The electromagnetically induced transparency (EIT), which is a result of destructive interference between different excitation paths in a three-energy-level atomic medium, makes opaque probe light transparent over a range of frequencies. As this EIT effect is usually accompanied with strong dispersion, it has potential applications such as slow light propagation, optical buffering, nonlinear optics, optical sensing, etc. However, for conventional quantum EIT effect which requires stable gas lasers and low temperature environment, the implementation of EIT in chip-scale applications is severely hampered by the scathing experimental requirements. Recently, the EIT-like effect in metamaterials, which are constructed by designing the artificial subwavelength functional elements and arranging the spatial sequences, attracts tremendous attention because of its advantages, such as room temperature manipulability, large bandwidth, and small sizes. In addition, the high-quality factor(
Q) value obtained by EIT-like effect has great significance in designing the metamaterial-based devices. In this paper, we design an EIT-like metamaterial with such a structure. The unit cell of the proposed metamaterial is constructed by two asymmetric silicon blocks embedded on a silicon dioxide substrate. Meanwhile, we analyze its optical properties and EIT-like effects by using three-dimension (3D) FDTD method. Based on the coupled Lorentz model, the EIT-like effect of the designed metamaterial is investigated. Then, by employing the electric field distribution on the surface of the metamaterial, and combining with the three-level atomic system, the mechanism of the EIT-like effect is analyzed in detail. We find that the EIT-like effect in the proposed metamaterial has high
Qvalue (
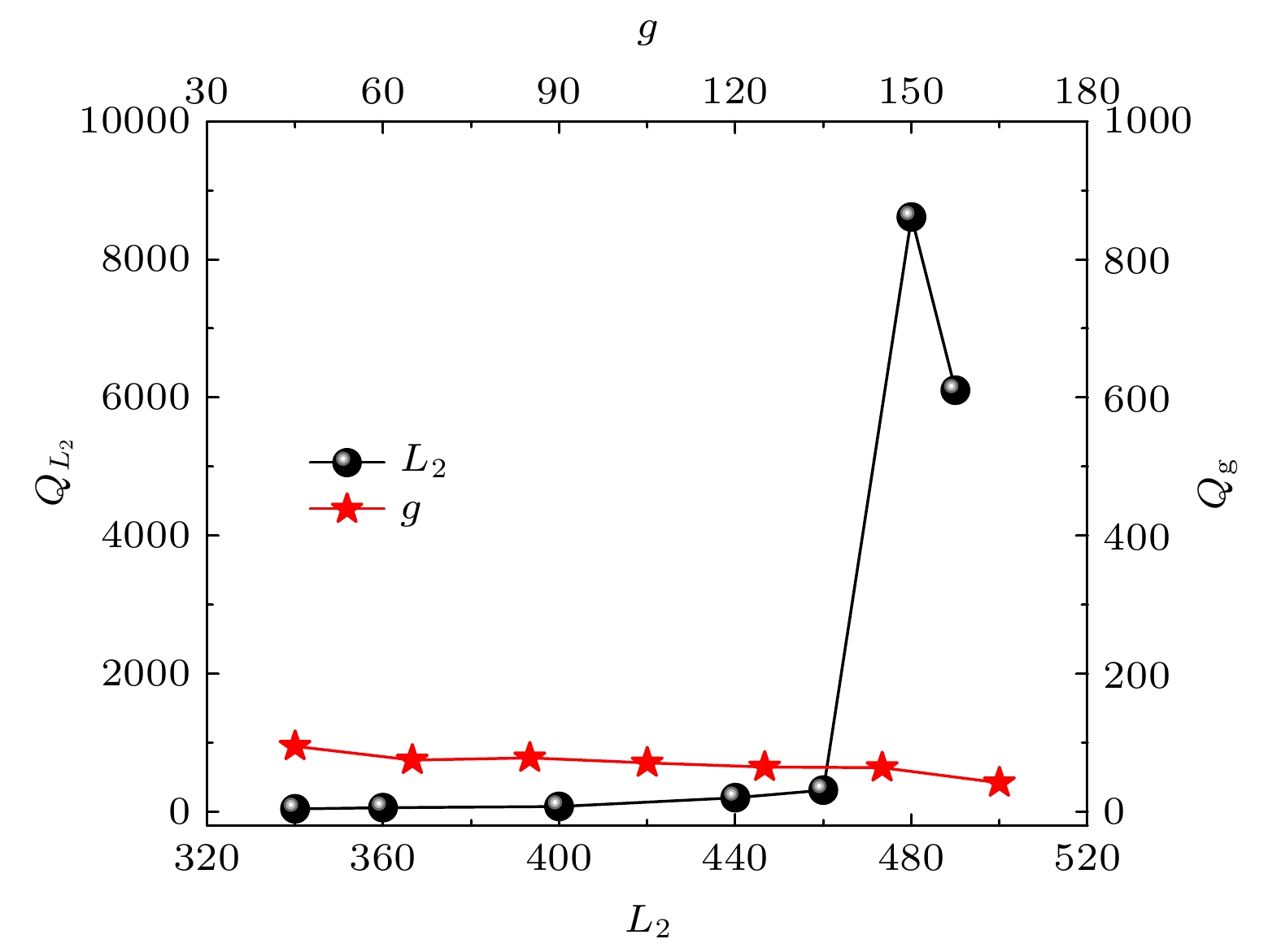
Q≈ 8616) and the high transmission (
T= 96%). By changing the length of the silicon block to destroy the asymmetry of the metamaterial structure, an active tuning EIT-like effect is realized. Furthermore, the metamaterial structure has the advantages of low loss, easy preparation, and active-controllability. This study represents an innovative approach to designing the EIT-like metamaterial, which is expected to be useful for designing active tunable slow-light devices and highly sensitive optical sensors.