In recent years, all-solid-state thin-film batteries have been used to power low-energy devices such as microchips, smart cards, microelectromechanical systems, wireless sensors, and implantable medical devices. All-solid-state thin-film batteries have become an important research direction of rechargeable solid-state batteries (SSBs). However, the solid-solid interface between electrodes and electrolytes seriously affects the further improvement of battery performance, which has attracted extensive attention. Lithium phosphorus oxynitride (LiPON) was found to be a useful inorganic electrolyte in lithium batteries because of its favorable electrochemical properties. For instance, LiPON has good electrical and chemical stability, negligible electronic conductivity and excellent cyclability as well as ease of integration with thin film battery with an electrochemical stability window. The LiPON can present two states,
i.e.amorphous state and crystalline state. Here, we adopt
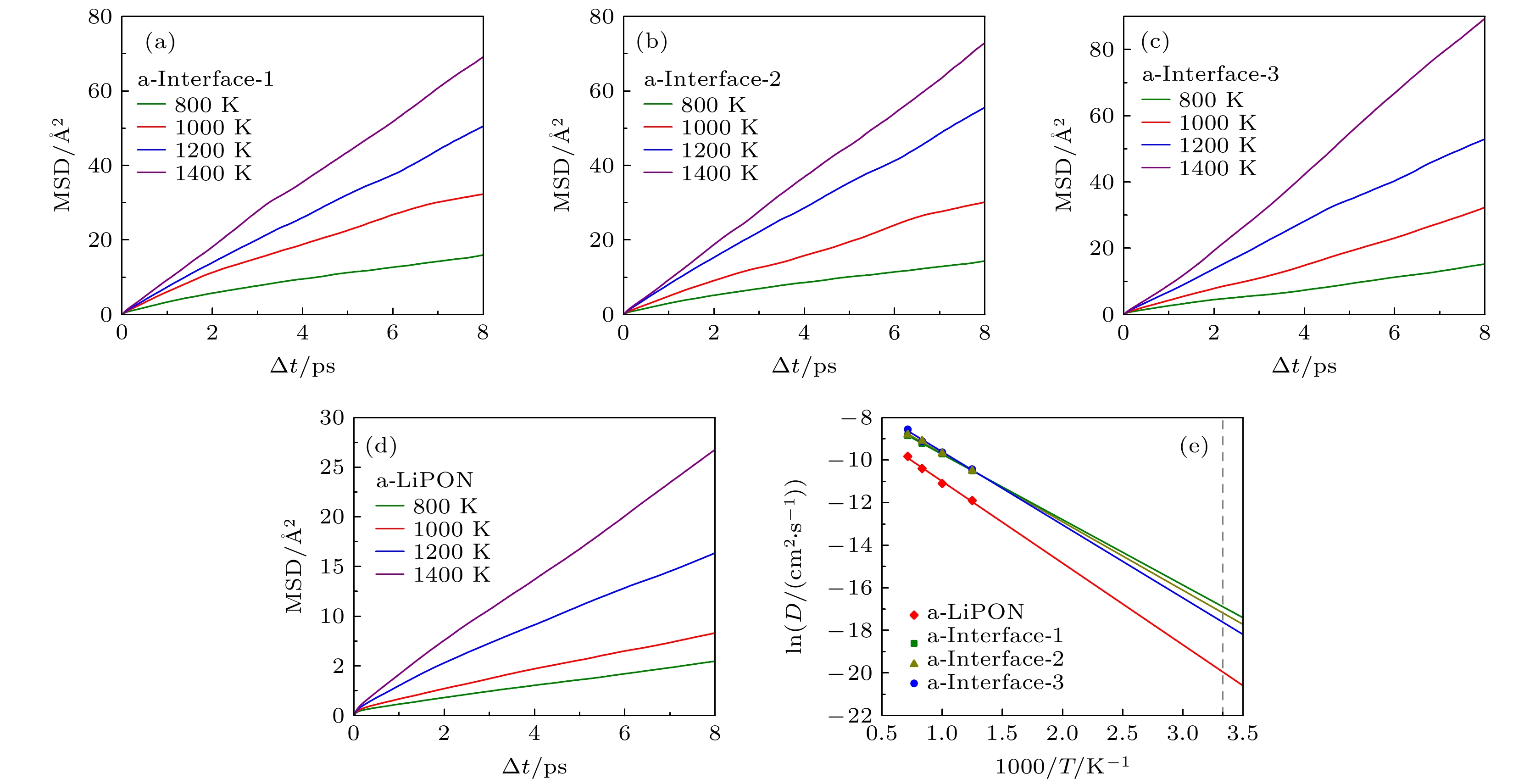
ab initiomolecular dynamics to study amorphous-LiPON/Li(100) interface and crystalline-Li
2PO
2N(100)/Li(100) interface. Our results demonstrate that the atomic inter-diffusion occurs in the interfacial region, forming a thin interfacial layer, and the ionic conductivity is increased after the interface layer has formed. Meanwhile, comparing with the Lipon bulk phase structure, the proportion of Li[O
2N
2], Li[O
3N], and Li[O
4] tetrahedral local structure in the interface layer with Li atom as the center decrease obviously, and the average coordination number of Li-O, Li-N, P-O, and P-N in the interfacial layers also decrease in the LiPON/Li interface. Due to the change of structure and coordination number at the interface, the ionic bonds between Li and O, N are weaker, which explains the increase of ionic conductivity at the LiPON/Li interface. Previous experiments showed that element interdiffusion occurs at the LiPON/Li interface and the interface layer is formed, and found that the decrease in impedance of the interface layer can confirm that the ionic conductivity of the interface layer indeed increases. In addition, the tetrahedral structure of the interface layer will be decomposed into other smaller structures. Our computational results are consistent with the previous experimental results, which indicates the rationality and reliability of our conclusion. This feature plays a positive role in promoting the performance of LiPON electrolytes in practical battery applications.