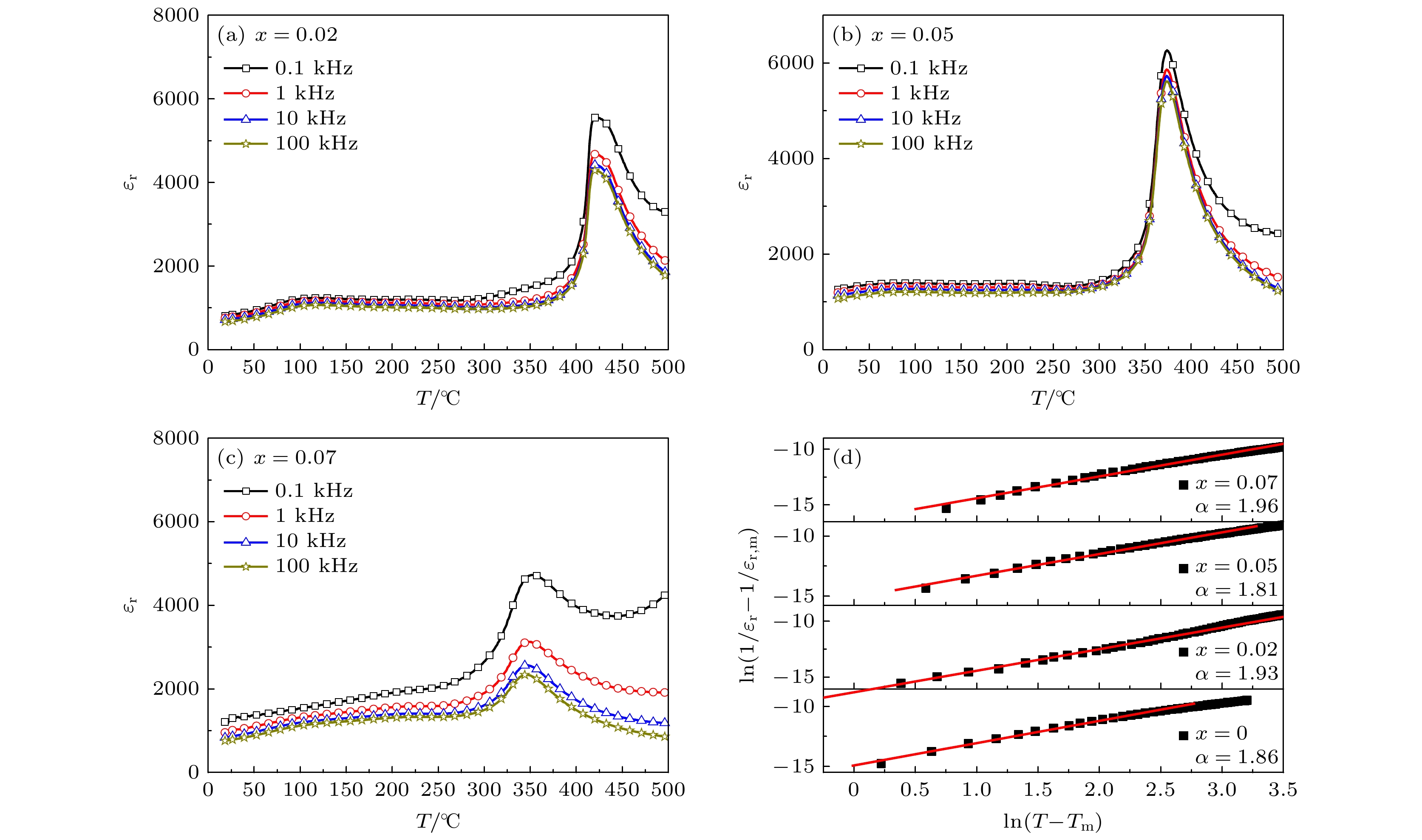
\begin{document}$0.05\leqslant x \leqslant 0.06.$\end{document} x = 0.05时, 陶瓷样品不但具有高居里温度(Tc = 373 ℃), 而且表现出良好电学性能(d33 = 198 pC/N, kp = 39%, εr = 1140, tanδ =0.034, Pr = 21 μC/cm2, Ec = 18.2 kV/cm). 此外, 该陶瓷由于存在弥散R-T相变, 导致其相变温度区间拓宽, 因此, 该陶瓷具有较好的电学性能温度稳定: 在温度范围为–50—150 ℃, NKLN–0.05CZ陶瓷的kp保持在34%—39% (kp变化量 \begin{document}$\leqslant13\%$\end{document})."> - 必威体育下载

搜索

x

留言板

姓名
邮箱
手机号码
标题
留言内容
验证码

downloadPDF
引用本文:
Citation:

    陈小明, 王明焱, 唐木智明, 李国荣

    Temperature-stable electrical properties of CaZrO3-modified (Na, K)NbO3-based lead-free piezoceramics

    Chen Xiao-Ming, Wang Ming-Yan, Karaki Tomoaki, Li Guo-Rong
    PDF
    HTML
    导出引用
    计量
    • 文章访问数:4168
    • PDF下载量:76
    • 被引次数:0
    出版历程
    • 收稿日期:2021-03-08
    • 修回日期:2021-06-02
    • 上网日期:2021-06-07
    • 刊出日期:2021-10-05

      返回文章
      返回
        Baidu
        map