-
在谣言传播过程中加入真实信息的传播者, 考虑了人们对谣言的遗忘因素, 建立了SITR (susceptible-infective-true-removed)谣言传播模型. 利用下一代矩阵得到了谣言传播的阈值 K 0, 证明了 K 0< 1时无谣言传播者无真实信息传播者平衡点的稳定性, 给出了边界平衡点(即有谣言传播者但无真实信息传播者, 及无谣言传播者但有真实信息传播者平衡点)存在的条件, 以及它们的稳定性, 发现了两个边界平衡点出现双稳的区域, 获得了不同条件下正平衡点的存在性, 及其局部稳定性. 最后, 通过数值模拟验证了理论结果, 模拟分析了真实信息传播者的初始值对谣言传播者的峰值及谣言的持续时间等的影响.In the process of rumor propagation, people who know the truth or judge the truth can spread true information about rumors. Therefore, on the rumor propagation, it is significant to introduce the spreaders who spread true information in the rumor propagation. But the previous studies did not take into consideration the influence of true information spreading on the rumor propagation. In this paper, the susceptible-infective-true-removed (SITR) rumor propagation model with the true information spreader and the forgetting factor of rumors is established. The threshold K 0is obtained by using the method of the next generation matrix. If K 0< 1, the balance between no rumor and no true information spreader is locally asymptotically stable. The existence and stability of two boundary balance (that is, there are rumor spreaders but no true information spreaders, and there are no rumor spreaders but true information spreaders) are proved. The bistable region of two-boundary balance is given. Further, under different conditions we obtain the existence and locally asymptotical stability of positive balance (rumor spreaders and true information spreaders coexist). Finally, the theoretical results are verified by numerical simulations. We find that the initial value of the true information spreaders affects the peak value of the rumor spreaders and the duration of the rumor. The bigger the initial value of the true information spreaders, the smaller the peak value of the rumor spreaders is and the shorter the duration of the rumor is. The initial value of the rumor spreaders affects the peak value of the rumor spreaders, and the time when the rumor spreaders reach the peak value. The larger the initial value of the rumor spreaders, the larger the peak value of the rumor spreaders is and the earlier the peak value appears. But the initial value of the rumor spreaders does not affect the duration of the rumor. Therefore, in the process of rumor propagation, according to mathematical analysis of the rumor propagation model, we find that the rumor spread is a very complicated process. The results of mathematical analysis can provide theoretical basis to control the rumor propagation and reduce the negative effects of rumors.
-
Keywords:
- rumor propagation/
- true information/
- threshold/
- equilibrium
[1] [2] [3] [4] [5] [6] [7] [8] [9] [10] [11] [12] [13] [14] [15] [16] [17] [18] [19] [20] [21] [22] [23] [24] [25] [26] [27] -
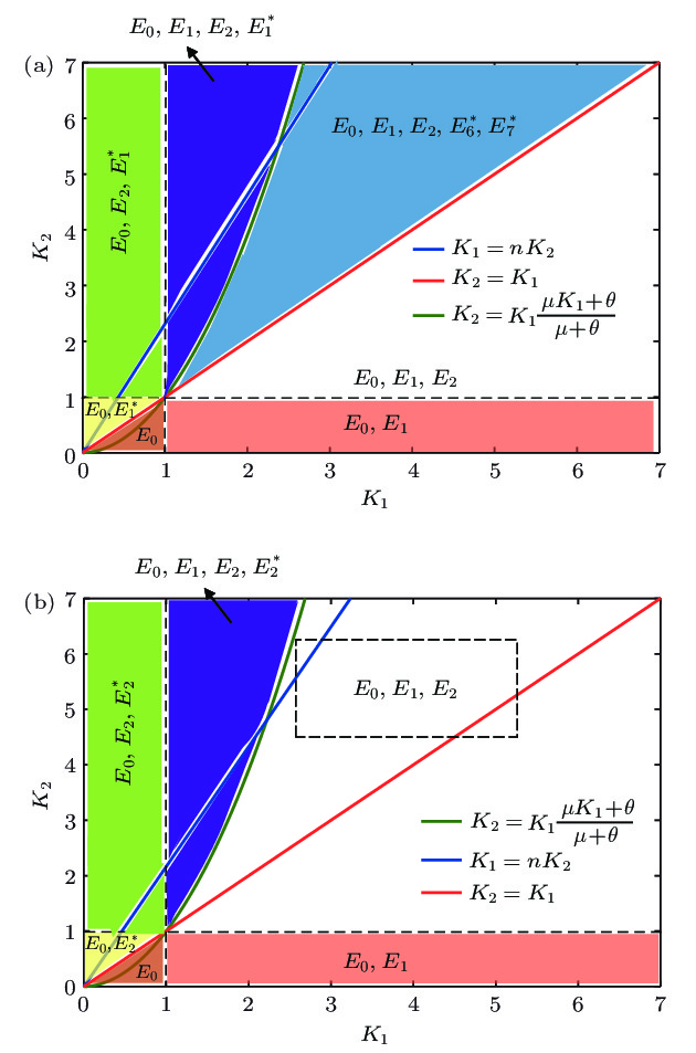
系统(2)的平衡点 $ \epsilon< \left( {1 - {\alpha _1}} \right){\rm{\beta }}$ ${K_2} > {K_1}$ ${K_2} > \dfrac{{{K_1}\left( {\mu {R_1} + \theta } \right)}}{{\mu + \theta }}$ ${K_2} < 1$ 图3(a)中黄色区域${E_0},\;E_1^*$ ${K_2} > 1 > {K_1}$ 图3(a)中绿色区域${E_0},\;{E_2},\;E_1^*$ ${K_1} > 1$ 图3(a)中紫色区域${E_0},\;{E_1},\;{E_2},\;E_1^*$ ${K_2} < \dfrac{{{K_1}\left( {\mu {K_1} + \theta } \right)}}{{\mu + \theta }}$ $\epsilon < \left( {1 - 2{\alpha _1} } \right)\beta + \dfrac{ {\delta \theta } }{\mu },{\varDelta _1} \geqslant 0$ 图3(a)中蓝色区域${E_0},\;{E_1},\;{E_2},\;E_6^*,\;E_7^*$ ${K_2} < {K_1}$ ${K_1} < 1$ 图3(a)中橙色区域$E_0$ ${K_1} > 1 > {K_2}$ 图3(a)中红色区域$E_0,\;E_1$ ${K_1} > {K_2} > 1$ 图3(a)中空白区域$E_0,\;E_1,\;E_2$ $\epsilon > \left( {1 - {\alpha _1}} \right){\rm{\beta }}$ ${K_2} > {K_{1,}}$ ${K_2} > \dfrac{{{K_1}\left( {\mu {K_1} + \theta } \right)}}{{\mu + \theta }}$ ${K_2} < 1$ 图3(b)中黄色区域$E_0,\;E_2^*$ ${K_2} > 1 > {K_1}$ 图3(b)中绿色区域$E_0,\;E_2,\;E_2^*$ ${K_1} > 1$ 图3(b)中紫色区域$E_0,\;E_1,\;E_2,\;E_2^*$ $K_2 $K_1<1$ 图3(b)中橙色区域$E_0$ $K_1>1>K_2$ 图3(b)中红色区域$E_0,\;E_1$ $1 < {K_2} < \dfrac{{{K_1}\left( {\mu {K_1} + \theta } \right)}}{{\mu + \theta }}$ 图3(b)中空白区域$E_0,\;E_1,\;E_2$ -
[1] [2] [3] [4] [5] [6] [7] [8] [9] [10] [11] [12] [13] [14] [15] [16] [17] [18] [19] [20] [21] [22] [23] [24] [25] [26] [27]
计量
- 文章访问数:12686
- PDF下载量:263
- 被引次数:0












下载:










