-
层流气体雾化制备的金属粉末具有粒径较小且粒度分布窄的优点, 目前对层流气体雾化的研究主要集中在工艺参数对雾化效果和粉末特性的影响, 其雾化机理仍不完全清楚. 本文通过数值模拟和实验分析, 系统地研究了层流气体雾化过程中的雾化气体流场、一次雾化和二次雾化机理以及最终的粉末颗粒形态. 采用标准 k- ε湍流模型, 研究了基于De Laval喷嘴的层流雾化单相气体流场, 流场呈“项链”状结构, 并伴有斜激波的膨胀波团. 采用耦合水平集-体积分数法研究了一次雾化和二次雾化机理, 并通过雾化实验得到了凝固碎片和粉末, 验证了该模型的有效性, 数值模拟结果也为层流气雾化制粉技术的实际应用和具体工艺提供了重要参考. 研究表明, 液柱周围的熔体主要以细丝或韧带的形式剥离, 这显示出了增压低维度雾化的特点. 二次雾化过程中球形液滴主要基于Rayleigh-Taylor不稳定变形和Sheet-Thinning破碎模式分解破碎, 丝状熔体则主要以曲张波表面发生扰动从而引起波谷处破裂的方式进行破碎.
-
关键词:
- 层流气体雾化/
- 一次雾化和二次雾化/
- 耦合水平集-体积分数法/
- 雾化机理
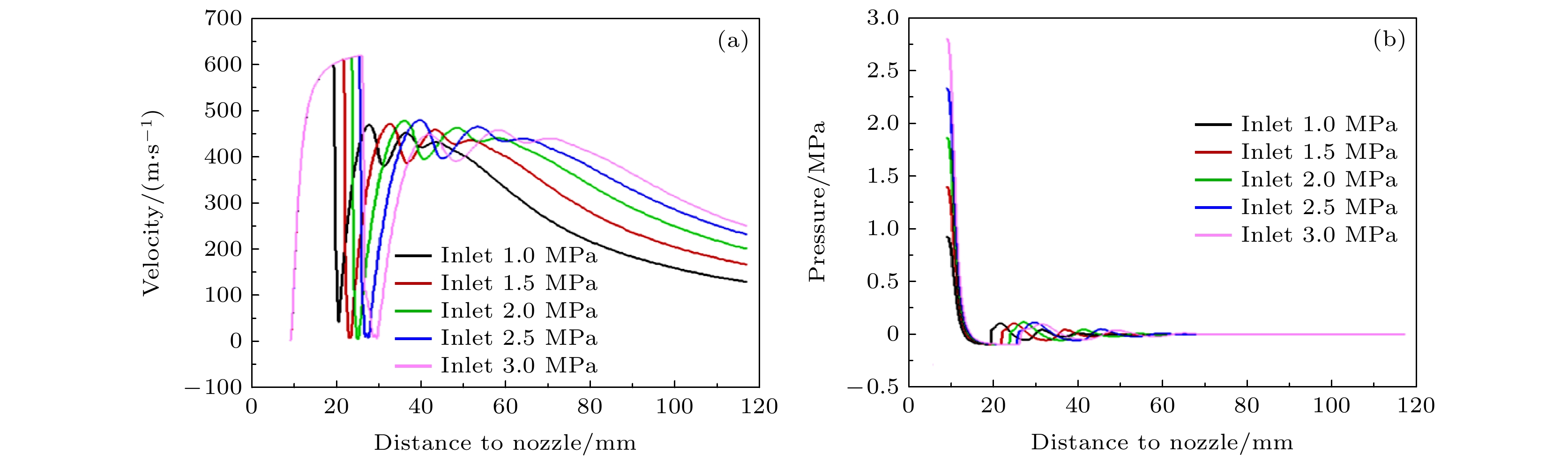
Metal powders prepared by laminar flow gas atomization have the advantages of small particle size and narrow particle size distribution. At present, the research on laminar flow gas atomization mainly focuses on the influence of process parameters on atomization and powder characteristics, but the atomization mechanism of laminar flow gas atomization is still not clear. In this work, the atomization gas flow, primary and secondary breakup mechanism, and particle morphology of the laminar flow gas atomization process are systematically investigated through numerical simulation and experimental analysis. The characteristics of single-phase atomization gas flow through the De Laval nozzle are studied using the standard k-εturbulence model. The flow field structure shows a “necklace”-like structure with an expansion wave cluster of oblique shock. The primary and secondary atomization mechanism are investigated using the coupled level-set and volume-of-fluid model, which is validated by solidified fragments and powders after the atomization experiment, and results of the numerical simulation also provide some important advices for the application and specific process of laminar gas atomization technology. The studies indicate that the melts at the periphery of the liquid column are mainly peeled off by filaments or ligaments, which exhibits the small dimension and pressurized melt atomization characteristics. The secondary atomization is mainly based on the disintegration of spherical droplets in the mode of Rayleigh-Taylor instability deformation and sheet-thinning breakup. The simulation results also show that increasing the gas pressure and melt superheat can effectively reduce the probability of irregular powders to occur. The AlSi10Mg powders are obtained under a pressure of 2.0 MPa in the experiment on gas atomization, and the properties of the powders are analyzed. The results show that the powders have good sphericity and flowability, and the proportion of hollow powders is very low. In addition, the mean particle size of the AlSi10Mg powders is 54.3 μm, and the yield of fine powders reaches 48.7%, which is greatly improved compared with the traditional gas atomization processes. Moreover, about 90% of the powders have particle sizes in a range of 30–100 μm, which indicates that a narrow particle size distribution can be obtained by the laminar gas atomization technology.-
Keywords:
- laminar flow gas atomization/
- primary and secondary atomization/
- coupled level-set and volume-of-fluid model/
- atomization mechanism
[1] [2] [3] [4] [5] [6] [7] [8] [9] [10] [11] [12] [13] [14] [15] [16] [17] [18] [19] [20] [21] [22] [23] [24] [25] [26] [27] [28] [29] [30] [31] [32] [33] [34] [35] [36] [37] [38] [39] [40] [41] [42] [43] [44] -
参数 数值 入口压力/MPa 1.0 1.5 2.0 2.5 3.0 出口压力/MPa 0.1 材料 参数 数值 AlSi10Mg 比热容/(J·kg–1·K–1) 871 密度/(kg·m–3) 2719 黏度/(kg·m–1·s–1) 0.0135 导热系数/(W·m–1·K–1) 202.4 表面张力/(N·m–1) 0.854 Ar 比热容/(J·kg–1·K–1) 520.64 导热系数/(W·m–1·K–1) 0.0158 黏度/(kg·m–1·s–1) 2.125 × 10–5 参数 数值 入口压力/MPa 2.0 出口压力/MPa 0.1 质量流量/(g·s–1) 20 熔体初始温度/K 1073 参数 数值 入口速度/(m·s–1) 400 液滴直径/μm 1000 丝状熔体尺寸/μm φ50 × 500 ${{\rho } }_{\rm{g} }$ 气体密度 t 时间 ${{u} }_{{i} }$ $ {x}_{i} $方向上的速度分量 ${{u} }_{{j} }$ $ {x}_{j} $方向上的速度分量 ${{\mu } }$ 动力黏度 ${{\tau } }_{{ij} }$ 雷诺应力张量 ${{S} }_{{i} }$ 动量守恒方程的广义源项 ${{S} }_{\rm{T} }$ 粘性耗散函数 T 温度 K 热导率 k 湍流动能 ${{\varepsilon } }$ 湍流动能耗散率 ${{G} }_{{k} }$ 平均速度梯度引起的湍流动能k ${{G} }_{\rm{b} }$ 浮力产生湍流动能k ${{Y} }_{\rm{M} }$ 可压缩湍流中脉动膨胀 ${\mu }_{{t} }$ 湍流黏度 ${{S} }_{{k} }$, ${{S} }_{{\varepsilon } }$ 源项 v 速度矢量 P 压力 ${{\tau } }$ 粘性应力张量 ${{\sigma } }$ 表面张力 $ \alpha $ 体积相分数 g 重力加速度 ${{F} }_{\sigma }$ 体积表面张力 ${{F} }_{\rm{D} }$ 阻力 ${{A} }_{\rm{d} }$ 液滴最大截面积 ${{p} }_{\rm{dg} }$ 气体作用在液滴上的压力 ${{u} }_{\rm{g} }$ 气流速度 ${{u} }_{\rm{d} }$ 液滴速度 ${{\mu } }_{\rm{g} }$ 气体黏性系数 ${{C} }_{\rm{D} }$ 阻力系数 d 特征长度 ${{\rho } }_{\rm{d} }$ 液滴密度 ${{V} }_{\rm{d} }$ 液滴体积 ${{Re} }$ 雷诺数 u 特征速度 ${{We} }$ 韦伯数 -
[1] [2] [3] [4] [5] [6] [7] [8] [9] [10] [11] [12] [13] [14] [15] [16] [17] [18] [19] [20] [21] [22] [23] [24] [25] [26] [27] [28] [29] [30] [31] [32] [33] [34] [35] [36] [37] [38] [39] [40] [41] [42] [43] [44]
计量
- 文章访问数:7035
- PDF下载量:196
- 被引次数:0












下载:



















