搜索

x

留言板

姓名
邮箱
手机号码
标题
留言内容
验证码

downloadPDF
引用本文:
Citation:

    成潇潇, 刘建国, 徐亮, 徐寒杨, 金岭, 束胜全, 薛明

    Pollution gas concentration and diffusion model in shale gas flowback fluid

    Cheng Xiao-Xiao, Liu Jian-Guo, Xu Liang, Xu Han-Yang, Jin Ling, Shu Sheng-Quan, Xue Ming
    PDF
    HTML
    导出引用
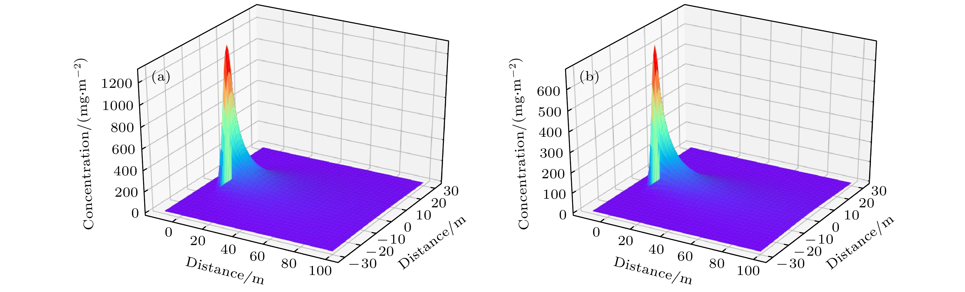
    • 针对页岩气开发过程中污染气体浓度与扩散分布不确定性问题, 利用自主设计并搭建的开放光路傅里叶变换红外光谱(FTIR)测量系统, 对返排液中污染气体进行浓度反演, 并通过返排液流速及污染源大小, 计算出污染源源强. 结合现场环境, 建立参考坐标, 对高斯扩散模型进行数学推导, 构建污染源面源扩散模型并进行仿真分析. 结果表明: 源强、距离、风速、大气稳定度影响气体浓度扩散. 对返排液进行80 h连续测量, 确定主要污染气体浓度及面源源强. 实验结果表明: 返排液排放的主要污染气体为丙烷、戊烷、丙烯、一氧化碳、二氧化硫; 对应的最大浓度分别4.689, 25.494, 30.324, 0.656, 4.620 mg/m 3. 最大面源源强分别为1.9872, 10.9750, 12.8513, 0.2707, 1.9064 g/s. 结合风速及日间环境情况, 选取大气稳定度, 将源强代入面源扩散模型, 进行污染气体扩散浓度构建, 实现对不同污染气体不同位置上浓度分布的实时监测. 相对于传统测量方法, 利用FTIR方法并结合面源扩散模型, 不仅能够实现对污染源的非接触远距离在线测量, 还能对污染气体分布进行安全区域划分.
      Aiming at the uncertainty of the concentration of the pollution gases and the spread of distribution in the process of shale gas development, the open optical path Fourier Transform infrared spectroscopy (FTIR) measurement system designed and built by ourselves is used to invert the concentration of pollution gases in the backflow, and the size of pollution source is calculated by the flow rate of backflow liquid and the size of pollution source. By combining with the field environment and establishing the reference coordinates, the Gaussian diffusion model is derived mathematically, and the non-point source diffusion model of pollution source is constructed and simulated. The result shows that the source intensity, distance, wind speed and atmospheric stability all affect gas concentration diffusion. The concentration of main pollution gas and the strength of non-point source are obtained by continuously measuring the backflow liquid for 80 h. The result shows that C 3H 8, C 5H 12, C 3H 6, CO and SO 2are the main pollution gases of the backflow liquid, and their maximum concentrations are 4.689 mg/m 3, 25.494 mg/m 3, 30.324 mg/m 3, 0.656 mg/m 3and 4.620 mg/m 3, respectively. The maximum strengths of non-point source are 1.9872 g/s, 10.9750 g/s, 12.8513 g/s, 0.2707 g/s and 1.9064 g/s, respectively. By combining the wind speed and daytime environmental conditions, the atmospheric stability is selected and the source strength is substituted into the non-point source diffusion model, the diffusion concentration of polluted gas is obtained, and the real-time monitoring of the concentration distribution of different polluted gases at different locations is realized. The traditional method is used to collect air samples in the field and determine them in the laboratory. It takes a long time and different sampling methods are affected by the preservation time of samples, etc., so there is a great difference between the measured values in the laboratory and the measured values in the field. The country has issued online monitoring standards for volatile organic compounds (VOCs), but most of them are for the determination of non-methane total hydrocarbon, which cannot realize in situ component analysis, and cannot implement the monitoring of VOC concentration distribution within the region. Compared with traditional measurement methods, the method of FTIR and non-point source diffusion model can not only realize the non-contact, long-distance, online measurement of pollution sources, but also set the dynamic factory boundary of the pollution area and determine the safe distribution area.
          通信作者:徐亮,xuliang@aiofm.ac.cn
        • 基金项目:国家自然科学基金专项基金(批准号: 41941011)、中国科学院前沿科学重点研究项目(批准号: QYZDY-SSW-DQC016)、国家重点研发计划(批准号: 2016YFC0201002, 2016YFC0803001-08)、安徽省重点研究和开发计划(批准号: 1804d08020300)和科技部国家油气重大专项项目(批准号: 2016ZX05040-004)资助的课题
          Corresponding author:Xu Liang,xuliang@aiofm.ac.cn
        • Funds:Project supported by the Special Funds of the National Natural Science Foundation of China (Grant No. 41941011), the Key Research Program of Frontier Sciences of Chinese Academy of Sciences (Grant No. QYZDY-SSW-DQC016), the National Key R&D Program of China (Grant Nos. 2016YFC0201002, 2016YFC0803001-08), the Key R&D Plan of Anhui Province, China (Grant No.1804d08020300), and the Major National Oil and Gas Special Project of the Ministry of Science and Technology, China (Grant No. 2016ZX05040-004)
        [1]

        [2]

        [3]

        [4]

        [5]

        [6]

        [7]

        [8]

        [9]

        [10]

        [11]

        [12]

        [13]

        [14]

        [15]

        [16]

        [17]

        [18]

        [19]

        [20]

        [21]

      • 稳定度 ${\gamma _1}$ ${\gamma _2}$ ${a_1}$ ${a_2}$
        A 0.425809 0.0799904 0.901074 1.12154
        B 0.281846 0.127190 0.914370 0.964435
        B-C 0.229500 0.114682 0.919325 0.941015
        C 0.177154 0.106813 0.924279 0.917595
        C-D 0.143940 0.126152 0.926849 0.838628
        D 0.110726 0.104634 0.929418 0.826212
        D-E 0.0985631 0.111771 0.925118 0.776864
        E 0.0864001 0.0927529 0.920818 0.788370
        F 0.0553634 0.0620765 0.929418 0.784400
        下载: 导出CSV

        表面风速/(m·s–1) 白天日照 夜间条件
        适中 很薄云层或
        大于4/8
        低沉云
        < 3/8朦胧
        < 2 A A—B B F F
        2—3 A—B B C E F
        3—4 B B—C C D F
        4—6 C C—D D D D
        > 6 C D D D D
        下载: 导出CSV
      • [1]

        [2]

        [3]

        [4]

        [5]

        [6]

        [7]

        [8]

        [9]

        [10]

        [11]

        [12]

        [13]

        [14]

        [15]

        [16]

        [17]

        [18]

        [19]

        [20]

        [21]

      计量
      • 文章访问数:3961
      • PDF下载量:52
      • 被引次数:0
      出版历程
      • 收稿日期:2021-01-04
      • 修回日期:2021-02-13
      • 上网日期:2021-06-29
      • 刊出日期:2021-07-05

        返回文章
        返回
          Baidu
          map