搜索

x
中国物理学会期刊

环-点阵-同心环斑图的放电演化机理及光谱诊断研究

CSTR:32037.14.aps.74.20250737

Discharge evolution mechanism and spectral diagnostic study of loop dot-matrix concentric-roll pattern

CSTR:32037.14.aps.74.20250737
PDF
HTML
导出引用
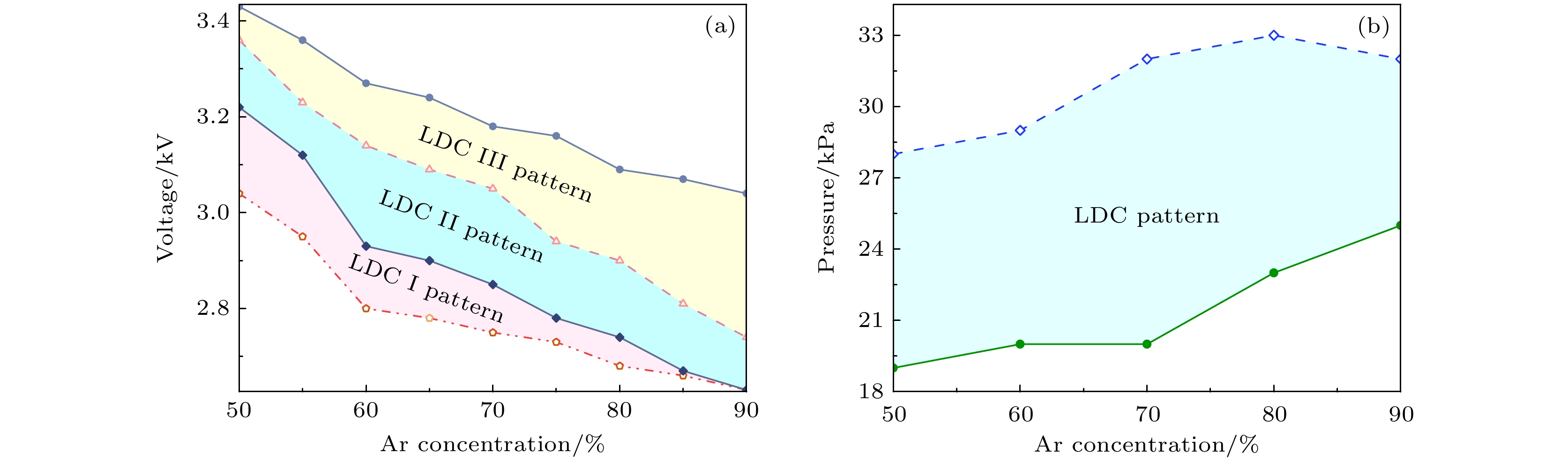
  • 本工作在氩气/空气混合气体介质阻挡放电系统中, 利用不同半径的圆形边界叠加形成薄厚组合放电气隙, 通过改变外加电压, 获得同心环斑图、环-点阵-同心环斑图、靶波斑图、蜂窝斑图, 并分析研究了几种斑图的电学特性和光学特性. 利用增强型电耦合设备(intensified charge-coupled device, ICCD)重点研究了环-点阵-同心环斑图的时空演化行为, 对该斑图的形成机理进行了理论分析. 结果表明, 该放电斑图在径向上具有从外向内逐渐点亮的发展过程, 这与薄气隙对放电的预电离作用有关. 对该斑图径向上不同放电细丝的发射光谱进行了采集分析, 并对其等离子体参数进行了空间分辨诊断. 实验发现, 薄气隙中分子振动温度、电子密度及电子温度比厚气隙中大得多. 在厚气隙中沿径向从内到外其分子振动温度、电子密度、电子温度逐渐增加, 但数值变化较小; 薄气隙离圆心更远处的分子振动温度、电子密度、电子温度反而变小, 这与气隙中电场的微变化相关.

    Dielectric barrier discharge (DBD) can produce abundant discharge patterns. It is one of the most interesting nonlinear systems for studying pattern formation. In this work, circular boundaries with different radii are utilized and superimposed to form a narrow and wide combined discharge gap. The pressure is set to 25 kPa for the experiment, and the frequency is fixed at 58 kHz. By varying the applied voltage, concentric-roll pattern, loop dot-matrix concentric-roll pattern, target-wave pattern and honeycomb pattern are obtained. The electrical and optical properties of several types of patterns are analyzed. This study focuses on the spatiotemporal evolution of the loop dot-matrix concentric-roll patterns by using an intensified charge-coupled device (ICCD), and theoretically analyzes the formation mechanism of these patterns. The results show that the discharge pattern has a radial development with a gradual breakdown process from the outside to the inside. It is related to the pre-ionization effect of the narrow gap on the discharge. The emission spectra of different discharged filaments in the radial direction of loop dot-matrix concentric-roll pattern are measured and analyzed. A spatially resolved diagnosis of plasma parameters is performed. It is found that the molecular vibrational temperature, electron density, and electron temperature are much larger in narrow gap than those in wide gap. In the wide gap, the molecular vibration temperature, electron density, and electron temperature gradually increase along the radial direction from the inside to the outside, but the changes are relatively small. In the narrow gap, the parameters such as the molecular vibration temperature, electron density, and electron temperature far from the center of the circle are smaller than those near the center of the circle. This is related to the micro-change of the electric field.

    目录

    返回文章
    返回
    Baidu
    map