-
量子纠缠是一种重要的量子资源, 在多个空间分离的量子存储器间建立确定性的量子纠缠, 然后在用户控制的时刻将所存储的量子纠缠转移到量子信道中进行信息的分发和传送, 这对于实现量子信息网络是至关重要的. 本文介绍了用光学参量放大器制备与铷原子D1吸收线对应的非经典光场, 而且在三个空间分离的原子系综中确定性量子纠缠的产生、存储和转移. 利用电磁感应透明光和原子相互作用的原理, 将制备的多组分光场纠缠态模式映射到三个远距离的原子系综以建立原子自旋波之间的纠缠. 然后, 存储在原子系综中的纠缠态通过三个量子通道, 纠缠态的量子噪声被转移到三束空间分离的正交纠缠光场. 三束释放的光场间纠缠的存在验证了该系统具有保持多组分纠缠的能力. 这个方案实现了三个量子节点间的纠缠, 并且可以直接扩展到具有更多节点的量子网络, 为未来实现大型量子网络通信奠定了基础.Quantum entanglement is a significant quantum resource, which plays a central role in quantum communication. For realizing quantum information network, it is important to establish deterministic quantum entanglement among multiple spatial-separated quantum memories, and then the stored entanglement is transferred into the quantum channels for distributing and transmitting the quantum information at the user-control time. Firstly, we introduce the scheme of deterministic generation polarization squeezed state at 795 nm. A pair of quadrature amplitude squeezed optical fields are prepared by two degenerate optical parameter amplifiers pumped by a laser at 398 nm, and then the polarization squeezed state of light appears by combining the generated two quadrature amplitude squeezed optical beams on a polarizing beam splitter. Secondly, we present the experimental demonstration of tripartite polarization entanglement described by Stokes operators of optical field. The quadrature tripartite entangled states of light corresponding to the resonance with D1 line of rubidium atoms are transformed into the continuous-variable polarization entanglement via polarization beam splitter with three bright local optical beams. Finally, we propose the generation, storage and transfer of deterministic quantum entanglement among three spatially separated atomic ensembles. By the method of electromagnetically induced transparency light-matter interaction, the optical multiple entangled state is mapped into three distant atomic ensembles to build the entanglement among three atomic spin waves. Then, the quantum noise of entanglement stored in the atomic ensembles is transferred to the three space-seperated quadrature entangled light fields through three quantum channels. The existence of entanglement among the three released beams verifies that the system has the ability to maintain the multipartite entanglement. This protocol realizes the entanglement among three distant quantum nodes, and it can be extended to quantum network with more quantum nodes. All of these lay the foundation for realizing the large-scale quantum network communication in the future.
-
Keywords:
- deterministic quantum entanglement/
- electromagnetically induced transparency/
- multipartite entanglement/
- quantum nodes
[1] [2] [3] [4] [5] [6] [7] [8] [9] [10] [11] [12] [13] [14] [15] [16] [17] [18] [19] [20] [21] [22] [23] [24] [25] [26] [27] [28] [29] [30] [31] [32] [33] [34] [35] [36] [37] [38] [39] [40] [41] [42] [43] [44] [45] [46] [47] [48] [49] [50] [51] [52] [53] [54] [55] [56] [57] [58] [59] [60] [61] [62] [63] [64] [65] [66] [67] [68] [69] [70] [71] [72] [73] [74] [75] [76] [77] [78] [79] [80] [81] [82] [83] [84] [85] [86] [87] [88] [89] [90] [91] [92] [93] [94] [95] [96] [97] [98] [99] [100] [101] [102] [103] [104] -
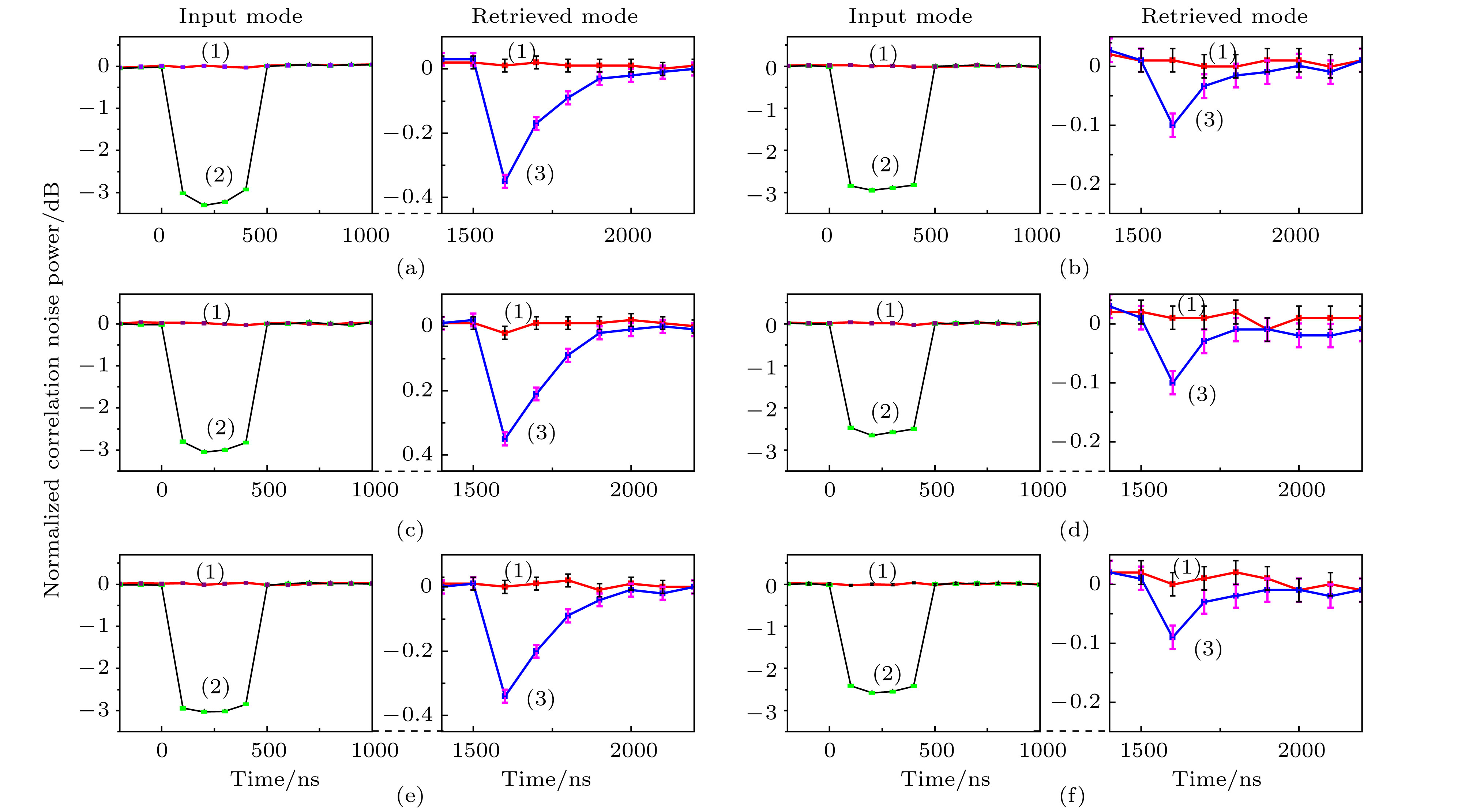
不同组合的关联方差 输入模式/dB 原子自旋波/dB 释放模式/dB $\left\langle {{{\text{δ}}^2}({{\hat X}_2} - {{\hat X}_3})} \right\rangle $ −3.30 ± 0.05 −0.56 ± 0.03 −0.37 ± 0.03 $\left\langle {{{\text{δ}}^2}({g_1}{{\hat P}_1} + {{\hat P}_2} + {{\hat P}_3})} \right\rangle $ −2.93 ± 0.05 −0.15 ± 0.02 −0.10 ± 0.02 $\left\langle {{{\text{δ}}^2}({{\hat X}_1} - {{\hat X}_3})} \right\rangle $ −3.25 ± 0.05 −0.53 ± 0.03 −0.35 ± 0.03 $\left\langle {{{\text{δ}}^2}({{\hat P}_1} + {g_2}{{\hat P}_2} + {{\hat P}_3})} \right\rangle $ −2.91 ± 0.05 −0.15 ± 0.02 −0.10 ± 0.02 $\left\langle {{{\text{δ}}^2}({{\hat X}_1} - {{\hat X}_2})} \right\rangle $ −3.25 ± 0.05 −0.52 ± 0.03 −0.34 ± 0.03 $\left\langle {{{\text{δ}}^2}({g_1}{{\hat P}_2} + {{\hat P}_2} + {{\hat P}_3})} \right\rangle $ −2.90 ± 0.05 −0.14 ± 0.02 −0.09 ± 0.02 -
[1] [2] [3] [4] [5] [6] [7] [8] [9] [10] [11] [12] [13] [14] [15] [16] [17] [18] [19] [20] [21] [22] [23] [24] [25] [26] [27] [28] [29] [30] [31] [32] [33] [34] [35] [36] [37] [38] [39] [40] [41] [42] [43] [44] [45] [46] [47] [48] [49] [50] [51] [52] [53] [54] [55] [56] [57] [58] [59] [60] [61] [62] [63] [64] [65] [66] [67] [68] [69] [70] [71] [72] [73] [74] [75] [76] [77] [78] [79] [80] [81] [82] [83] [84] [85] [86] [87] [88] [89] [90] [91] [92] [93] [94] [95] [96] [97] [98] [99] [100] [101] [102] [103] [104]
计量
- 文章访问数:9368
- PDF下载量:149
- 被引次数:0












下载:








