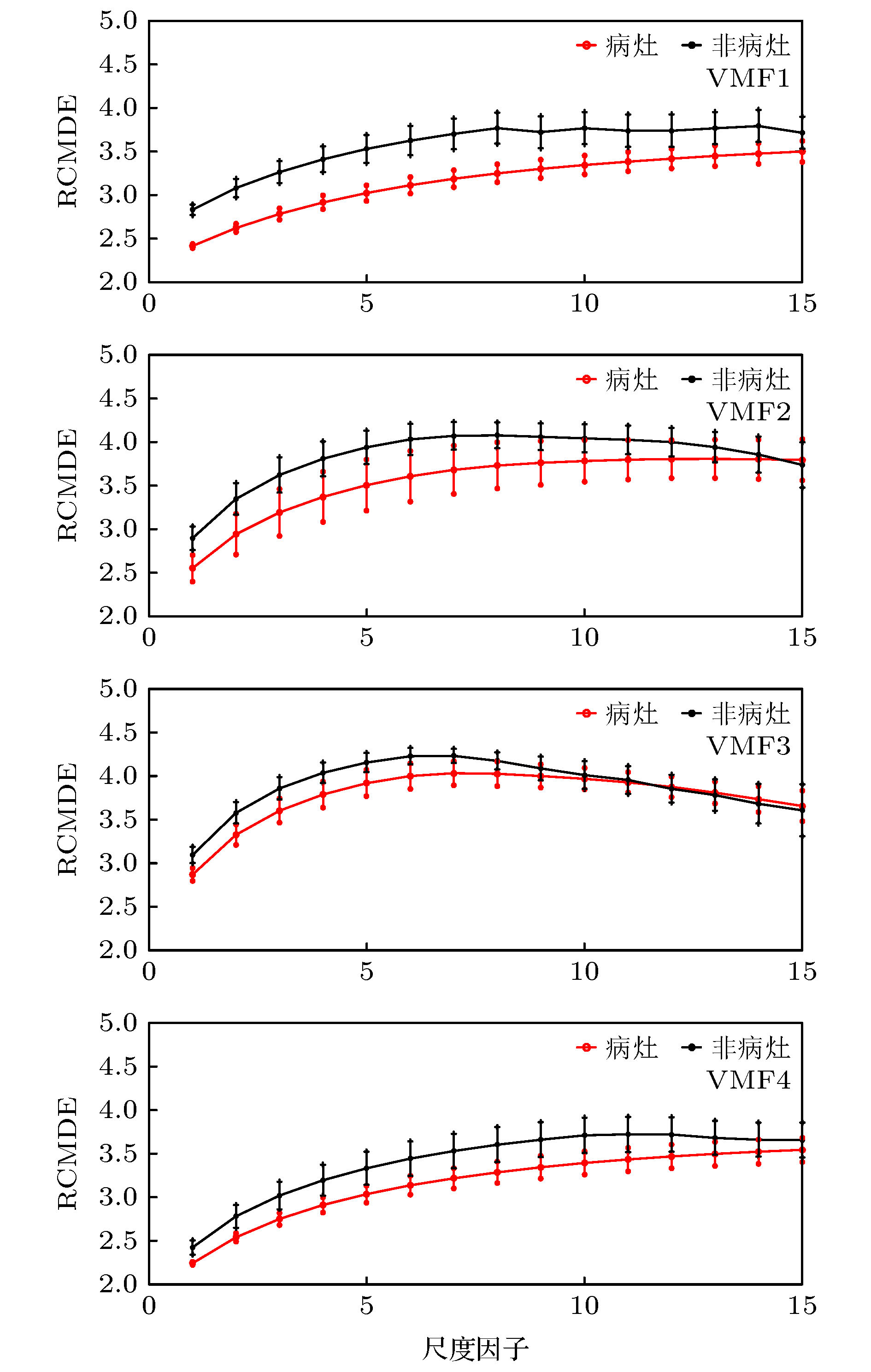
Epilepsy is an extensive nervous system disease nowadays. Electroencephalogram (EEG) can capture the abnormal discharge of nerves in the brain duration of seizure and provide a non-invasive way to identify epileptogenic sites in the brain. In order to distinguish between focal epilepsy EEG signal and non-focal epilepsy EEG signal, in this paper we propose an automated epileptic EEG detection method based on the elastic variational mode decomposition (EVMD). The proposed EVMD algorithm is a method of analyzing the signals and also a processing method in time-frequency domain, in which the elastic net regression is used to reconstruct a constrained variational model in variational mode decomposition (VMD). Used in the VMD algorithm is the Tikhonov regularization that is also statistically called ridge regression as a solution of recovering the unknown signal and assessing the bandwidth of a mode, namely the variational equation constructed by VMD only has L2 norm. However, the ridge regression cannot select variables when the equation has multiple variables. Another regression method, called lasso regression, only has L1 norm and can select a more accurate model from multiple variables, but it has worse performance when variables have group effect or co-linearity. The elastic net regression has advantages of ridge regression and lasso regression, in other word, the variational equation constructed by EVMD has both L1 regularization item and L2 regularization item, so in this paper we propose the EVMD by elastic net regression. In addition, in this paper the EVMD is used to distinguish between focal epilepsy EEG signal and non-focal epilepsy EEG signal. Firstly, the original EEG signals are divided into several sub-signals where the test signals are divided into sub-signals with shorter durations by time series and a reasonable time overlap is kept between successive sub-signals. After that each sub-signal is decomposed into intrinsic mode functions by using the EVMD. Furthermore, the refined composite multiscale dispersion entropy (RCMDE) as feature is extracted from each intrinsic mode function where a Student’s t-test is used to assess the statistical differences between RCMDEs extracted from focal and non-focal EEG signals respectively. Finally, the support vector machine (SVM) is used to classify their features. For an epilepsy EEG signalspublic data set, the final experimental results show that the performance indices of accuracy, sensitivity, and specificity can reach 92.54%, 93.22% and 91.86% respectively.