搜索

x

留言板

姓名
邮箱
手机号码
标题
留言内容
验证码

引用本文:
Citation:

吴姝颖, 马帅领, 赵春燕, 李世新, 叶梅艳, 戚梦瑶, 赵行斌, 王玲瑞, 崔田
cstr: 32037.14.aps.74.20250693

Pressure-modulated bandgap and optoelectronic properties in lead-free double perovskite Cs2TeCl6

WU Shuying, MA Shuailing, ZHAO Chunyan, LI Shixin, YE Meiyan, QI Mengyao, ZHAO Xingbin, WANG Lingrui, CUI Tian
cstr: 32037.14.aps.74.20250693
Article Text (iFLYTEK Translation)
PDF
HTML
导出引用
在线预览
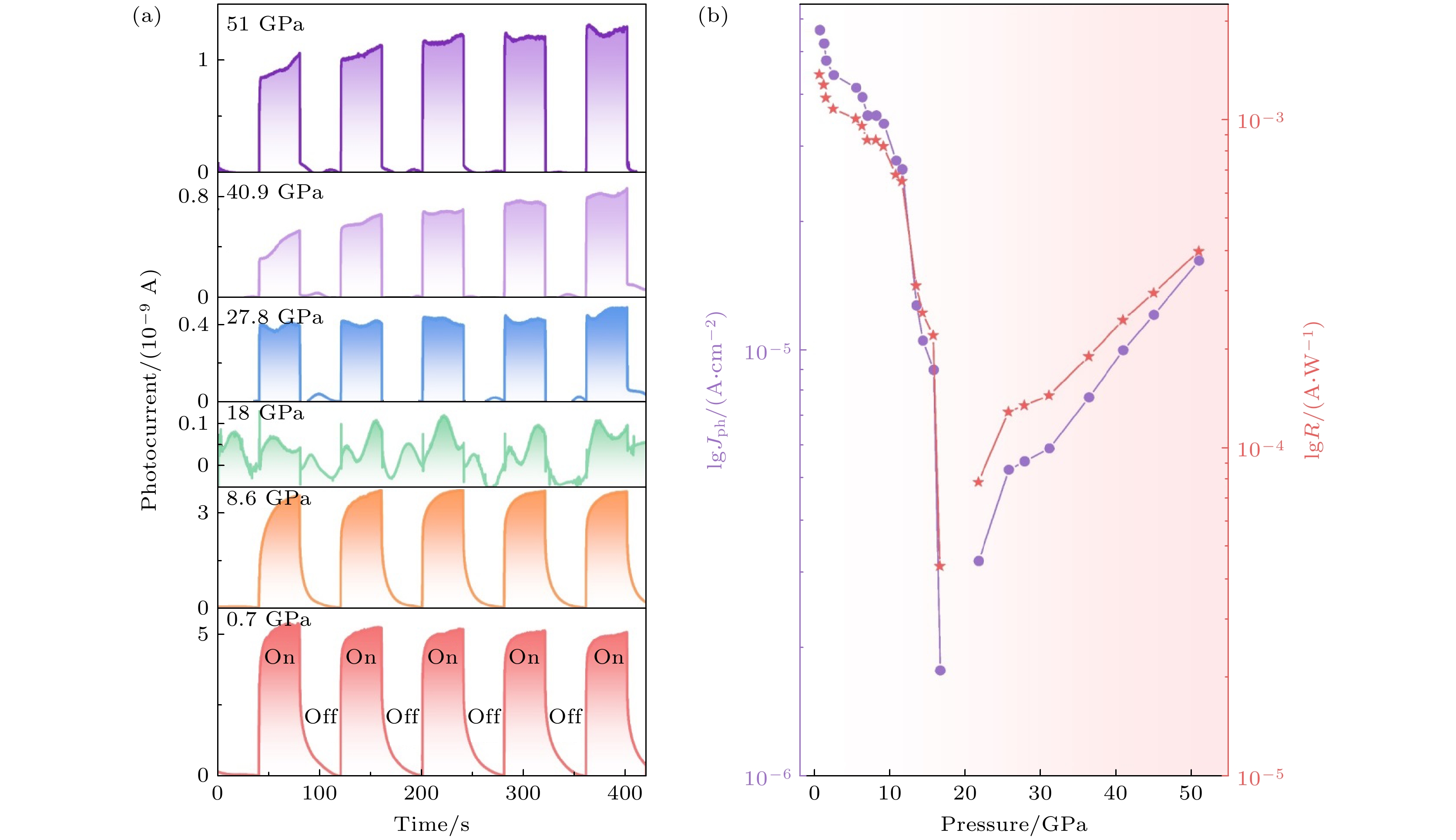
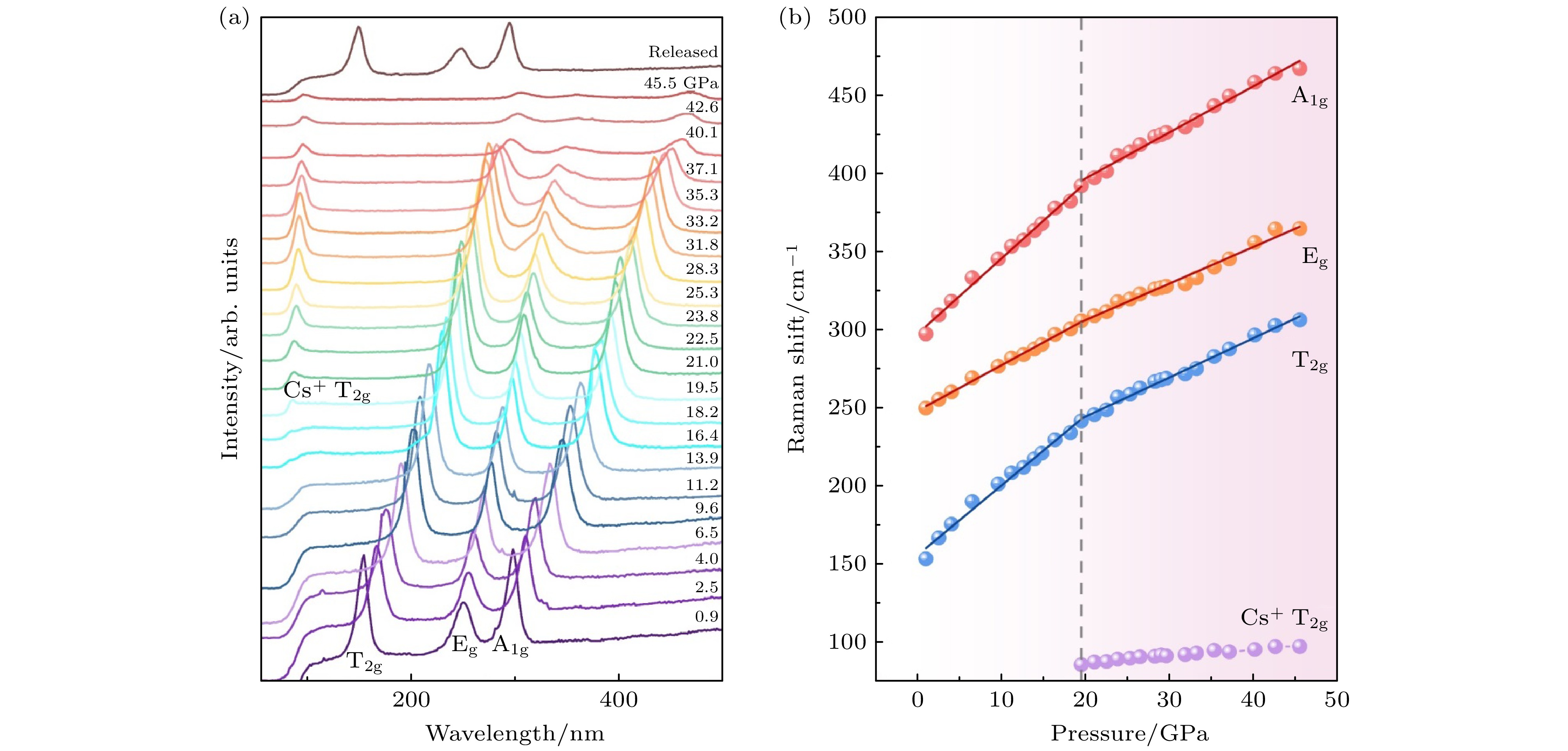
  • 光电探测器在光通信、环境监测、医疗成像等多个领域发挥着关键作用, 开发高性能的光电探测器相关材料已经成为研究热点. A2BX6型空位有序双钙钛矿因其优异的光电特性备受关注, 然而实现其光电性能的连续调控与提升依然十分困难. 本文利用压力实现了Cs2TeCl6在高压下原位光电响应的有效调控. 实验研究表明, Cs2TeCl6的光电响应在高压下呈现非单调变化: 初始阶段光电流随压力增加而减弱, 但在21.7 GPa后出现显著逆转. 通过高压原位拉曼光谱和紫外-可见吸收光谱分析, 发现这一转变与材料进入强化压缩阶段密切相关. 在此阶段, 带隙减小速率加快, 显著改善了间接带隙材料的本征弱吸收特性, 使得原先无法激发的低能光子得以有效利用. 该工作不仅阐明了压力诱导的Cs2TeCl6微观结构与光电性能的内在关联, 还为通过应力工程调控此类钙钛矿材料光电特性提供了新的研究思路.
    As a core component of modern optoelectronic systems, photodetectors play an indispensable role in optical communications, environmental monitoring, medical imaging, and military detection. With the rapid development of related technologies, the development of novel photodetector materials featuring high sensitivity, fast response, and excellent stability has become a key research focus. Among various candidate materials, A2BX6-type vacancy-ordered double perovskites have attracted significant attention due to their unique crystal structures and outstanding optoelectronic properties. These materials not only possess tunable bandgap structures and high carrier mobility but also demonstrate excellent environmental stability, showing broad application prospects in the field of photodetection. In this study, the optoelectronic response behaviors of a representative lead-free double perovskite, Cs2TeCl6, under high-pressure conditions are systematically investigated. Precise experimental observations reveal an anomalous transition in photocurrent from decrease to increase when the pressure reaches 21.7 GPa. By employing advanced characterization techniques, including high-pressure in situ Raman spectroscopy, UV-Vis absorption spectroscopy, and synchrotron X-ray diffraction, the underlying physical mechanism are elucidated: At the critical pressure of 18 GPa, the material enters an intensified compression stage, leading to a significantly accelerated bandgap narrowing rate. This continuous reduction in bandgap effectively mitigates the weak absorption limitation of the indirect bandgap, enabling efficient absorption of previously unexcitable low-energy photons and ultimately resulting in enhanced photocurrent. This finding not only clarifies the intrinsic relationship between the structure and optoelectronic properties of Cs2TeCl6 at a microscopic level, but, more importantly, offers new insights into regulating the optoelectronic performance of perovskite materials through pressure engineering. These outcomes in this work provide important guidance for developing novel high-performance photodetection devices and establish a valuable research method of optimizing other semiconductor materials. In the future, by further refining material compositions and pressure modulation strategies, the design and fabrication of more efficient and stable photodetector materials can be anticipated.
      通信作者: 马帅领, mashuailing@nbu.edu.cn ; 崔田, cuitian@nbu.edu.cn
    • 基金项目: 国家自然科学基金(批准号: 12204254, 52072188)、浙江省科技创新团队计划(批准号: 2021R01004)、中国浙江省自然科学基金(批准号: LQ23A040005)、国家重大科技基础设施极端条件协同创新用户设施成果转化平台建设(批准号: 2021FGWCXNLJSKJ01)和省属高校基本科研业务费专项基金(批准号: JYT2023005, JYT2024019)资助的课题.
      Corresponding author: MA Shuailing, mashuailing@nbu.edu.cn ; CUI Tian, cuitian@nbu.edu.cn
    • Funds: Project supported by the National Natural Science Foundation of China (Grant Nos. 12204254, 52072188), the Program for Science and Technology Innovation Team in Zhejiang, China (Grant No. 2021R01004), the Natural Science Foundation of Zhejiang Province, China (Grant No. LQ23A040005), the National Major Science Facility Synergetic Extreme Condition User Facility Achievement Transformation Platform Construction, China (Grant No. 2021FGWCXNLJSKJ01), and the Fundamental Research Funds for the Provincial Universities, China (Grant Nos. JYT2023005, JYT2024019).
    [1]

    [2]

    [3]

    [4]

    [5]

    [6]

    [7]

    [8]

    [9]

    [10]

    [11]

    [12]

    [13]

    [14]

    [15]

    [16]

    [17]

    [18]

    [19]

    [20]

    [21]

    [22]

    [23]

    [24]

    [25]

    [26]

    [27]

    [28]

    [29]

    [30]

  • Baidu
  • [1]

    [2]

    [3]

    [4]

    [5]

    [6]

    [7]

    [8]

    [9]

    [10]

    [11]

    [12]

    [13]

    [14]

    [15]

    [16]

    [17]

    [18]

    [19]

    [20]

    [21]

    [22]

    [23]

    [24]

    [25]

    [26]

    [27]

    [28]

    [29]

    [30]

计量
  • 文章访问数:  2521
  • PDF下载量:  60
  • 被引次数: 0
出版历程
  • 收稿日期:  2025-05-28
  • 修回日期:  2025-06-29
  • 上网日期:  2025-07-18
  • 刊出日期:  2025-09-05

返回文章
返回
Baidu
map