-
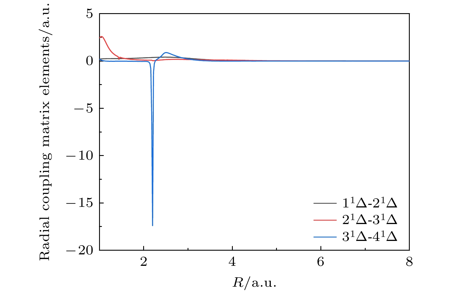
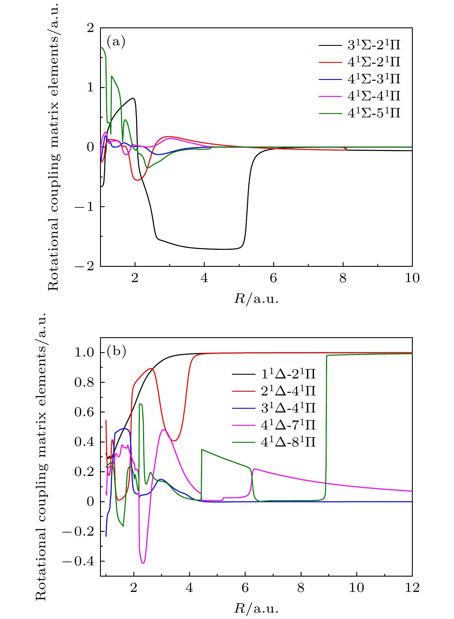
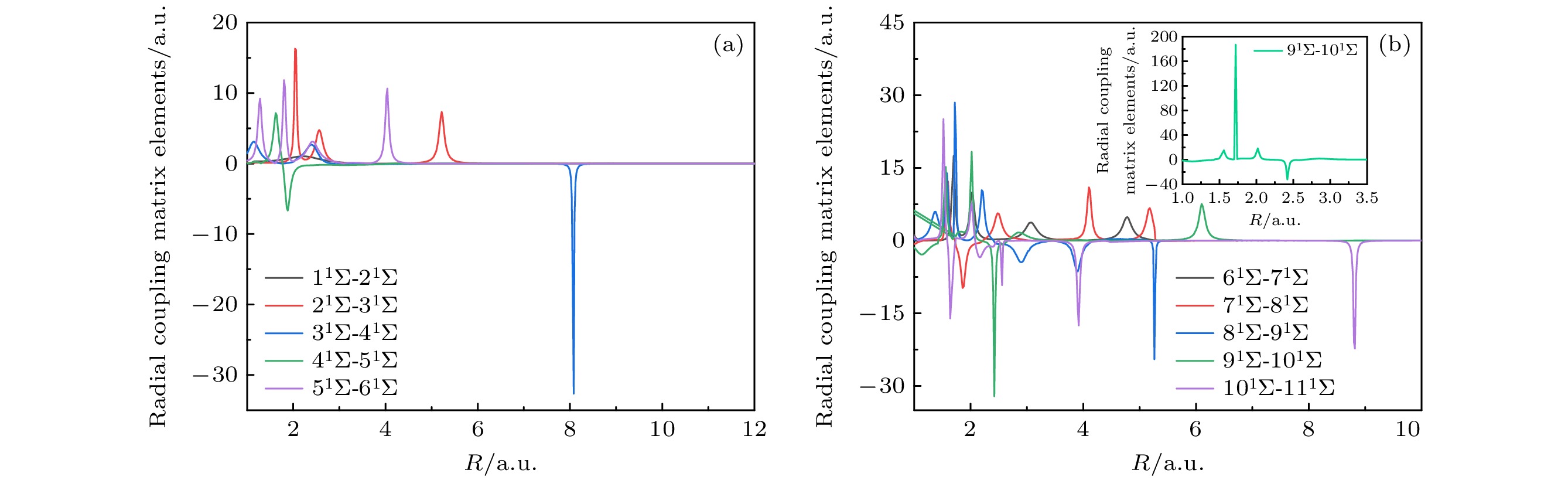
N3+离子与基态He原子碰撞过程在天体物理、星际空间和实验室等离子体环境中具有重要研究意义. 本文采用从头算的多参考单双激发组态相互作用方法精确计算了NHe3+碰撞体系的分子结构参数, 包括势能曲线和耦合矩阵元等. 基于计算得到的结构参数, 采用全量子分子轨道强耦合方法开展了低能N3+离子与He原子碰撞电荷转移过程研究, 获得了能量在3.16 × 10–3 eV—24 keV(即2.25 × 10–4 eV/u—1.73 keV/u)范围内的总单电荷、双电荷转移截面和态选择截面. 在计算中考虑了电荷平动因子、高角动量态对碰撞过程的影响, 发现高角动量态对电荷转移截面具有显著影响. 与现有实验和理论结果相比, 当前计算的单电荷和双电荷转移截面与实验测量值更为接近. 相较于Liu等(2011 Phys. Rev. A 84 042706)未考虑高角动量态的研究, 当碰撞能量大于10 eV/u时, 其总单电荷转移截面约高出当前计算值2—3倍, 表明高角动量态对电荷转移过程具有显著影响. 同时研究表明单电荷转移截面远大于双电荷转移截面, 在碰撞电荷转移过程中占据主导地位. 本文数据集可在https://doi.org/10.57760/sciencedb.j00213.00165中访问获取.The collision process between N3+ ions and He atoms is of great significance in astrophysics, interstellar space and laboratory plasma environment. The single- and double-charge transfer processes for the collisions of N3+ with He atoms are studied by using the quantum-mechanical molecular-orbital close-coupling (QMOCC) method. The ab initio multireference single- and double-excitation configuration interaction (MRD-CI) methods are employed to obtain the adiabatic potentials and the radial and rotational coupling matrix elements that are required in the QMOCC calculation. In the present QMOCC calculations, 10 1Σ states, 8 1Π states and 4 1Δ states are considered, and total single- and double-charge transfer cross sections and state selection cross sections are calculated in an energy region from 3.16 × 10–3 eV–24 keV (i.e., 2.25 × 10–4 eV/u–1.73 keV/u). Comparison of our results with the previous theoretical and experimental results shows that our results agree well with the experimental values for the total double-charge transfer (DCT) cross sections. For the total single-charge transfer (SCT) cross sections, our QMOCC results are slightly higher than the experimental results in an energy region of 0.2–11 eV/u. When the energy is higher than 11 eV/u, the present QMOCC results are in good agreement with the experimental results. The total SCT cross section is significantly larger than the total DCT cross section, so SCT process is a dominant reaction process. For the SCT process, it can be observed that the charge transfer to N2+(2s2p2 2D) and N2+(2s22p 2P°) is very important. It should be noted that although we and Liu et al. (Phys. Rev. A 2011 84 042706) both used the QMOCC method to study the charge transfer cross section, our calculation results are still significantly different from their calculation results. It is due to the fact that Liu et al.’s calculations only considered 10 1Σ states and 8 1Π states, and ignored the effect of 1Δ states.The datasets presented in this paper are openly available at https://doi.org/10.57760/sciencedb.j00213.00165.
-
Keywords:
- charge transfer /
- cross sections /
- high angular momentum states








下载: