The neural network under the current computer architecture is difficult to process complex data efficiently, thus becoming one of the bottlenecks restricting the development of artificial intelligence technology. The human brain has the characteristics of high efficiency, low power consumption and integration of memory and computing, and is regarded as a most potential computing system to break the traditional von Neumann computing system. Synaptic biomimetic device is to realize the neural mimicry of human brain from the hardware level. It can simulate the information processing mode of brain nerve, that is, the process of “memory” and “calculation” can be realized on the same device, which is of great significance in building a new computing system. In recent years, the fabrication of memristor materials for bio-mimetic synaptic devices has made progress, but most of them focus on the simulation of synaptic function. The key research of pulse signal perception and information transmission is relatively lacking. In this paper, an bi-layer memristor with structure Al/nc-Al AlN/A
2O
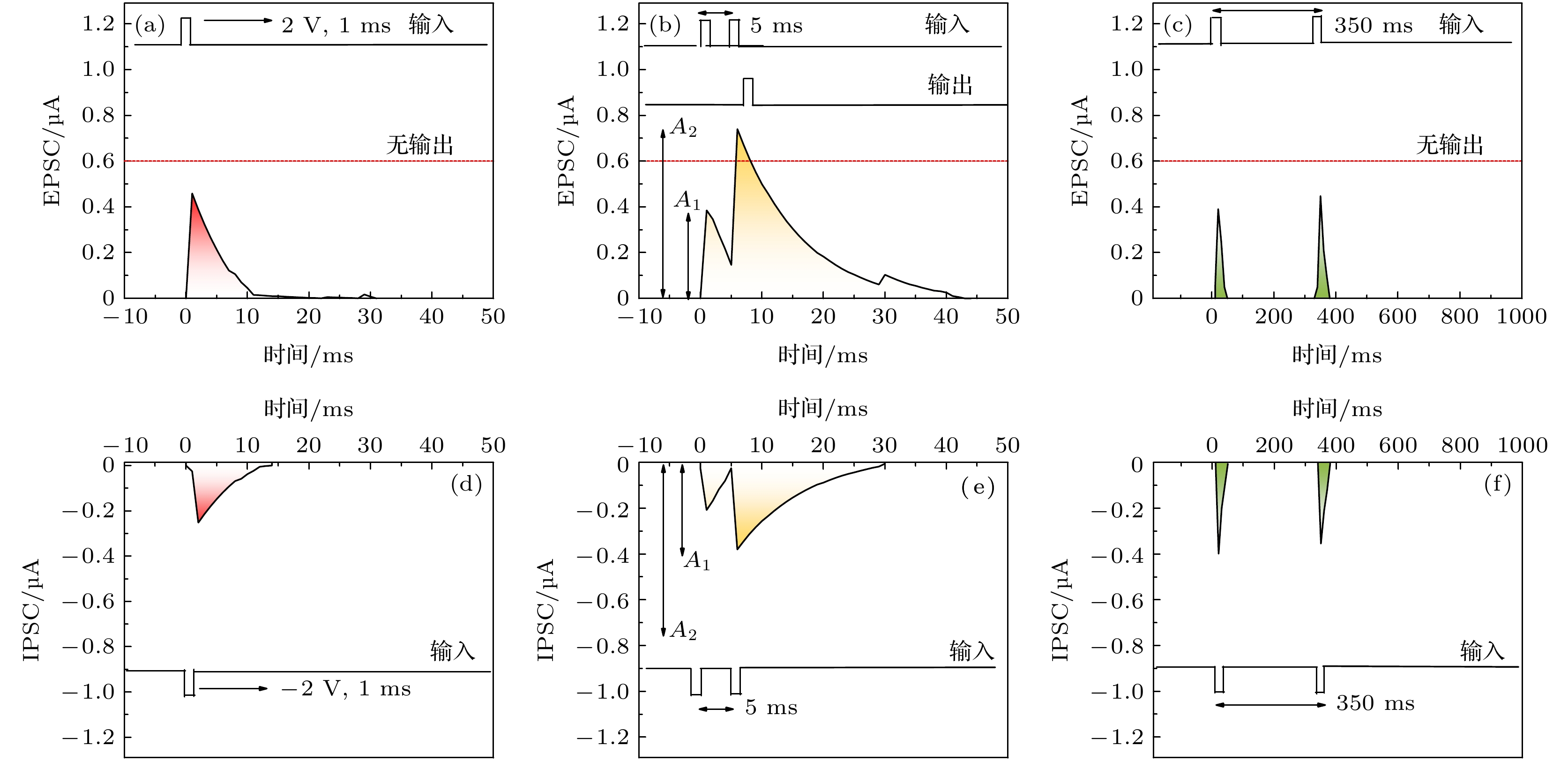
3/Ag is fabricated by rf sputtering method to realize the basic functions of bionic synaptic devices. It is found that this bio-mimetic memristor exhibits bipolar switching property which is the basic condition to produce memristor based neural synapse. Both of PPF and PPD process can be observed and there will be no firing signal observed if the pulse interval is as large as 350 ms. The change of device conductance should be related to pulse voltage, frequency and pulse number applied. The larger pulse voltage, frequency and number will cause device conductance to increase sharply in both positive and negative pulse voltage region. The STDP measurement is executed with different sequence pulses from post and previous neuron separately. If the pulse of previous synapse comes in front of pulse from post synapse, the conductance will increase, which is so-called LTP process. If the pulse of previous neuron comes behind of pulse from post neuron, the conductance will be reduced as well. Triplet STDP measurement is executed with at least three pulses from previous and post neuron at the meanwhile. It is concluded that if the interval time of the first two pulses is fixed, the device conductance more depends on the value of the second and third pulse interval. Ebbinghaus forgetting curve can be used to explain the reason why the device conductance declines with time going by. The stability study of this memristor includes endurance and retention properties at both room and high temperature. It is found this biomimetic memristor can maintain its conductance for over 115.7 days at 85 ℃, which is long enough for current neural network design.