搜索

x
中国物理学会期刊

高压下9-芴酮衍生物的变色效应

CSTR:32037.14.aps.74.20250635

Piezochromic phenomena of 9-fluorenone derivatives

CSTR:32037.14.aps.74.20250635
PDF
HTML
导出引用
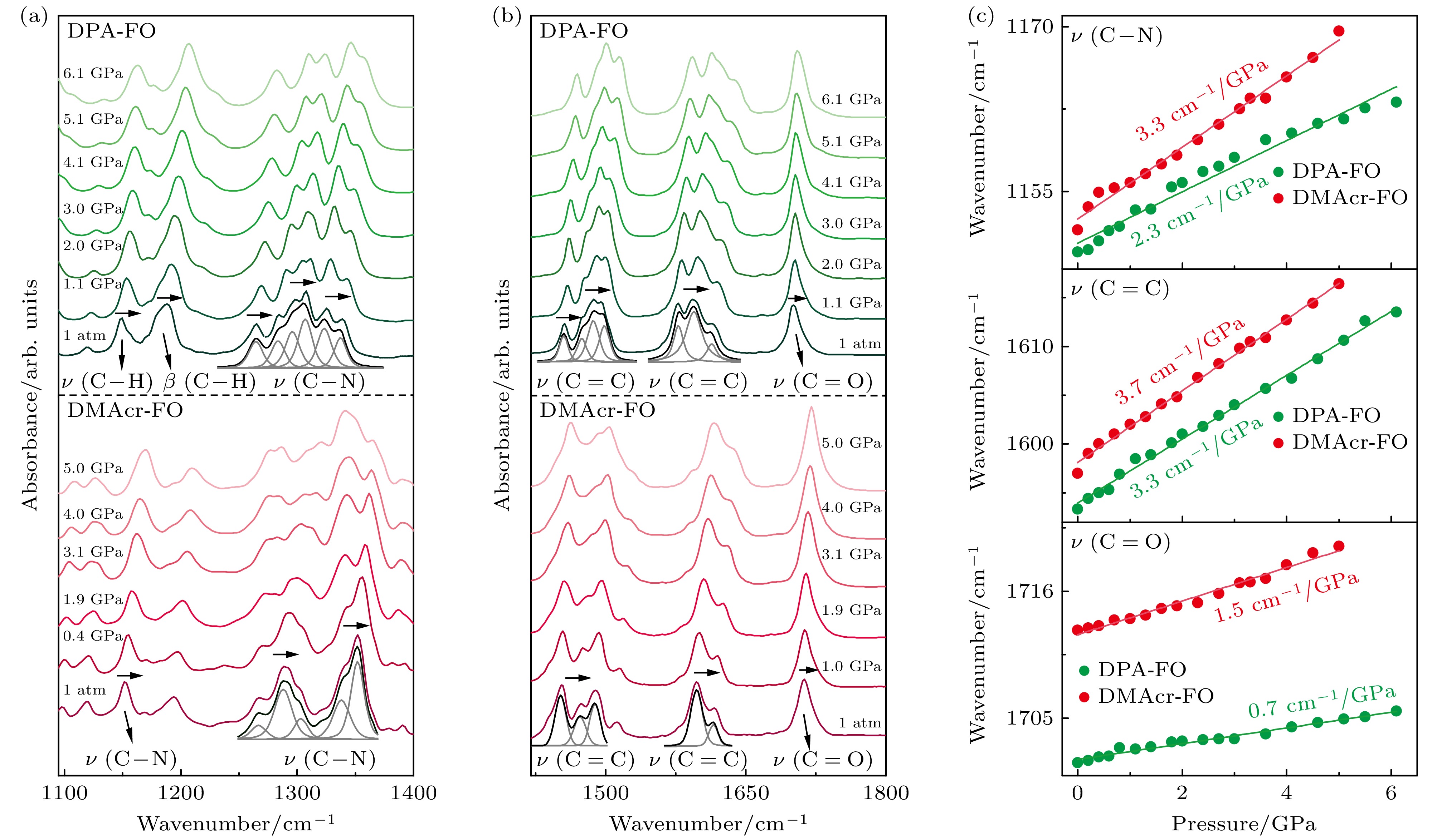
  • 压致变色有机发光材料是智能发光材料的重要分支, 凭借多色切换特性在显示、传感和生物医学等领域备受关注. 然而, 利用合理分子设计有效促进材料的压致光谱位移仍是该领域的重要挑战. 本研究首先基于二苯胺(DPA)给体与9-芴酮(FO)受体设计并制备了给体-受体型DPA-FO分子. 其荧光发射波长随压力变化的压力系数为10.7 nm/GPa, 展现出明显的压致变色效应. 为了优化该力敏发光特性, 我们基于区域选择性结构设计, 在给体中引入分子构象“锁”并增强给体推电子效应, 以9, 9-二甲基吖啶(DMAcr)作为给体基元, 设计合成了具有更强分子内电荷转移特性的DMAcr-FO分子. 该分子荧光发射波长的压力系数显著提升至17.5 nm/GPa. 进一步结构表征表明, 该现象源于DMAcr-FO更为显著的压致结构收缩. 本研究不仅有助于深入理解力敏智能有机发光材料的结构-性质关系, 也为新型压致变色发光材料的设计提供了新思路.

    Piezochromic luminescent materials with multi-color switching have received considerable attention in fields such as displays, sensors, and biomedicine. However, enhancing the sensitivity of piezochromic color change through rational molecular design remains a significant challenge. Herein, we report the design, synthesis and high-pressure study of two 9-fluorenone derivatives of DPA (diphenylamine)-FO and DMAcr (9,9-dimethylcarbazine)-FO, realizing pronounced piezochromic phenomena in both emission colors and crystal colors. DPA-FO features a classic donor–acceptor molecular architecture. Its emission wavelength is highly sensitive to the solvent polarity, and as polarity increases, the redshift continues, indicating the emission nature of intramolecular charge transfer (ICT) luminescence. Under pressure, the emission color gradually changes from yellow to reddish brown, and a pressure coefficient of the emission wavelength is 10.7 nm/GPa. To amplify the piezochromic response, the donor unit is strategically modified by replacing the DPA group with DMAcr, a donor with stronger electron-donating ability. The resulting compound, DMAcr-FO, exhibits a more pronounced ICT process, as evidenced by its higher sensitivity of luminescence to solvent polarity. Under pressure, its emission color gradually changes from yellow to deep red. Correspondingly, the pressure coefficient of the emission wavelength increases 17.5 nm/GPa. Pressure-dependent UV-Vis absorption spectra reveal a continuous redshift in the absorption edge of both derivatives, attributed to structural shrinkage caused by enhanced orbital coupling. Notably, DMAcr-FO exhibits more significant changes in absorption edge and Stokes shift, indicating more substantial structural deformation under pressure. In addition, compared with DPA-FO, the infrared (IR) modes of DMAcr-FO present higher shifting rates with the increase of pressure, which also supports the above conclusion. Meanwhile, with the increase of pressure, the considerable structural distortion is also one of the factors that make DMAcr-FO has a more significant piezochromic phenomenon. This study not only deepens the understanding of structure–property relationships in piezochromic materials but also offers a viable strategy for designing high-performance piezo-responsive luminophores through tailored molecular engineering.

    目录

    返回文章
    返回
    Baidu
    map