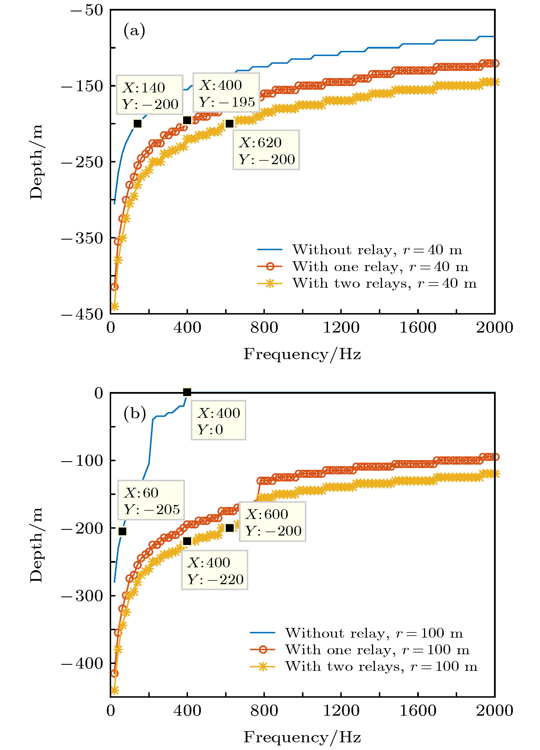
The transboundary information transmission across the air-and-sea interface is of great practical significance. No matter from the perspective of scientific research or from the view of applications, transboundary communication is a hot and challenging field. Magnetic induction communication has the unique advantages of two-way transboundary transmission, insusceptible to complex hydro-logical environment, and especially suitable for shallow water channel and other environments with harsh propagation characteristics, providing a promising solution for transboundary information transmission. However, the rapid attenuation of magnetic field component with the increase of distance and frequency limits the coverage and transmission rate of the transboundary magnetic induction communication. Therefore, enhancing magnetic field component at a distance has become a focus of magnetic induction communication research. An undersea-to-air transboundary magnetic induction communication scheme based on relay transmission is proposed in this paper, in which a virtual distributed antenna array is formed by processing and relaying the received signals performed at the relay terminals, and the distributed spatial diversity gain can be obtained which is used to enhance the underwater magnetic field component, expand the magnetic induction propagation range, and increase the transmission bandwidth and improve the receiving signal-to-noise ratio as well. Moreover, even in a dynamic marine environment, the relay transmission can be effectively realized and the communication performance can be guaranteed. In this paper, the propagation model of relay transmission based undersea-to-air transboundary magnetic induction communication is established by using the magnetic dipole model in layered conductive media. The effective communication range of direct and relay communication are defined by using their receiving thresholds, and the basic methods and steps to determine the relay location are presented. The communication coverage and available transmission bandwidth of undersea-to-air transboundary magnetic induction communication under different relay scenarios are analyzed and compared by calculating the underwater magnetic induction strength distribution. The numerical results indicate that the underwater coverage and available bandwidth of transboundary magnetic induction communication can be simultaneously doubled under the appropriate number and location of relays. The research in this paper suggests that the relay transmission scheme for magnetic induction communication is suitable for the application in dynamic environment with high propagation loss, which greatly increases the feasibility and effectiveness of the magnetic induction communication as a transboundary communication technology.