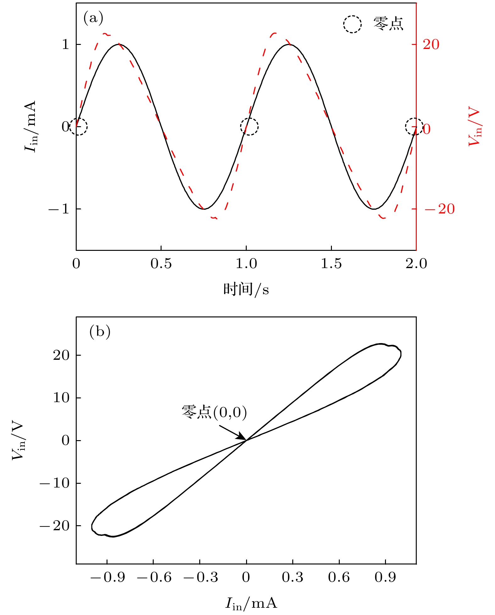
Memristive networks are large-scale non-linear circuits based on memristor cells, playing a crucial role in developing the emerging researches such as next-generation artificial intelligence, bioelectronics, and high-performance memory. The performance of memristive networks is greatly affected by the memristor model describing physical and electrical characteristics of a memristor cell. However, existing models are mainly non-analytic and, accordingly, may have convergence issues in their applications in memristive networks’ analyses. Therefore, aiming at improving convergence of memristive networks, we propose an analytic modeling strategy for memristor based on homotopy analysis method (HAM). In this strategy, the HAM is used to obtain an analytic memristor model through solving the state equations of memristors in original physical model. Specifically, the HAM is used to solve the analytic approximate solution of the core parameter of memristor—state variable, from the state equations, in the form of analytic homotopy series. Then the analytic approximate model of memristor is obtained by using the solved state variables. The characteristics of the proposed strategy are as follows. 1) Its solution has a closed-form expression, i.e. an explicit function, 2) its approximation error is optimized, thereby realizing the convergence optimization. Moreover, according to the characteristics of memristive networks, we introduce an analysis criterion for memristor model applicable to memristive networks. Through the long-time evolution experiments of a memristor cell and a benchmark memristive matrix network with different inputs, and the comparisons with the traditional non-analytic (numeric) method, we verify the analyticity and convergence superiority of the modeling strategy. Besides, based on this strategy and the comparison experiments, we reveal that one of the underlying reasons for non-convergence in the large-scale memristive network simulation possesses the non-analyticity of the used memristor model. The strategy can be further used for analyzing the performances of a memristor cell and memristive networks in long-time. It also has potential applications in emerging technologies.