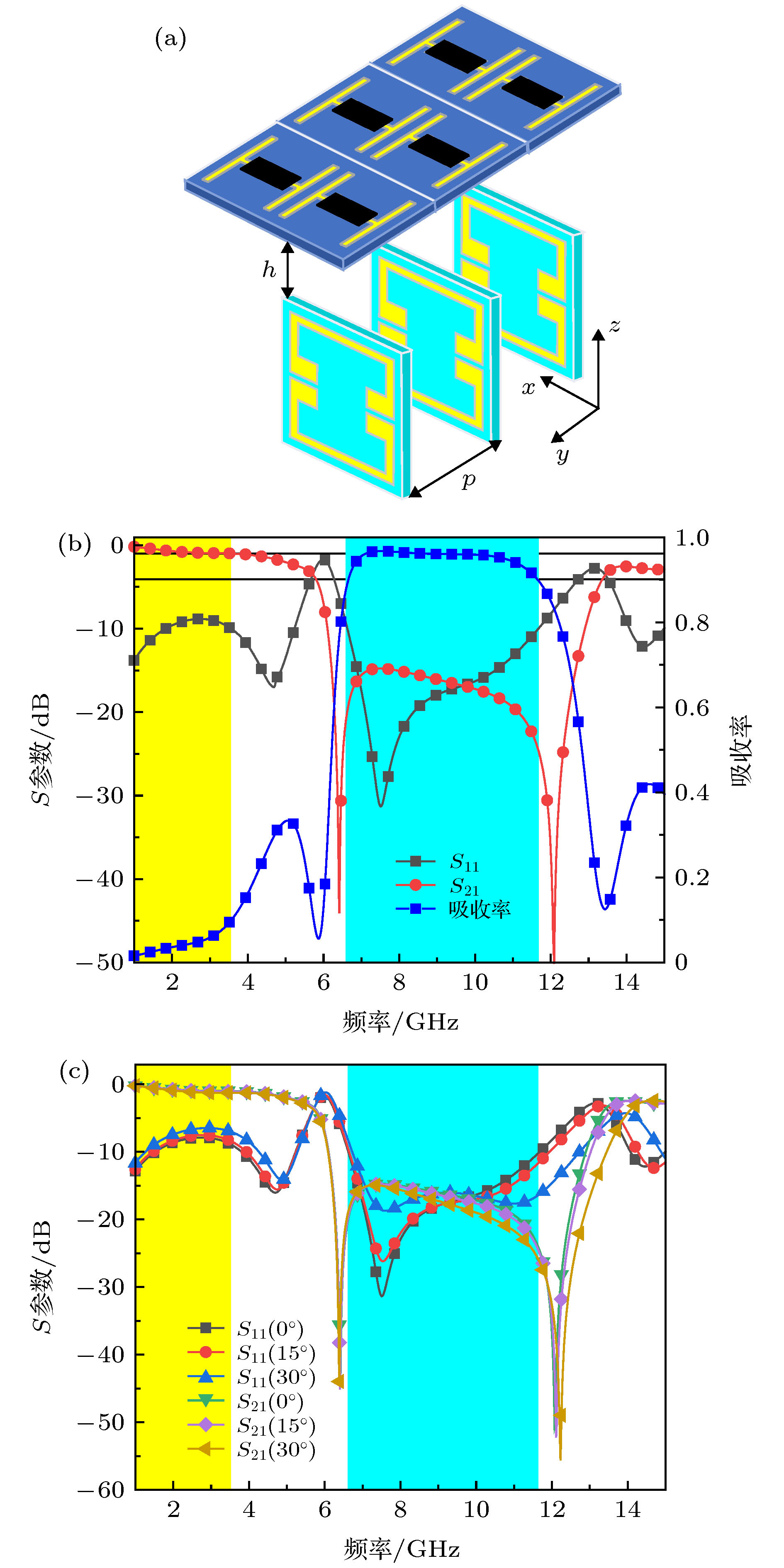
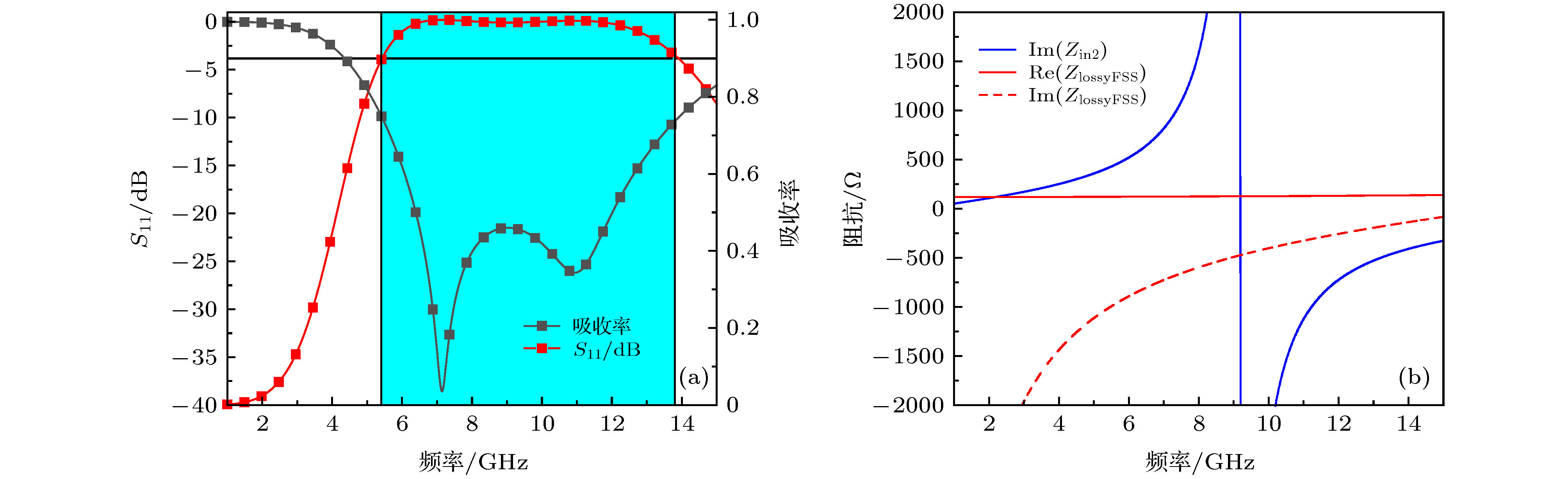
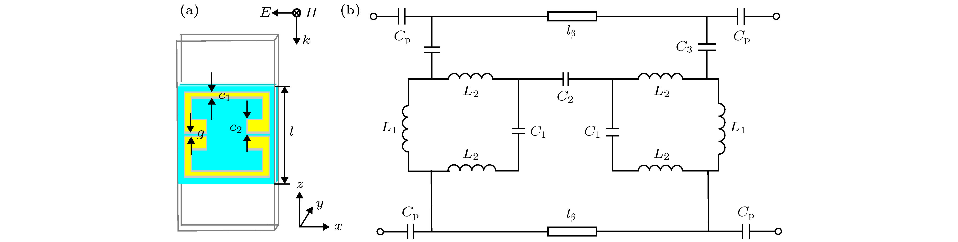
| [1] |
王东俊, 孙子涵, 张袁, 唐莉, 闫丽萍.抗方阻波动的超宽带轻薄频率选择表面吸波体. 必威体育下载 , 2024, 73(2): 024201.doi:10.7498/aps.73.20231365 |
| [2] |
葛宏义, 李丽, 蒋玉英, 李广明, 王飞, 吕明, 张元, 李智.基于双开口金属环的太赫兹超材料吸波体传感器. 必威体育下载 , 2022, 71(10): 108701.doi:10.7498/aps.71.20212303 |
| [3] |
惠忆聪, 王春齐, 黄小忠.基于电阻型频率选择表面的宽带雷达超材料吸波体设计. 必威体育下载 , 2015, 64(21): 218102.doi:10.7498/aps.64.218102 |
| [4] |
刘红喜, 高军, 曹祥玉, 刘艳芳, 张迪, 李思佳.一种基于开口谐振环的高增益端射天线设计. 必威体育下载 , 2015, 64(23): 234101.doi:10.7498/aps.64.234101 |
| [5] |
刘海文, 占昕, 任宝平.射电天文用太赫兹三通带频率选择表面设计. 必威体育下载 , 2015, 64(17): 174103.doi:10.7498/aps.64.174103 |
| [6] |
徐永顺, 别少伟, 江建军, 徐海兵, 万东, 周杰.含螺旋单元频率选择表面的宽频带强吸收复合吸波体. 必威体育下载 , 2014, 63(20): 205202.doi:10.7498/aps.63.205202 |
| [7] |
戴雨涵, 陈小浪, 赵强, 张继华, 陈宏伟, 杨传仁.太赫兹波段谐振频率可调的开口谐振环结构. 必威体育下载 , 2013, 62(6): 064101.doi:10.7498/aps.62.064101 |
| [8] |
程用志, 聂彦, 龚荣洲, 郑栋浩, 范跃农, 熊炫, 王鲜.基于超材料与电阻型频率选择表面的薄型宽频带吸波体的设计. 必威体育下载 , 2012, 61(13): 134101.doi:10.7498/aps.61.134101 |
| [9] |
程用志, 王莹, 聂彦, 郑栋浩, 龚荣洲, 熊炫, 王鲜.基于电阻型频率选择表面的低频宽带超材料吸波体的设计. 必威体育下载 , 2012, 61(13): 134102.doi:10.7498/aps.61.134102 |
| [10] |
李芸, 孙华.开口共振环型球状变形器的设计与模拟. 必威体育下载 , 2011, 60(9): 094103.doi:10.7498/aps.60.094103 |
| [11] |
陈谦, 江建军, 别少伟, 王鹏, 刘鹏, 徐欣欣.含有源频率选择表面可调复合吸波体. 必威体育下载 , 2011, 60(7): 074202.doi:10.7498/aps.60.074202 |
| [12] |
樊京, 蔡广宇.一种基于旋转调谐的超材料. 必威体育下载 , 2010, 59(12): 8574-8578.doi:10.7498/aps.59.8574 |
| [13] |
樊京, 蔡广宇.一种基于金属开口谐振环和杆阵列的左手材料宽带吸收器. 必威体育下载 , 2010, 59(9): 6084-6088.doi:10.7498/aps.59.6084 |
| [14] |
杨锐, 谢拥军, 李晓峰, 蒋俊, 王元源, 王瑞.异向介质谐振响应的Floquet模分析. 必威体育下载 , 2009, 58(2): 901-907.doi:10.7498/aps.58.901 |
| [15] |
杨 锐, 谢拥军, 王元源, 傅焕展.加载异向介质非辐射介质波导中的慢波传输及应用. 必威体育下载 , 2008, 57(9): 5513-5518.doi:10.7498/aps.57.5513 |
| [16] |
艾 芬, 白 洋, 徐 芳, 乔利杰, 周 济.基于铁氧体基板的开口谐振环的可调微波左手特性研究. 必威体育下载 , 2008, 57(7): 4189-4194.doi:10.7498/aps.57.4189 |
| [17] |
张富利, 赵晓鹏.谐振频率可调的环状开口谐振器结构及其效应. 必威体育下载 , 2007, 56(8): 4661-4667.doi:10.7498/aps.56.4661 |
| [18] |
姚 远, 赵晓鹏, 赵 晶, 周 欣.非对称开口六边形谐振单环的微波透射特性. 必威体育下载 , 2006, 55(12): 6435-6440.doi:10.7498/aps.55.6435 |
| [19] |
赵 乾, 赵晓鹏, 康 雷, 张富利, 刘亚红, 罗春荣.一维负磁导率材料中的缺陷效应. 必威体育下载 , 2004, 53(7): 2206-2211.doi:10.7498/aps.53.2206 |
| [20] |
康 雷, 赵 乾, 赵晓鹏.二维负磁导率材料中的缺陷效应. 必威体育下载 , 2004, 53(10): 3379-3383.doi:10.7498/aps.53.3379 |