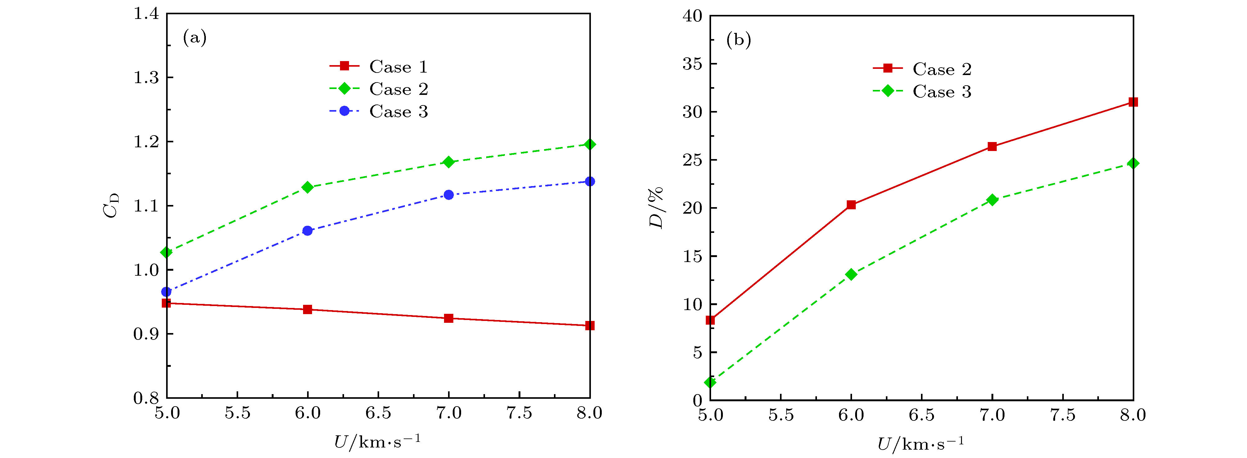
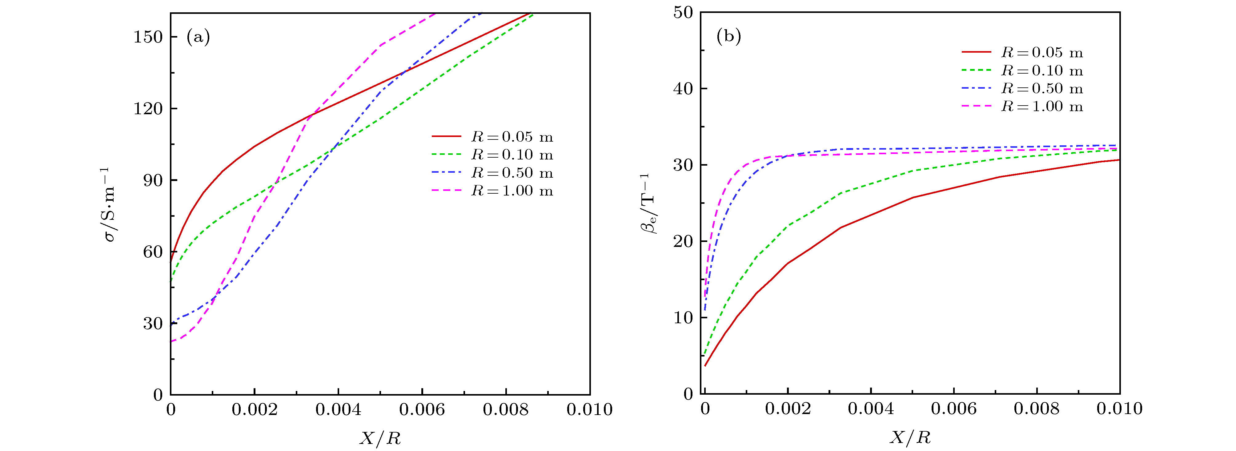
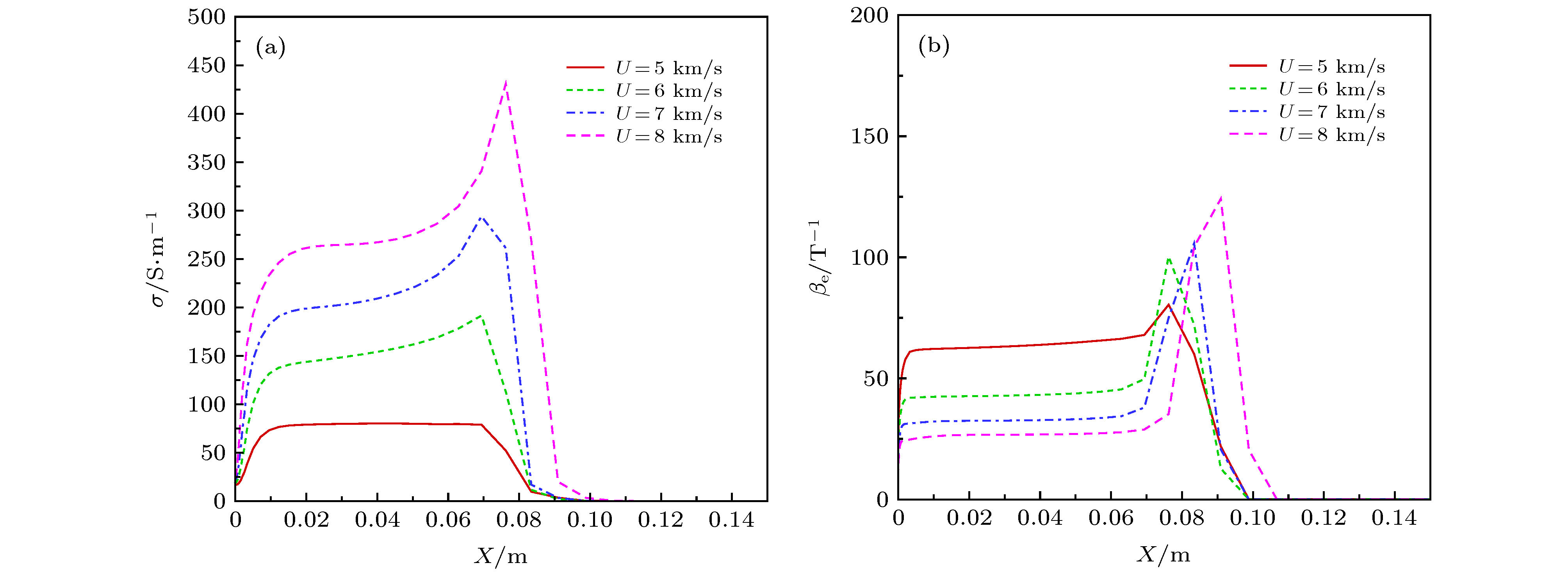
In this paper, the influence of Hall effect on hypersonic magnetohydrodynamic control is studied. By considering high temperature thermo-chemical reactions, the excitation of thermodynamic temperature of gas molecules, Hall coefficient distribution of various ionized components, and by solving the coupled anisotropic Possion’s equation of Hall electric field and the high temperature thermo-chemical non-equilibrium flow governing equations with electromagnetic source term, the numerical simulation method of the Hall effect on hypersonic magnetohydrodynamic (MHD) control is established, and the numerical simulation of hypersonic MHD control under various conditions is conducted, the mechanism of “leakage” and “gathering” phenomenon of Hall effect and its influence on aerodynamic force and aerothermal environment are analyzed, the mechanism and its influences of Hall effect under various flight altitudes, flight speeds and characteristic lengths are discussed in detail. The result shows that 1) Hall effect changes the Lorentz force distribution of plasma, weakens the total mechanical effect, thus lowering the total magneto-resistance effect. 2) The influence of Hall effect on hypersonic MHD control is closely related to the wall conductivity and the “leakage” phenomenon of the leakage layer near the wall. The “leakage” phenomenon must be restrained in order to enhance the magnetic control effect. 3) The influence of Hall effect on magnetic control thermal protection is complicated, which is the combined result of the “leakage” and “gathering” phenomenon. 4) Based on the normal state in this paper, when the flight altitude is higher than 67 km or the flight speed higher than 5.7 km/s or the characteristic length is bigger than 0.5 m, Hall effect can enhance the magnetic control thermal protection, and the current “gathering” phenomenon dominates the influence on aerothermal environment. On the contrary, Hall effect can weaken the effect of magnetic control thermal protection, and the “leakage” phenomenon dominates the influence on aerothermal environment.