-
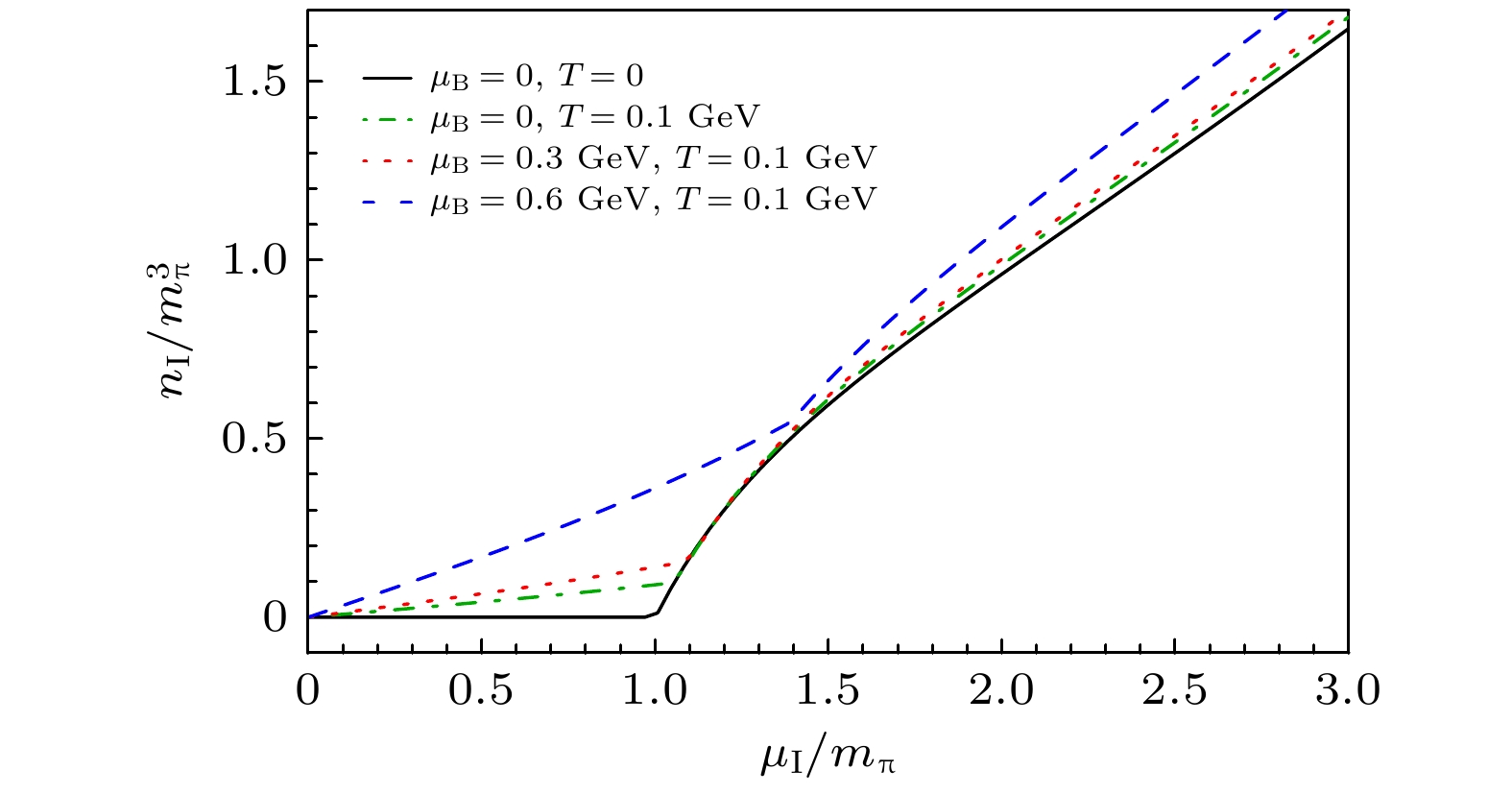
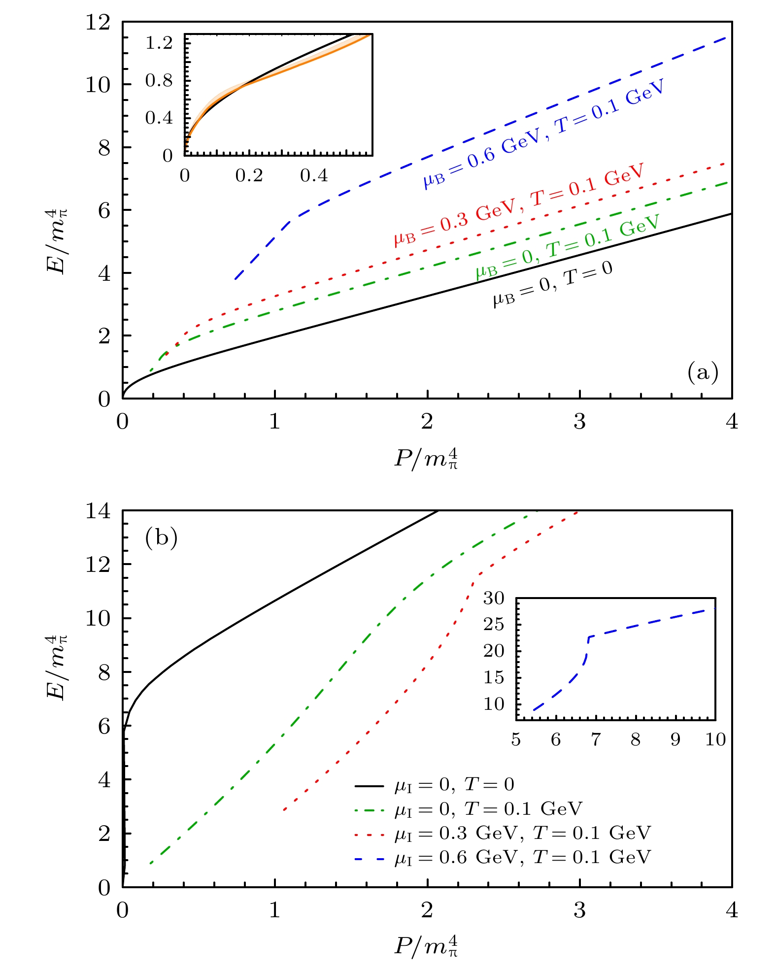
在Nambu−Jona-Lasinio模型框架下, 研究温度和重子化学势对同位旋非对称量子色动力学物质状态方程和热力学性质的影响. 通过将零温和零重子化学势下的pion超流物质状态方程以及有限温下同位旋密度、压强与格点数据做比较, 发现两种方法给出的结果符合得较好. 进一步计算表明, 零温和零重子化学势下的平均同位旋能量随同位旋密度单调增加, 而非零重子化学势和有限温下却呈现具有极小值的非对称抛物线行为. 最后, 利用得到的状态方程探讨声速随同位旋化学势的变化行为, 结果显示有限温和(或)重子化学势下的声速在相变点不连续, 且超流相中的声速饱和值明显大于普通核物质及夸克物质中的值. 另外, 在超流相中重子化学势和温度具有软化状态方程以及降低声速的作用.The effects of temperature and baryon chemical potential on equation of state and thermodynamics of isospin imbalanced QCD matter are investigated in the framework of two-flavor Nambu−Jona-Lasinio model. The equation of state at zero temperature and baryon chemical potential as well as the isospin density and normalized pressure at finite temperature are shown to be consistent with the lattice data. We also find that the energy per isospin increases monotonically with the increase of isospin density at vanishing temperature and baryon chemical potential, while it first decreases and then increases with the augment of isospin density, behaving as a non-symmetric parabolic curve. Finally, we compute the sound velocity and find that it is discontinuous at the phase transition point for finite temperature and/or baryon chemical potential. In particular, the sound velocity in the superfluid phase is distinctly larger than that in the ordinary nuclear matter and quark matter, while the temperature and baryon chemical potential included in the superfluid phase makes the equation of state softer and the sound velocity slower.
-
Keywords:
- isospin chemical potential/
- Bose-Einstein condensation/
- second order phase transition/
- thermodynamics
[1] [2] [3] [4] [5] [6] [7] [8] [9] [10] [11] [12] [13] [14] [15] [16] [17] [18] [19] [20] [21] [22] [23] [24] [25] [26] [27] [28] [29] [30] [31] [32] [33] [34] [35] [36] [37] [38] [39] [40] [41] [42] [43] [44] [45] [46] [47] [48] [49] [50] [51] [52] [53] [54] [55] [56] [57] [58] [59] [60] [61] [62] [63] [64] [65] -
[1] [2] [3] [4] [5] [6] [7] [8] [9] [10] [11] [12] [13] [14] [15] [16] [17] [18] [19] [20] [21] [22] [23] [24] [25] [26] [27] [28] [29] [30] [31] [32] [33] [34] [35] [36] [37] [38] [39] [40] [41] [42] [43] [44] [45] [46] [47] [48] [49] [50] [51] [52] [53] [54] [55] [56] [57] [58] [59] [60] [61] [62] [63] [64] [65]
计量
- 文章访问数:5116
- PDF下载量:113
- 被引次数:0












下载:




