搜索

x
中国物理学会期刊

基于机器学习与第一性原理计算的高居里温度Janus预测

CSTR:32037.14.aps.74.20251026

Prediction of high Curie temperature Janus materials based on machine learning and first-principles calculations

CSTR:32037.14.aps.74.20251026
PDF
HTML
导出引用
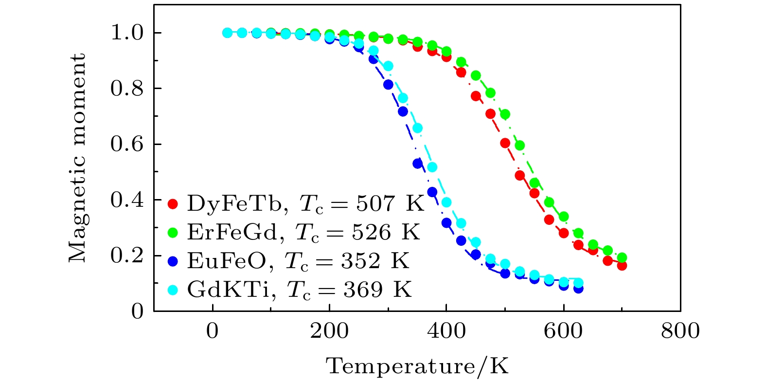
  • 二维Janus磁性体系因空间反演对称性破缺, 易产生较大的DMI作用项(Dzyaloshinskii Moriya interaction), 为探索磁拓扑结构及发展新一代赛道级磁存储器件提供了理想的平台. 在该研究领域中, 寻找具有高居里温度的体系至关重要, 这直接关系到材料在实际高温环境下的磁性能稳定性与应用潜力. 本研究基于已有文献报道与开源数据库, 构建了包含16880种ABC型二维材料的数据集. 以材料的化学计量比、元素固有属性及电子结构特征为描述符, 分别采用随机森林、梯度提升决策树、极端梯度提升和极端随机树4种机器学习模型, 对二维材料的居里温度展开预测训练, 并通过十折交叉验证评估模型的学习性能. 研究结果表明, 极端梯度提升模型对居里温度的预测精度最高且具备最优的泛化能力. 基于最优模型, 对4024种尚未探索的二维Janus结构材料进行了居里温度预测, 最终筛选出54种同时具备热稳定性、高磁矩、高居里温度的二维Janus材料. 为验证预测结果的可靠性, 研究进一步结合第一性原理计算与海森伯模型, 对随机选取的4种候选Janus体系进行了理论验证. 本研究为加速发掘兼具稳定性与高居里温度的二维Janus磁性材料提供了新的技术途径, 对推动二维磁性材料在信息存储等领域的应用具有重要意义.

    Magnetic skyrmions, characterized by their topological properties, serve as core components for developing next-generation non-volatile memory devices that demand high density, high speed, and low power consumption. Two-dimensional Janus magnetic materials inherently break spatial inversion symmetry, and easily generate strong DMI, providing an ideal platform for skyrmion generation and novel racetrack memory applications. Identifying high Curie temperature (Tc) materials is essential for ensuring magnetic stability and high-temperature application viability. This study integrates literature and open-source databases to construct a dataset of 16880 ABC-type two-dimensional materials. By utilizing stoichiometric ratios, intrinsic elemental properties, and electronic structure features as descriptors, four machine learning models, i.e. random forest (RF), gradient boosting decision tree (GBDT), extreme gradient boosting (XGBoost), and extra trees (ET) are employed for Tc prediction. Model performance is evaluated via ten-fold cross-validation, revealing that the XGBoost model exhibits superior prediction accuracy and generalization capability. Leveraging this model, Tc is predicted for 4024 unexplored two-dimensional Janus materials. This screening identifies 54 promising candidates possessing thermal stability, high magnetic moment, and a Tc exceeding 300 K. To verify reliability, four candidate systems (EuFeO, GdKTi, DyFeTb, ErFeGd) are randomly chosen for theoretical validation by using first-principles calculations combined with the Heisenberg model. For systems exhibiting strong correlation effects (containing d-orbital electrons), the Hubbard U parameter is included to describe on-site Coulomb repulsion. Exchange coupling constants are derived using the VASP software package. Subsequently, Tc values are calculated via classical Monte Carlo simulations performed using the MCSOLVER program. The research results show that the mean absolute error (MAE) of the predicted Tc is in good agreement with the model calculations for EuFeO and GdKTi, while larger deviations are observed for DyFeTb and ErFeGd. Nevertheless, the calculated Tc values for all four candidates exceed room temperature. This work establishes a new computational framework for the efficient screening of high-performance two-dimensional Janus magnetic materials, contributing to the advancement of magnetic storage technologies.

    目录

    返回文章
    返回
    Baidu
    map