-
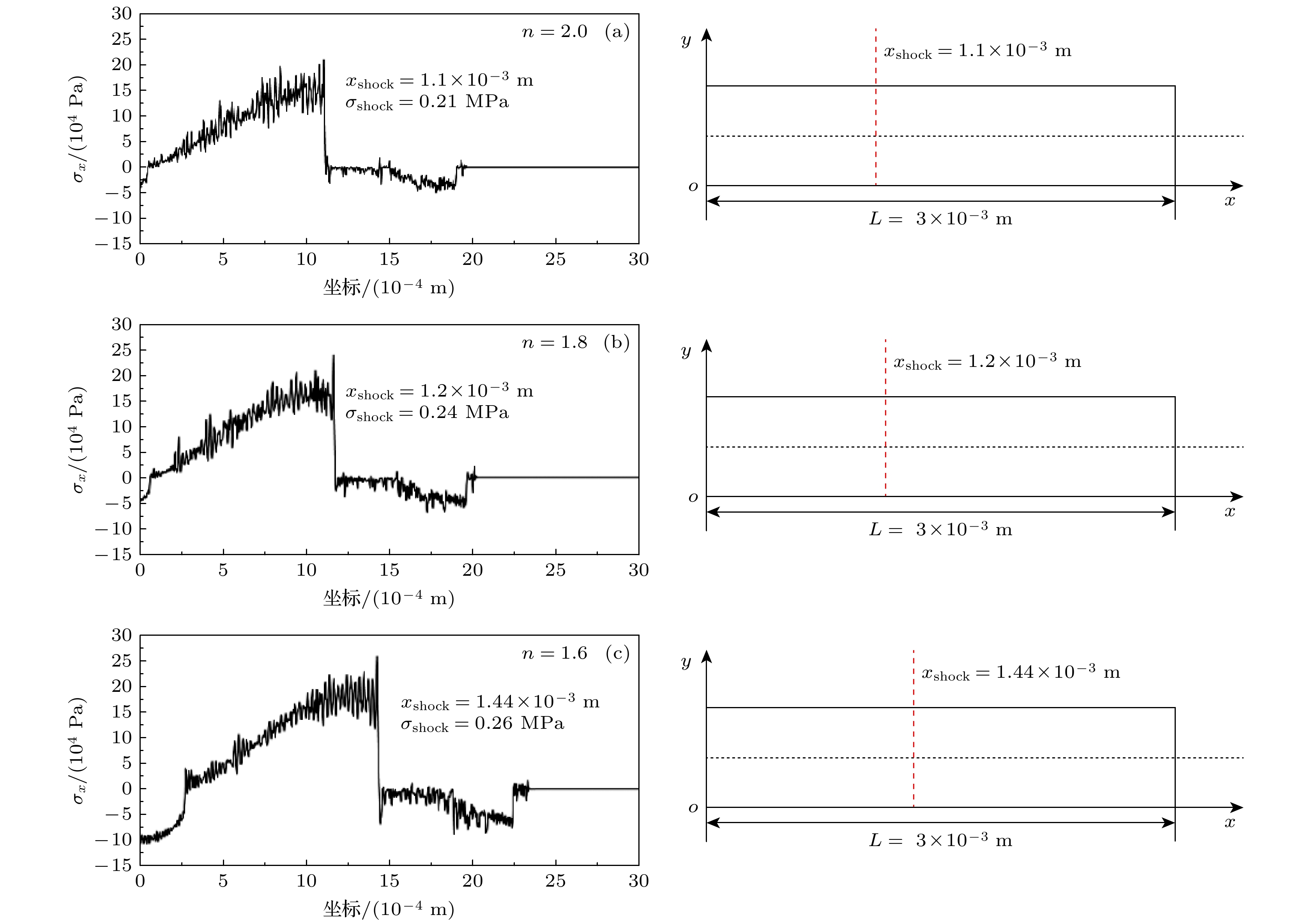
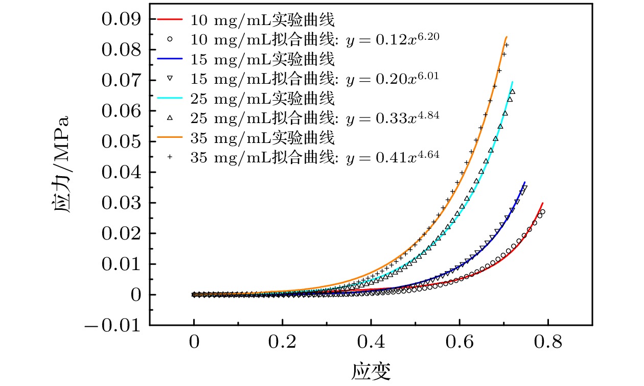
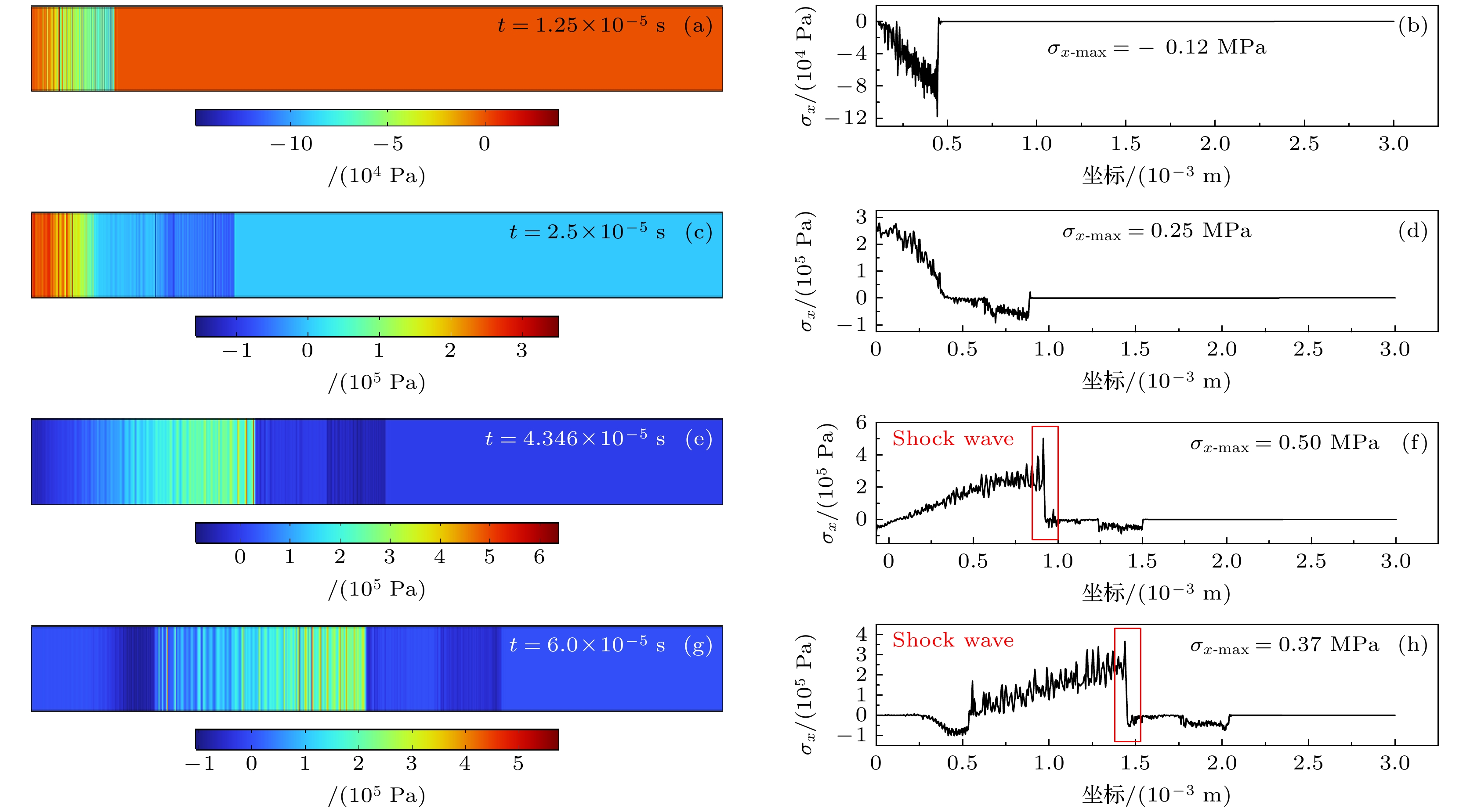
虽然空化效应与机械效应在超声溶栓中的作用机制已得到充分证实和深入研究, 但是对于血栓类生物材料, 其浓度依赖的应变硬化特性对超声诱导冲击波效应的影响仍受到广泛关注. 其中, 快速的冲击波形成的空间定位与能量阈值的确定对临床治疗方案的优化具有重要指导价值. 本研究通过准静态单轴压缩实验, 建立了纤维蛋白浓度依赖的幂律本构模型. 基于凝块本构方程与非线性波动方程, 研究了超声在凝块介质中传播的动力学特性. 数值模拟结果表明: 冲击波形成前的应力强间断现象源于凝块渐增硬化特性导致的位移突变; 基于阈值限制的平均陡峭因子冲击波定位判据受网格收敛性严重制约, 而总谐波失真截断误差敏感性相对较低, 基于THD定位判据的峰值应力显著高于前者且具有计算成本优势. 参数化研究表明, 纤维蛋白浓度增大导致冲击波形成位置延后且峰值应力增大. 本研究为临床超声溶栓治疗中冲击波效应的快速定位和灵活调控提供了理论依据.
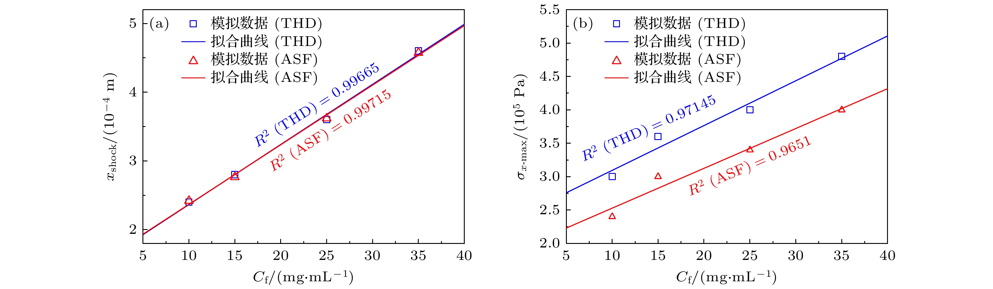
Ultrasound thrombolysis stands out among various treatment methods due to its safety and high efficiency. Although the cavitation and mechanical mechanisms behind this technique have been well-established, the effect of the concentration-dependent strain hardening properties of thrombotic biomaterials on ultrasound-induced shockwave effects remains a subject of concern. Furthermore, the extremely short time window for effective clinical intervention requires precise spatial localization of rapidly formed shockwaves and determination of their energy thresholds for optimizing treatment protocols. Considering that the main mechanical properties of blood clots are dominated by the fibrin network, their stress-strain relationship is significantly dependent on fibrin concentration. Based on the results obtained from quasi-static compression tests performed on clots with different fibrin concentrations, a power-law constitutive equation capable of characterizing the progressive hardening characteristics of clots is proposed in this work. By incorporating the changes in wave speed caused by strain-hardening characteristics into a third-order nonlinear ultrasound propagation wave equation, the dynamic characteristics of shock wave formation during ultrasound propagation in clot media are studied via numerical simulations. The results show that the significant stress discontinuity prior to this process is due to a sudden displacement change caused by the progressive hardening of the clot. In order to accurately locate the starting position, the average steepening factor (ASF) based on threshold limitation is used for localization. However, this method is severely limited by the problem of mesh convergence, and the improvement in finite accuracy leads to an exponential increase in computation time. In contrast, the total harmonic distortion (THD) using the extremum of frequency-domain energy for localization is less sensitive to truncation errors and provides computational efficiency advantages. Parametric analysis indicates that a maximum localization error between the two methods is 2.55%, and the peak stress determined by the THD criterion is much higher than that determined by the ASF method. Based on experimental fitting of constitutive equations at different concentrations, numerical simulations of wave propagation show that according to the THD criterion, the increase in fibrin concentration from 10 mg/mL to 35 mg/mL delays the formation of shockwave by 91.7% and increases the peak stress by 60%. Corresponding fitting formulas are derived. Through real-time THD feedback and acoustic field parameter adjustment, a theoretical basis is provided for rapidly localizing and flexibly controlling shockwave effects in clinical ultrasound thrombolysis. -
Keywords:
- ultrasonic thrombolysis /
- shock wave effects /
- increasingly hardening material /
- average steepening factor
[1] [2] [3] [4] [5] [6] [7] [8] [9] [10] [11] [12] [13] [14] [15] [16] [17] [18] [19] [20] [21] [22] [23] [24] [25] [26] [27] [28] [29] [30] [31] [32] [33] [34] [35] [36] [37] [38] [39] [40] [41] [42] [43] [44] [45] -
纤维蛋白浓度Cf/(mg·mL–1) 最大相对标准差/% 10
15
2516.6
26.2
2.6635 5.76 参数 描述 数值 $ {\rho _0} $/(kg·m–3) 凝块密度 1050 $ {U_0} $/m 振幅 1 × 10–4 $ \alpha $ 无量纲系数 6.1 $ \kappa $/(kPa·mg–1·mL) 比例系数 1.2 $ \eta $ 幂指数 1.8 频率f / kHz 硬化指数n 比值β/γ
(γ = -1)xASF / m
(ASF = 100)xTHD / m 误差/% 15 2 5 1.12×10–3 1.10×10–3 ≤1.79 25 2 5 7.58×10–4 7.62×10–4 ≤0.53 20 4.84 5 3.61×10–4 3.57×10–4 ≤1.11 20 6.20 5 2.43×10–4 2.38×10–4 ≤2.06 20 2 20 8.06×10–4 7.97×10–4 ≤1.12 20 2 40 7.93×10–4 7.78×10–4 ≤1.89 15 6.20 40 5.48×10–4 5.34×10–4 ≤2.55 i 网格数 计算时长
(20核 AMD Epyc 7763 64-core processor × 256)$ x_i^{{\mathrm{ASF}}} $/m
(ASF = 100)相对误差变化
$ \left( \left( {x_{i - 1}^{\mathrm{ASF}} - x_i^{\mathrm{ASF}}} \right) \left/ x_{i - 1}^{{\mathrm{ASF}}}\right. \right) \big/{\text{%}}$1 6000 24 min 5.48×10–4 — 2 17000 1 h 49 min 5.42×10–4 1.09 3 24000 3 h 39 min 5.40×10–4 0.37 4 37500 6 h 45 min 5.39×10–4 0.19 5 52100 11 h 44 min 5.38×10–4 0.19 i 基频
倍数$ x_i^{{\mathrm{THD}}} $ 相对误差变化
$ \left( \left| \left( x_{i - 1}^{{\mathrm{THD}}} - x_i^{{\mathrm{THD}}} \right)\left/ x_{i - 1}^{{\mathrm{THD}}}\right. \right| \right) \big/{\text{%}}$1 6 5.26×10–4 — 2 12 5.30×10–4 0.76 3 18 5.33×10–4 0.57 4 24 5.35×10–4 0.38 5 30 5.36×10–4 0.19 -
[1] [2] [3] [4] [5] [6] [7] [8] [9] [10] [11] [12] [13] [14] [15] [16] [17] [18] [19] [20] [21] [22] [23] [24] [25] [26] [27] [28] [29] [30] [31] [32] [33] [34] [35] [36] [37] [38] [39] [40] [41] [42] [43] [44] [45]
计量
- 文章访问数: 567
- PDF下载量: 13
- 被引次数: 0








下载: