-
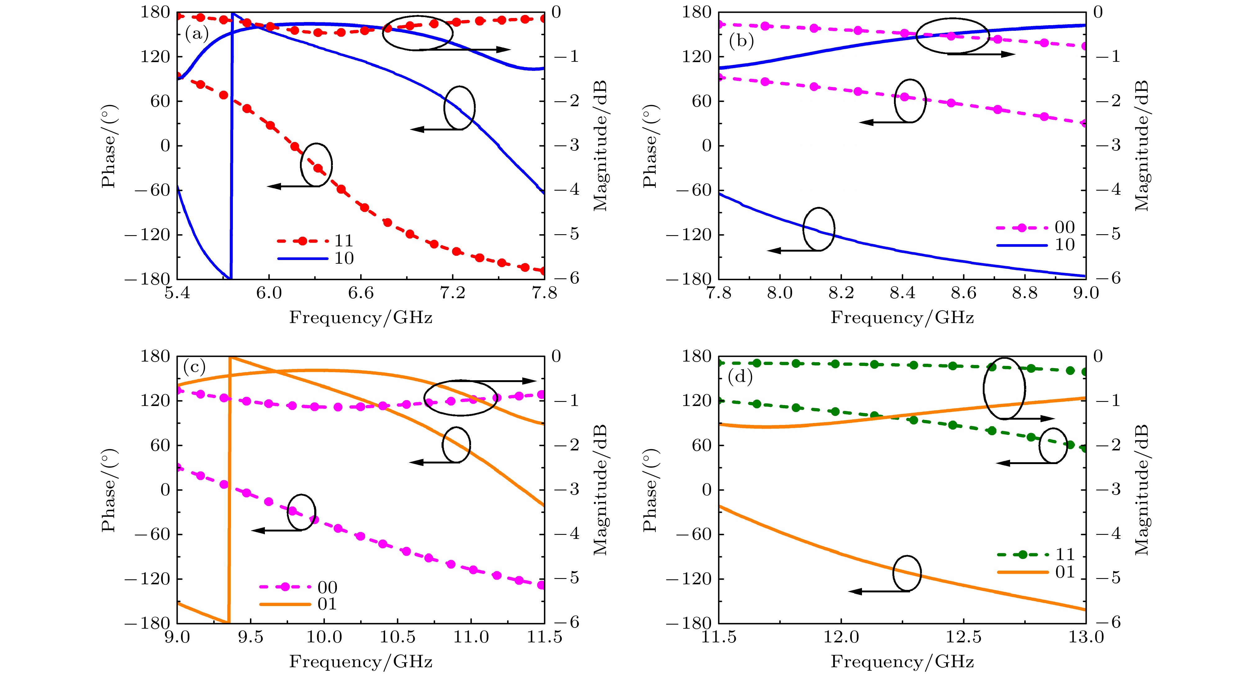
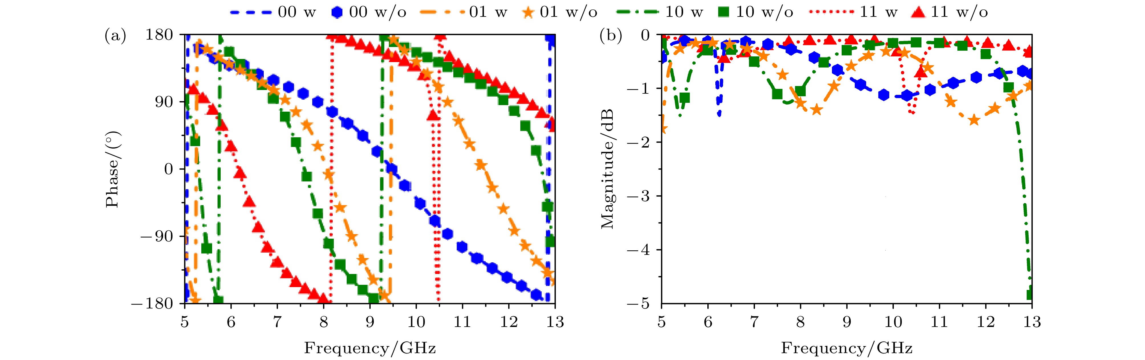
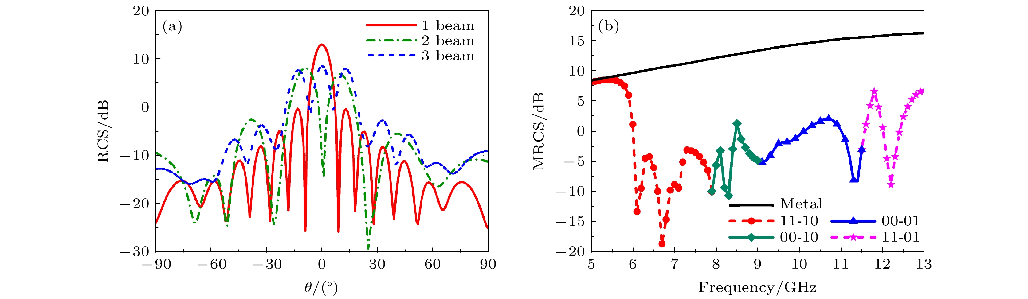
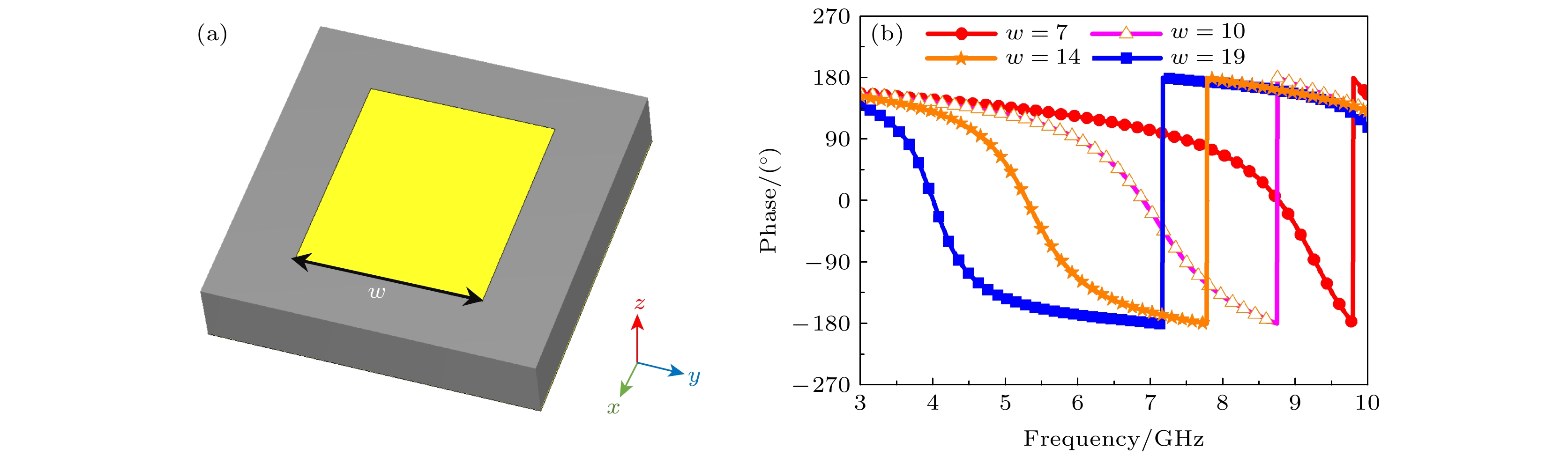
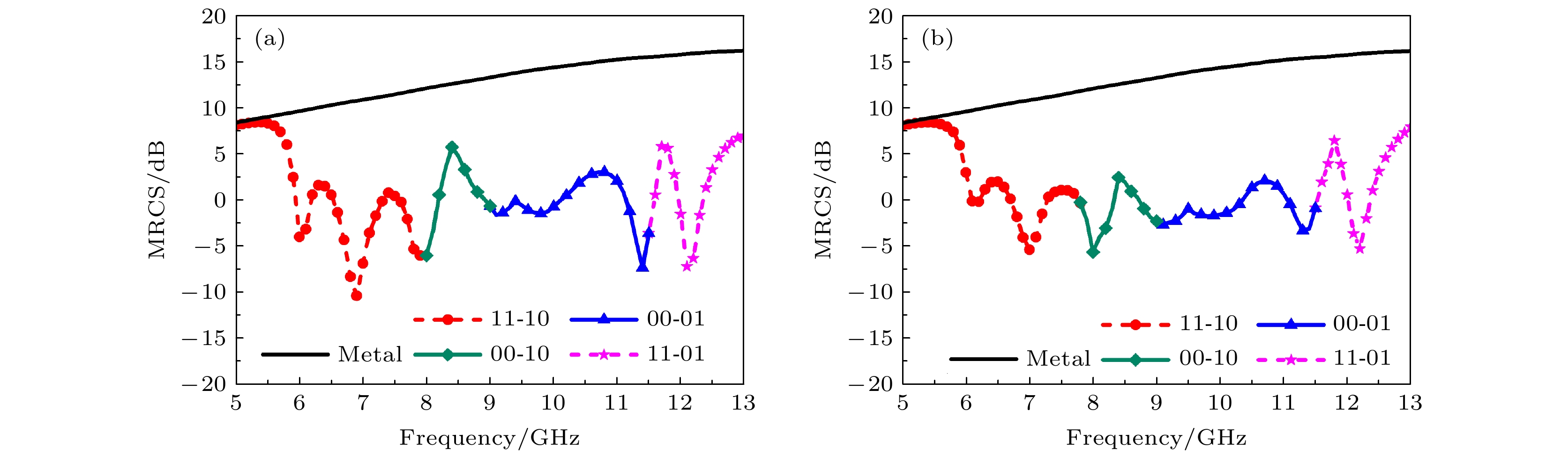
提出了一种频率和相位复合可重构的超表面设计方法. 该方法在超表面单元引入N个PIN二极管, 借由其通断改变单元的谐振特性, 形成2N个可调控的反射相位, 选择适当的结构参数, 可以使2N个反射相位在不同频带内呈现出180°相位差, 综合利用频率和相位调控特性, 即可有效扩展可重构相移超表面的工作带宽. 采用该方法, 设计了一款超宽带1比特相移超表面单元, 其1比特相位的调控频段覆盖5.4—13.0 GHz, 相对带宽为82.6%, 通过引入集总电容和优化其位置, 精准改变电流分布, 实现了单元的低损耗性能. 该单元的厚度仅为0.09λ, 其具有低剖面、低成本、低损耗特点. 进一步利用该单元构造了16 × 16单元的超表面, 通过不同的阵列编码, 超表面能够产生散射可控波束和轨道角动量涡旋波, 并在超宽带范围内实现了10 dB以上的雷达散射截面减缩效果, 展现出动态灵活的波束调控和低散射性能.In this paper, a design method is presented for frequency-phase composite reconfigurable metasurfaces. N PIN diodes are introduced into the metasurface unit. The on-off states of these PIN diodes regulate the resonance characteristics of the unit, constructing 2N switchable reflection phase states. After optimizing structural parameters, these reflection phase curves show that there is a 180° phase difference between different frequency bands. By regulating frequency and phase regulation, the operational bandwidth of reconfigurable phase-shifting metasurface is effectively expanded. Based on this method, an ultra-wideband 1-bit phase-shifting metasurface unit is designed. Its 1-bit phase regulation band covers 5.4–13.0 GHz, with a relative bandwidth of 82.6%. Lumped capacitors are adopted and their positions are optimized to precisely adjust current distribution, enabling low-loss performance of the unit. The unit with a thickness of only 0.09 λ features low profile, low cost, and low loss. A 16×16 unit array is further constructed. Through coding regulation, the metasurface can generate scattering-controllable beams and orbital angular momentum vortex waves. Experimental results show that the metasurface can achieve a radar cross section reduction of over 10 dB in the ultra-wideband range, demonstrating dynamic beam steering capability and high-efficiency low-scattering performance. This design offers new insights into applying reconfigurable metasurfaces to broadband communication, radar stealth, and intelligent electromagnetic environment regulation.
-
Keywords:
- reconfigurable metasurface /
- ultra-wideband /
- frequency reconfigurable /
- low radar cross section








下载: