanical-electric coupling process, ultimately limiting the magnetic radiation intensity of the magnetoelectric composite. To improve the magnetic emission performance of the PZT MFC/Metglas magnetoelectric composite, in this work, the two-dimensional filler MoS2 is adopted to fill and modify the adhesive layer of the PZT MFC/Metglas magnetoelectric composite, aiming to improve the acoustic impedance match between the adhesive layer and the ferroelectric and ferromagnetic phases. The influence of the MoS2 content on the magnetic emission intensity of the PZT MFC/Metglas magnetoelectric composite is systematically studied. The results show that when the filling weight percent of MoS2 is 1%, the magnetic emission intensity of the PZT MFC/Metglas magnetoelectric composite can reach 331 μT under the optimal bias, which is 1.5 times higher than that of the magnetoelectric composite without MoS2 filling. At a distance of 1 m, the magnetic emission intensity can reach 2.7 nT. The stress wave transfer mechanism in the electro-mechanical-magnetic coupling is discussed in conjunction with acoustic impedance matching theory. In addition, the amplitude shift keying modulation method demonstrates the lossless signal transmission capability of the magnetoelectric antenna composed of MoS2-modified PZT MFC/Metglas magnetoelectric composite. This method of optimizing the interfacial adhesive layer is simple and effective to expand the magnetoelectric response by increasing the stress wave transfer efficiency. Meanwhile, it provides a feasible solution for communication systems such as low-frequency underwater communication, underground sensing, and distributed wireless networks.-
Keywords:
- PZT MFC/Metglas magnetoelectric composite /
- magnetic emission intensity /
- stress transfer /
- acoustic impedance
[1] [2] [3] [4] [5] [6] [7] [8] [9] [10] [11] [12] [13] [14] [15] [16] [17] [18] [19] [20] [21] [22] [23] [24] [25] [26] [27] -
Samples
(epoxy/MoS2)Density
/(g·cm–3)Young’s
modulus
/GPaZ
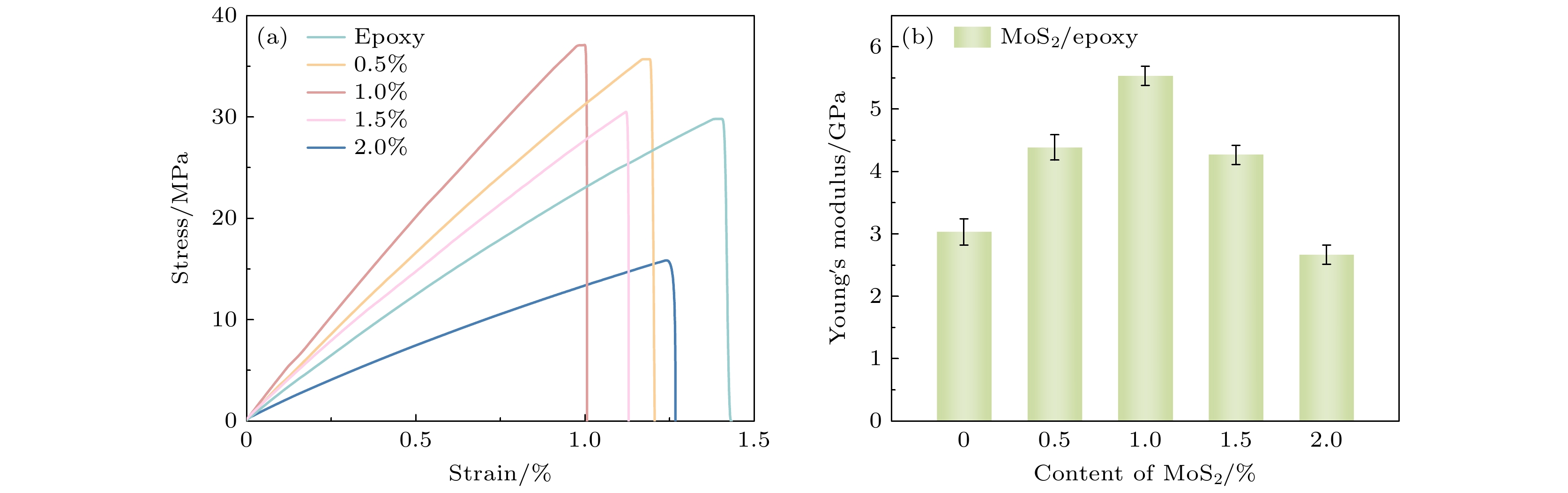
/MRaylsT epoxy 1.26 3.01 1.95 0.077 0.5% 1.29 4.36 2.38 0.107 1% 1.32 5.56 2.70 0.132 1.5% 1.34 4.12 2.34 0.101 2% 1.35 2.70 1.90 0.074 PZT-5H 7.61 56 20.63 Metglas 7.82 100 27.93 年份 材料体系 发射器体积/cm3 工作频率/kHz 辐射能力 单位体积辐射能力 2020[23] PZT 50.3 33.23 40 fT at 6 m 0.8 fT/cm3 @6 m 2022[24] PZT/Metglas 0.45 6.3 1 nT at 0.4 m 2.2 nT/cm3 @0.4 m 2023[25] PZT/Metglas 69 22.23 6 pT at 5.5 m 0.09 pT/cm3 @5.5 m 2020[14] PZT/Metglas 0.33 23.95 10 fT at 120 m 30 fT/cm3 @120 m 2023[26] PZT/Metglas 0.56 17.9 1 nT at 1.4 m 1.79 nT/cm3 @1.4 m 2024[27] PZT/Ni/Metglas 0.16 24.47 2.4 pT at 3 m 15 pT/cm3@3 m 本工作 PZT-5H/Metglas 0.07 12.51 2.7 nT at 1 m 38.6 nT/cm3 @1 m -
[1] [2] [3] [4] [5] [6] [7] [8] [9] [10] [11] [12] [13] [14] [15] [16] [17] [18] [19] [20] [21] [22] [23] [24] [25] [26] [27]
计量
- 文章访问数: 544
- PDF下载量: 23
- 被引次数: 0








下载: