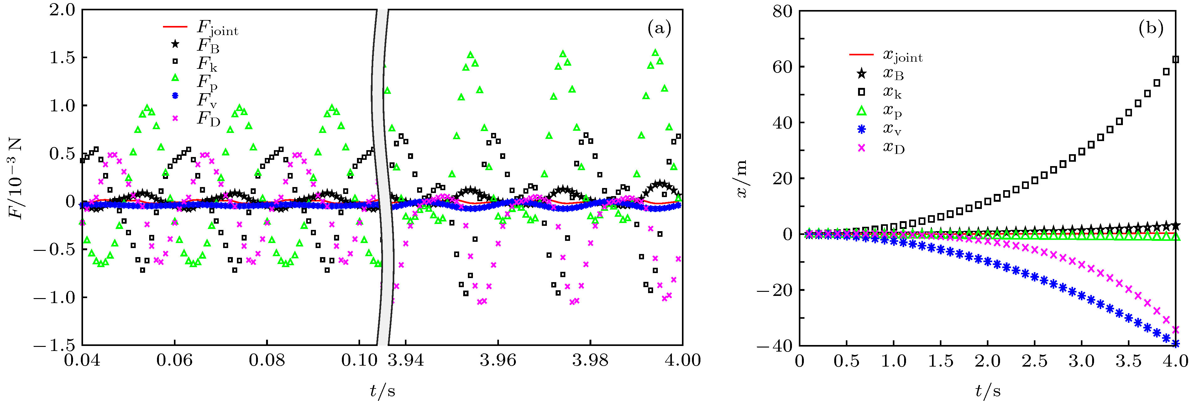
When a container filled with water is subjected to vertical vibration, bubbles in the water may sink. This phenomenon exists widely in the field of engineering, and has a non-negligible influence on aerospace engineering and ship engineering. Therefore, it is of great significance to study the movement of bubble sinking in order to reduce the adverse effect caused by bubble sinking in the project. In previous papers, the effect of Basset force on bubble motion was usually ignored. In this paper, the bubble motion model based on the ideal gas equation is built for spherical bubbles, and the influence of the Basset force on the bubble motion is considered in the model. In the process of solving Basset force, the motion is directly separated and the convergence factor is introduced in theoretical solution. The equal step composite trapezoid formula is applied to the numerical solution. The results of numerical calculation show that the added mass force is important for bubble sinking. We find that the Basset force has no effect on the stable oscillation position of bubble, but it can accelerate the later trajectory of bubble motion. Importantly, we demonstrate that the bubble is hindered by the following component forces: buoyancy, viscous resistance, and flow thrust (which are ordered from large to small value). The movement of the bubble is observed to be in the form of oscillation, and there exists a depth, i.e. a critical depth: the bubble oscillate steadily at this depth, specifically, the bubble rises above this depth and sinks below this depth. When the vibration pressure changes, the location of the bubble’s stable oscillation will also be affected. The origin can be ascribed to the change of added mass force caused by the change of vibration pressure. Meanwhile, on the basis of digital image processing method, denoising, filtering, local stretching, image binarization and image filling are used to extract the characteristic dimension of bubbles. The theoretical value of the critical depth of bubble sinking matches the experimental result and their relative error is less than 5%. These new findings enrich the understanding of the moving bubbles in liquid materials used in nuclear reactors, rocket propulsion fuels and chemical experiments.