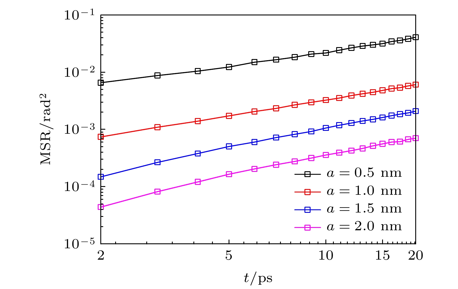
Brownian motion refers to the endless random motion of nanometer-to-micron particles suspended in a fluid. It widely exists in nature, and is applied to energy, biology, chemical industry, environment and other industries. As the Brownian motion of the object decreases from the micron level to the nanometer level, the boundary conditions of the particle motion no longer strictly follow the stick hydrodynamic boundary conditions, but are closer to the slip boundary theory, meanwhile, the interaction between particles and solvents has increasingly important influence on particle dynamics. Molecular dynamics simulation is an important means to study nanofluids, which can not only capture the microscopic details of the interactions between particles and solvent molecules in nanofluids, but also have high potential function accuracy. In this paper, an all-atom model of the diffusion of Cu nanoparticles of different sizes in water is established by using the rigid TIP4P/2005 water molecule model as solvent, the dynamic viscosity from the TIP4P/2005 model is in good agreement with the experimental result, which is verified by the Green-Kubo formula. The FCC lattice structure is used to construct Cu particles of 0.5 nm, 1.0 nm, 1.5 nm, 2.0 nm in size, and the interaction between atoms in the particle is described by the EAM potential. The translational diffusion coefficient of particles is fitted by the single particle tracking algorithm and the least square method, the rotational diffusion coefficient of particles is obtained by quaternion transformation. The diffusion coefficient and friction factor of the particles are calculated, and the friction factor is compared with the result under the stick hydrodynamics boundary conditions and the result under the slip boundary conditions. It is found that the frictional factors of translation and rotation of nano-particles lie between the theoretical values predicted by the two boundary conditions. The radial distribution functions of water molecules around nanoparticles of different sizes are calculated, we find that the smaller the particle size, the more obvious the adsorption of solvent molecules will be, and the water molecular layer on the particle surface will increase the effective volume of particles and make the calculation result of friction factor larger. The effect of solvent adsorption on the effective hydrodynamic radius of particles cannot be ignored when calculating the friction coefficient of Brownian motion of nano-particles, especially when the particle radius is close to the solvent radius. In Brownian dynamics, viscous resistance and stochastic force are constrained by fluctuation dissipation theorem, and a reasonable selection of particle friction factor can provide theoretical basis for the improvement of Brownian dynamics.