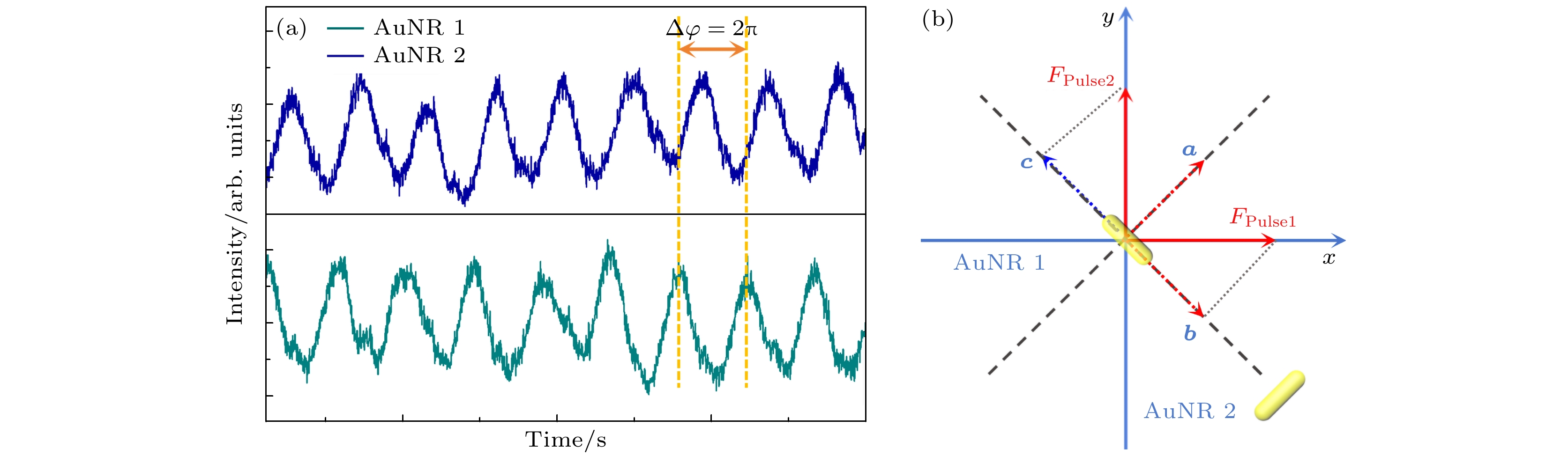
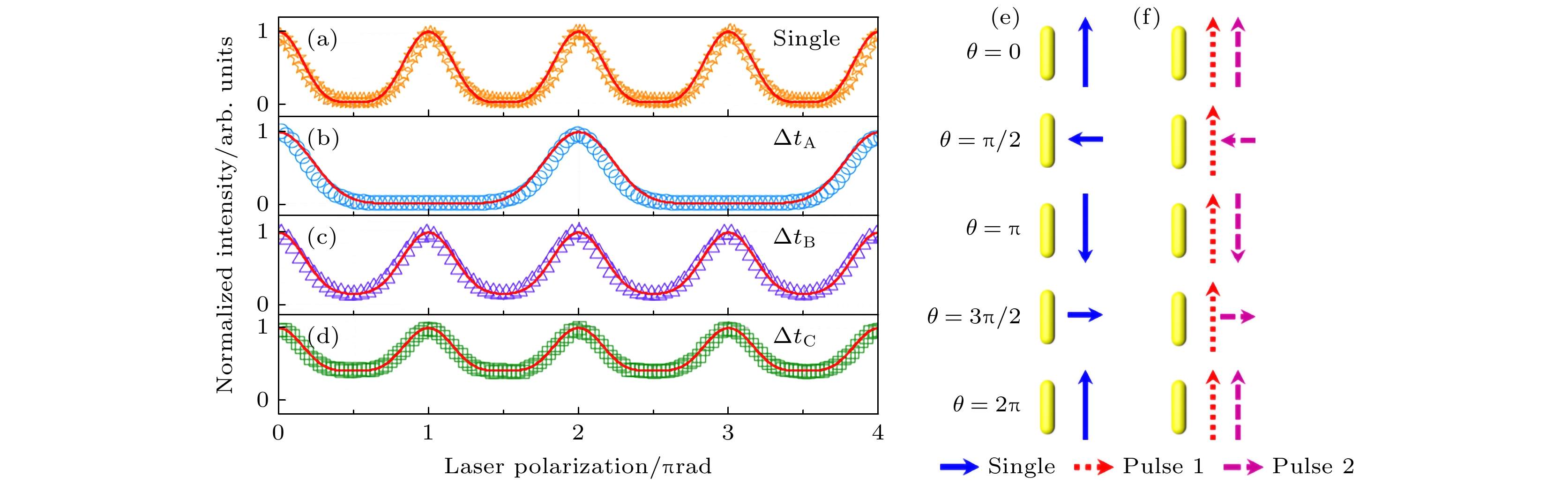
Gold nanorods (AuNRs) have become highly promising biomedical probes due to their tunable plasmonic properties, but their real-time, high-resolution imaging of subcellular behavior, particularly their orientation dynamics reflecting critical nano-bio interactions, is hindered by the diffraction limits and drawbacks of existing super-resolution methods, such as reliance on high-intensity lasers and exogenous labeling. To solve this problem, we develop coherent modulation amplitude projection imaging (CMAPI), a novel label-free technique that uses spatially and temporally modulated pairs of femtosecond pulses to coherently control the two-photon photoluminescence (TPPL) of AuNRs. By using AuNRs as three-level systems with a measurable intermediate state, CMAPI encodes sub-diffraction-limit spatial and orientational information into the frequency domain through precise manipulation of inter-pulse delay, phase, and polarization. Experimental results confirm the nonlinear excitation nature of AuNRs, with single-pulse polarization response following a cos2θ dependence. Under two-pulse excitation, the emission exhibits obvious coherence-dependent behavior: at zero delay, the response is controlled by quantum superposition; under a delay that matches the intermediate state lifetime (0.5 ps), the three-level model accurately describes the response; under a longer delays (10 ps), the system returns to incoherent emission. CMAPI retrieves nanoscale information through Fourier analysis of photon arrival times, producing simultaneous amplitude and phase images that reveal AuNRs’ precise positions (about 60 nm localization precision), in-plane orientations (e.g. quadrant-specific arrangement inferred from phase sign), and local environmental coupling, such as plasmon-induced phase jumps, all under ultralow excitation power (<5 μW/μm2) to avoid light damage. This approach enables visualization of features beyond the diffraction limit, distinguishing multiple AuNRs within a single diffractive spot, as validated by scanning electron microscopy. CMAPI provides a powerful, non-invasive platform for quantifying dynamic biological processes involving anisotropic nanoparticles. These process include conformational shifts during endocytosis, torque transmission in molecular motors, and real-time tracking of nanoscale interactions, thereby offering profound insights into theranostic probe design and fundamental biophysical research.