搜索

x
中国物理学会期刊

基于视觉变换器的高精度光子晶体能带预测

CSTR:32037.14.aps.74.20250778

High-precision prediction of photonic band structure based on vision transformer model

CSTR:32037.14.aps.74.20250778
PDF
HTML
导出引用
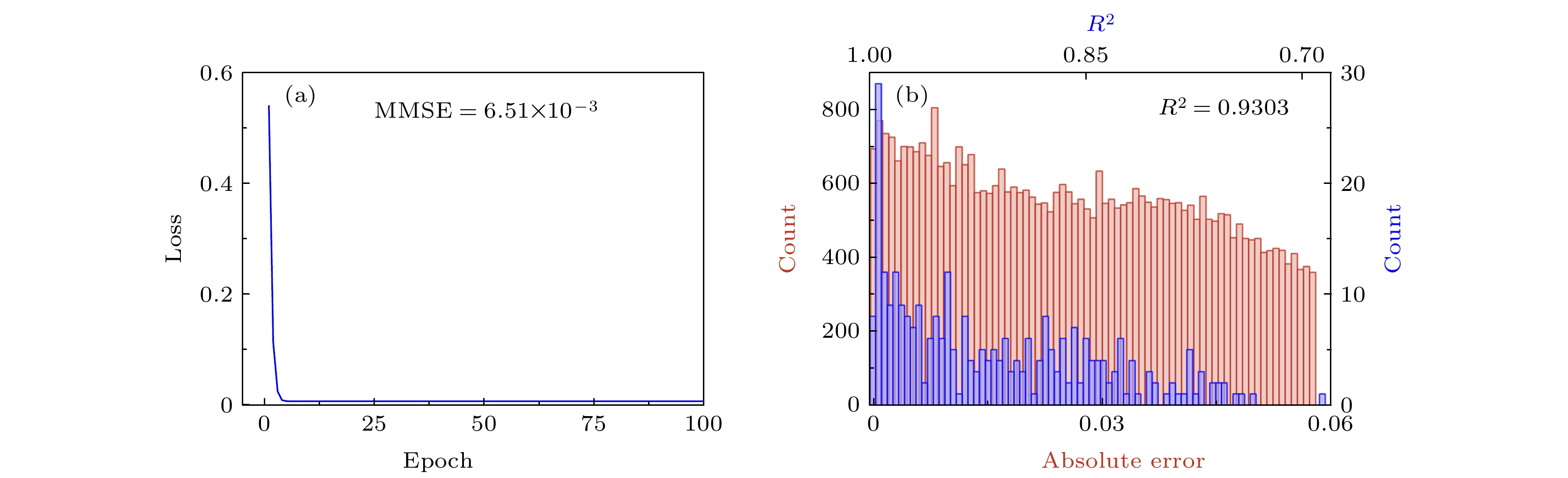
  • 光子晶体因其独特的能带结构在光子学领域具有重要应用前景, 而准确预测其能带结构对于光子器件的设计与优化也至关重要. 鉴于此, 本文应用视觉变换器(vision transformer, ViT)模型, 探索高效、准确的光子晶体能带结构预测方法. 首先, 通过传统数值仿真方法得到光子晶体的能带结构数据, 构建了训练和测试数据集; 其次, 利用数据集对ViT模型进行训练, 训练过程中模型展现出良好的学习能力, 损失函数值持续下降, 最低可至4.42×10–6; 最终, 测试结果表明, ViT模型预测平均均方误差(MSE)低至3.46×10–5, 决定系数(R2)达到0.9996, 表明ViT模型具有极高的预测精度和良好的泛化能力. 研究表明, ViT模型能够有效预测光子晶体的能带结构, 为光子晶体相关研究和应用提供一种新的高效预测工具, 有望推动光子器件设计的进一步发展.

    Photonic crystals have received widespread attention in the field of photonics due to their unique band structures, which can manipulate the propagation of light through periodic dielectric arrangements. Accurate prediction of these band structures is crucial for designing and optimizing photonic devices. However, traditional numerical simulation methods, such as plane wave expansion and finite element methods, are often limited by high computational complexity and long processing times. In this study, we explore the application of the vision transformer (ViT) model to predicting the band structures of photonic crystals efficiently and accurately. To further validate the superiority of the ViT model, we also conduct experiments by using CNN and MLP models on the same scale for band structure prediction. We first generate a dataset of photonic band structures by using traditional numerical simulations and then train the ViT model on this dataset. The ViT model demonstrates excellent learning capabilities, with the loss function value decreasing to as low as 4.42×10–6 during training. The test results show that the average mean squared (MSE) error of the ViT model predictions is 3.46×10–5, and the coefficient of determination (R2) reaches 0.9996, indicating high prediction accuracy and good generalization capability. In contrast, the CNN and MLP models, despite being trained on the same dataset and having the same computational resource allocation, show higher MSE values and lower R2 scores. This highlights the superior performance of the ViT model in predicting the band structures of photonic crystals. Our study shows that the ViT model can effectively predict the band structures of photonic crystals, providing a new and efficient prediction tool for relevant research and applications. This work is expected to advance the development of photonic device design by offering a rapid and accurate alternative to traditional methods.

    目录

    返回文章
    返回
    Baidu
    map