-
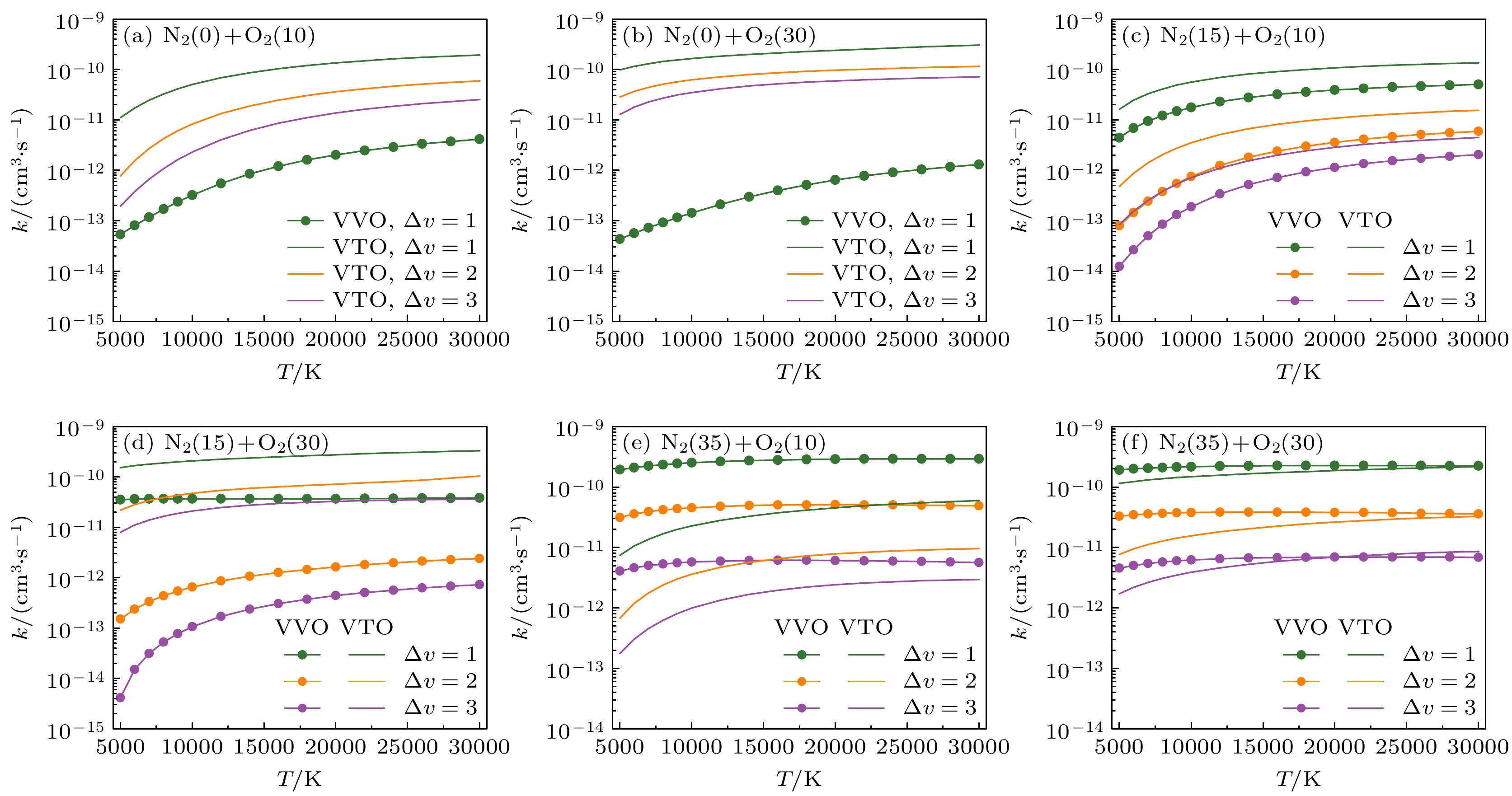
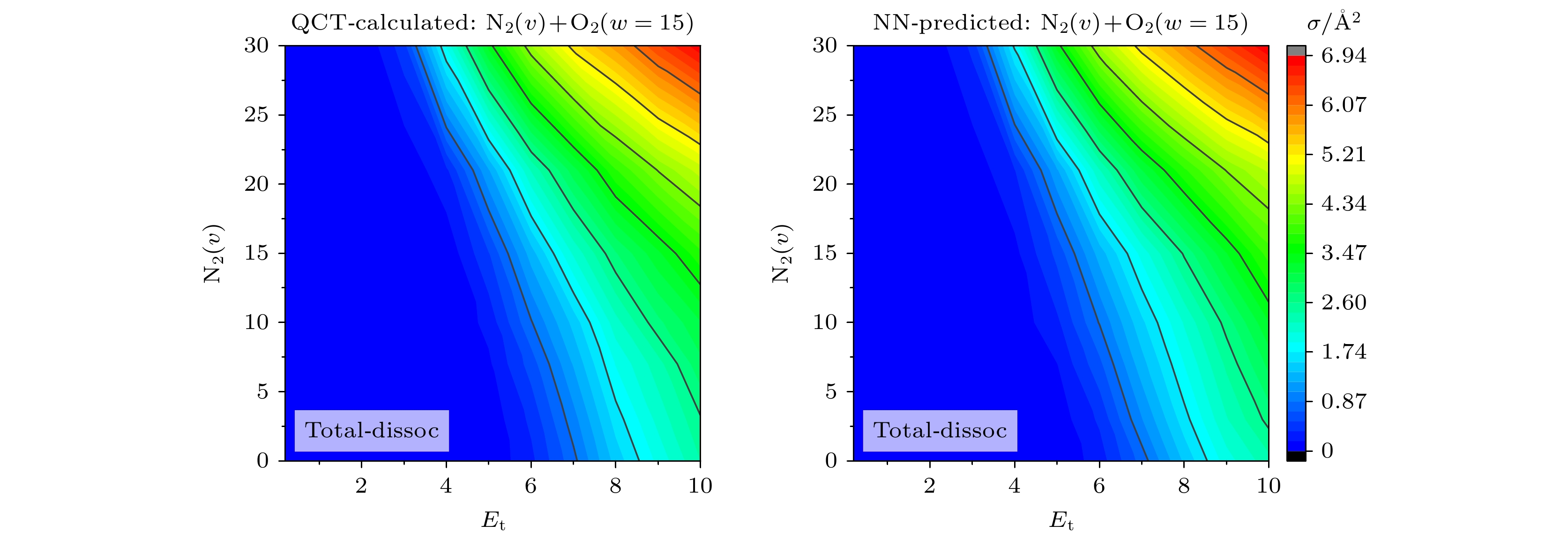
散射截面和反应速率系数是阐明分子气体态-态碰撞传能机制的重要参数, 也是进行非平衡气体动力学建模的重要依据. 本文采用动力学模拟中的准经典轨迹方法(QCT)计算了90个不同初始振动态组合的N2(v) + O2(w)碰撞过程, 详细讨论了各个振动激发、解离反应通道的贡献和演变趋势. 研究发现: O2和N2在振动-振动能量交换(VV)通道的贡献比较接近, 振动-平动跃迁(VT)通道主要以O2为主; 总解离截面主要来自O2单解离通道, 交换解离其次, N2单解离和双解离通道的贡献相对较小. 基于QCT数据集, 训练了性能良好的神经网络模型(相关系数R值达到0.99), 可用于预测N2 + O2态-态碰撞的总解离截面. 和仅采用动力学模拟方法相比, 计算成本降低了约91.94%. 在5000—30000 K高温范围内, 给出了VV/VT速率系数的解析表达式.The scattering cross-sections and reaction rate coefficients are crucial parameters for elucidating the energy transfer mechanism of state-to-state collisions between molecular gases and also serve as a fundamental basis for modeling the non-equilibrium flow field. However, the database of kinetic processes related to nitrogen shock flows is still being developed. In this work, a detailed kinetic study of the N2 + O2 collision is carried out by combining the quasi-classical trajectory method (QCT) and neural network model (NN). Firstly, QCT is used to calculate 90 N2(v) + O2(w) processes with various initial vibrational states (v,w), and the contributions of all vibrational excitation and dissociation reaction channels are discussed. The following conclusions are drawn: 1) The contributions of the vibration-vibration (VV) energy exchange channel of O2 and N2 are similar, while the vibration-translational (VT) transition mainly occurs on O2; 2) The total dissociation cross-section primarily results from the O2 single-dissociation channel, followed by the exchange-dissociation channel, with relatively minor contributions from the N2 single- and double-dissociation channels. Then, based on the QCT dataset, a high-performance NN model (R-value of 0.99) is trained to predict the total dissociation cross-section caused by N2(v) + O2(w) collisions. Compared with the method that only uses QCT, the method that jointly uses OCT and NN model can achieve an approximately 91.94% reduction in computational cost. Finally, to facilitate use in kinetic modeling, Arrhenius-type fits for the VV/VT rate coefficients are provided over the temperature range of 5000–30000 K, and an exponential form related to the translational energy Et is used to fit the total dissociation cross-section.
-
Keywords:
- state-to-state reaction rate coefficient /
- vibration relaxation /
- collision dissociation /
- neural network model
[1] [2] [3] [4] [5] [6] [7] [8] [9] [10] [11] [12] [13] [14] [15] [16] [17] [18] [19] [20] [21] [22] [23] [24] [25] [26] [27] [28] [29] [30] [31] [32] [33] [34] [35] [36] [37] [38] [39] [40] [41] [42] [43] -
Group N2(v) O2(w) Et (eV) 1 {0, 5, 10, 21, 30} {0, 1, 3, 7, 10, 15, 21, 25, 30} {0.2, 0.6, 1, 2,
3, 4, 5, 6, 7, 8, 9, 10}2 {0, 1, 3, 7, 10, 15, 21, 25, 30, 35} {0, 5, 10, 21, 30} N2(v) + O2(w) → N2(v') + O2(w') A n B MSE (0, 10) → (1, 9) 4.10 × 10–10 –2.91 × 10–1 4.81 × 104 4.27 × 10–26 (0, 10) → (0, 9) 2.44 × 10–10 4.28 × 10–2 2.01 × 104 7.67 × 10–22 (0, 10) → (0, 8) 3.33 × 10–10 –6.70 × 10–2 3.10 × 104 3.04 × 10–23 (0, 10) → (0, 7) 3.95 × 10–10 –1.39 × 10–1 3.96 × 104 2.66 × 10–24 (0, 21) → (1, 20) 4.24 × 10–10 –4.58 × 10–1 –4.53 × 103 4.21 × 10–23 (0, 21) → (0, 20) 3.50 × 10–10 2.04 × 10–1 2.78 × 103 7.96 × 10–21 (0, 21) → (0, 19) 2.51 × 10–10 –3.01 × 10–2 1.94 × 104 2.32 × 10–22 (0, 21) → (0, 18) 2.87 × 10–10 –7.43 × 10–2 2.46 × 104 5.62 × 10–23 (0, 30) → (1, 29) 3.01 × 10–10 –3.75 × 10–1 4.79 × 104 6.99 × 10–27 (0, 30) → (0, 29) 1.39 × 10–10 9.46 × 10–2 7.06 × 103 6.44 × 10–21 (0, 30) → (0, 28) 1.49 × 10–10 2.78 × 10–3 9.00 × 103 9.18 × 10–22 (0, 30) → (0, 27) 1.74 × 10–10 –5.01 × 10–2 1.14 × 104 2.99 × 10–22 (15, 10) → (16, 9) 2.31 × 10–10 –9.11 × 10–2 1.73 × 104 8.85 × 10–23 (15, 10) → (17, 8) 3.46 × 10–10 –2.77 × 10–1 3.64 × 104 2.77 × 10–25 (15, 10) → (18, 7) 3.94 × 10–10 –3.69 × 10–1 4.36 × 104 1.97 × 10–26 (15, 10) → (15, 9) 1.97 × 10–10 5.51 × 10–3 1.30 × 104 8.14 × 10–22 (15, 10) → (15, 8) 2.78 × 10–10 –1.96 × 10–1 2.58 × 104 4.40 × 10–24 (15, 10) → (15, 7) 3.17 × 10–10 –3.04 × 10–1 3.38 × 104 2.16 × 10–25 (15, 21) → (16, 20) 1.79 × 10–10 –2.61 × 10–2 1.56 × 104 2.42 × 10–22 (15, 21) → (17, 19) 2.69 × 10–10 –3.02 × 10–1 2.64 × 104 5.21 × 10–25 (15, 21) → (18, 18) 3.12 × 10–10 –3.82 × 10–1 3.60 × 104 3.42 × 10–26 (15, 21) → (15, 20) 1.96 × 10–10 7.64 × 10–2 1.35 × 104 2.82 × 10–21 (15, 21) → (15, 19) 2.46 × 10–10 –1.03 × 10–1 2.19 × 104 3.80 × 10–23 (15, 21) → (15, 18) 2.07 × 10–10 –1.88 × 10–1 2.49 × 104 3.33 × 10–24 (15, 30) → (16, 29) 9.24 × 10–11 –8.39 × 10–2 1.39 × 103 3.39 × 10–22 (15, 30) → (17, 28) 2.05 × 10–10 –3.47 × 10–1 2.70 × 104 1.23 × 10–25 (15, 30) → (18, 27) 3.20 × 10–10 –4.66 × 10–1 3.90 × 104 4.67 × 10–27 (15, 30) → (15, 29) 1.17 × 10–10 1.13 × 10–1 4.53 × 103 1.04 × 10–20 (15, 30) → (15, 28) 1.57 × 10–10 –1.67 × 10–2 1.10 × 104 5.05 × 10–22 (15, 30) → (15, 27) 5.12 × 10–10 –2.19 × 10–1 1.17 × 104 1.06 × 10–22 (35, 10) → (36, 9) 5.68 × 10–10 –5.32 × 10–2 3.17 × 103 1.51 × 10–20 (35, 10) → (37, 8) 1.30 × 10–9 –2.97 × 10–1 6.01 × 103 4.83 × 10–22 (35, 10) → (38, 7) 4.10 × 10–10 –3.94 × 10–1 6.35 × 103 7.64 × 10–24 (35, 10) → (35, 9) 2.01 × 10–10 –6.83 × 10–2 1.58 × 104 1.33 × 10–22 (35, 10) → (35, 8) 1.98 × 10–10 –2.33 × 10–1 1.85 × 104 3.73 × 10–24 (35, 10) → (35, 7) 1.88 × 10–10 –3.31 × 10–1 2.17 × 104 3.19 × 10–25 (35, 21) → (36, 20) 1.79 × 10–10 –2.60 × 10–2 1.56 × 104 2.42 × 10–22 (35, 21) → (37, 19) 2.69 × 10–10 –3.02 × 10–1 2.64 × 104 5.21 × 10–25 (35, 21) → (38, 18) 3.12 × 10–10 –3.82 × 10–1 3.60 × 104 3.4 × 10–26 (35, 21) → (35, 20) 1.96 × 10–10 7.64 × 10–2 1.35 × 104 2.82 × 10–21 (35, 21) → (35, 19) 2.46 × 10–10 –1.03 × 10–1 2.19 × 104 3.80 × 10–23 (35, 21) → (35, 18) 2.07 × 10–10 –1.88 × 10–1 2.49 × 104 3.33 × 10–24 (35, 30) → (36, 29) 5.99 × 10–10 –8.87 × 10–2 1.96 × 103 1.15 × 10–20 (35, 30) → (37, 28) 4.54 × 10–10 –2.35 × 10–1 3.14 × 103 3.48 × 10–22 (35, 30) → (38, 27) 9.69 × 10–11 –2.38 × 10–1 5.53 × 103 9.00 × 10–24 (35, 30) → (35, 29) 6.49 × 10–11 1.25 × 10–1 3.21 × 103 5.24 × 10–21 (35, 30) → (35, 28) 1.25 × 10–10 –9.18 × 10–2 1.26 × 104 6.00 × 10–23 (35, 30) → (35, 27) 1.61 × 10–10 –2.35 × 10–1 1.59 × 104 3.84 × 10–24 N2(v) O2(w) a b c RMSE 0 1 1.98 × 101 –1.02 × 102 9.03 × 100 1.82 × 10–4 0 3 1.13 × 101 –5.82 × 101 5.11 × 100 3.54 × 10–4 0 5 8.29 × 100 –4.30 × 101 3.87 × 100 2.95 × 10–3 0 7 6.43 × 100 –3.35 × 101 3.14 × 100 8.48 × 10–3 0 10 –2.46 × 102 3.52 × 101 –9.70 × 10–1 5.70 × 10–3 0 15 –9.18 × 101 1.06 × 101 2.57 × 10–1 8.02 × 10–3 0 21 –2.04 × 101 2.24 × 10–1 8.60 × 10–1 3.37 × 10–2 0 25 –5.67 × 100 –1.11 × 100 1.01 × 100 6.37 × 10–2 0 30 –6.06 × 10–1 –5.62 × 10–1 1.10 × 100 1.30 × 10–1 1 21 –2.03 × 101 3.57 × 10–1 8.50 × 10–1 2.33 × 10–2 1 30 –7.54 × 10–1 –4.60 × 10–1 1.09 × 100 1.58 × 10–1 3 15 –7.75 × 101 8.74 × 100 3.16 × 10–1 1.44 × 10–2 3 21 –2.10 × 101 1.02 × 100 7.94 × 10–1 4.72 × 10–2 3 30 –8.40 × 10–1 –3.81 × 10–1 1.09 × 100 1.73 × 10–1 5 30 –8.07 × 10–1 –3.74 × 10–1 1.09 × 100 1.94 × 10–1 5 0 8.27 × 100 –4.28 × 101 3.65 × 100 6.98 × 10–3 5 1 8.21 × 100 –4.25 × 101 3.75 × 100 3.78 × 10–3 5 3 7.21 × 100 –3.75 × 101 3.44 × 100 6.53 × 10–3 5 7 –3.96 × 102 6.61 × 101 –2.62 × 100 1.60 × 10–3 5 10 –2.83 × 102 4.83 × 101 –1.81 × 100 5.40 × 10–3 5 15 –7.95 × 101 9.94 × 100 2.43 × 10–1 2.80 × 10–2 5 21 –1.95 × 101 8.26 × 10–1 8.08 × 10–1 3.42 × 10–2 5 25 –6.46 × 100 –4.60 × 10–1 9.66 × 10–1 6.22 × 10–2 7 15 –6.79 × 101 8.41 × 100 2.93 × 10–1 2.57 × 10–2 7 21 –1.85 × 101 6.82 × 10–1 8.22 × 10–1 3.75 × 10–2 7 30 –7.52 × 101 –3.87 × 10–1 1.09 × 100 2.02 × 10–1 10 15 –6.21 × 101 7.99 × 100 3.14 × 10–1 3.16 × 10–2 10 21 –1.75 × 101 7.87 × 10–1 8.16 × 10–1 4.21 × 10–2 10 30 –6.64 × 10–1 –4.20 × 10–1 1.09 × 100 2.00 × 10–1 15 0 3.92 × 100 –2.04 × 101 2.03 × 100 1.68 × 10–2 15 3 3.21 × 100 –1.68 × 101 1.83 × 100 4.68 × 10–2 15 7 –1.97 × 102 3.56 × 101 –1.29 × 100 2.32 × 10–2 15 10 –1.12 × 102 1.78 × 101 –2.20 × 10–1 3.96 × 10–2 15 15 –4.74 × 101 5.30 × 100 5.20 × 10–1 3.20 × 10–2 15 21 –1.20 × 101 –4.00 × 10–1 9.19 × 10–1 5.88 × 10–2 15 25 –5.0 × 100 –5.65 × 10–1 9.88 × 10–1 3.51 × 10–2 15 30 –6.92 × 10–1 –3.97 × 10–1 1.09 × 100 1.50 × 10–1 18 21 –1.16 × 101 –2.55 × 10–1 9.34 × 10–1 5.33 × 10–2 21 15 –3.44 × 101 4.04 × 100 6.22 × 10–1 4.97 × 10–2 21 0 –7.70 × 101 5.01 × 100 5.89 × 10–1 1.06 × 10–2 21 1 –7.61 × 101 5.57 × 100 5.54 × 10–1 7.48 × 10–3 21 3 –8.50 × 101 9.82 × 100 2.65 × 10–1 1.68 × 10–2 21 7 –6.54 × 101 7.75 × 100 3.69 × 10–1 2.71 × 10–2 21 10 –4.66 × 101 4.61 × 100 5.73 × 10–1 1.65 × 10–2 21 18 –1.81 × 101 8.87 × 10–1 8.42 × 10–1 6.70 × 10–2 21 21 –1.09 × 101 8.07 × 10–2 9.19 × 10–1 5.56 × 10–2 21 25 –3.91 × 100 –8.38 × 10–1 1.04 × 100 6.94 × 10–2 21 27 –2.07 × 100 –7.80 × 10–1 1.07 × 100 6.97 × 10–2 21 30 –4.61 × 10–1 –5.58 × 10–1 1.12 × 100 1.79 × 10–1 27 21 –6.79 × 100 –4.70 × 10–1 1.02 × 100 8.37 × 10–2 30 15 –9.22 × 100 –3.68 × 10–1 9.65 × 10–1 1.25 × 10–1 30 21 –4.34 × 100 –9.02 × 10–1 1.08 × 100 1.40 × 10–1 30 30 1.01 × 10–1 –8.90 × 10–1 1.23 × 100 3.85 × 10–1 35 21 –2.49 × 100 –8.65 × 10–1 1.13 × 100 1.79 × 10–1 35 5 –1.15 × 101 5.75 × 10–1 8.62 × 10–1 5.73 × 10–2 35 10 –8.09 × 100 –4.55 × 10–2 9.44 × 10–1 7.15 × 10–2 35 30 1.06 × 10–1 –8.47 × 10–1 1.29 × 100 5.14 × 10–1 -
[1] [2] [3] [4] [5] [6] [7] [8] [9] [10] [11] [12] [13] [14] [15] [16] [17] [18] [19] [20] [21] [22] [23] [24] [25] [26] [27] [28] [29] [30] [31] [32] [33] [34] [35] [36] [37] [38] [39] [40] [41] [42] [43]
计量
- 文章访问数: 1664
- PDF下载量: 53
- 被引次数: 0








下载: