-
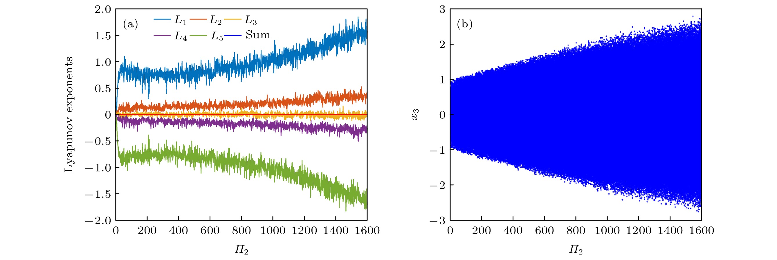
保守系统因为没有吸引子, 与常见的耗散系统相比, 它的遍历性更好, 伪随机性更强, 安全性更高, 更适合应用于混沌保密通信等领域. 基于此, 设计了一个新的具有宽参数范围的五维保守超混沌系统. 首先, 进行 Hamilton 能量和 Casimir 能量分析, 证明了新系统满足 Hamilton 能量保守且能够产生混沌. 然后进行动力学分析, 包括保守性证明、平衡点分析、Lyapunov 指数谱和分岔图分析, 证明了新系统具有保守系统的特点, 且能够在宽参数范围内一直保持超混沌状态, 同时对比宽参数范围内系统的相图和 Poincaré 截面图, 结果表明随着参数增大, 系统的随机性和遍历性得到增强. 接着, 对新系统进行 NIST 测试, 结果显示该系统在宽参数范围内产生的混沌随机序列具有很强的伪随机性. 最后对保守超混沌系统进行电路仿真和硬件电路实验, 实验结果证实了新系统具有良好的遍历性和可实现性.Conservative systems have no attractors. Therefore, compared with common dissipative systems, conservative systems have good ergodicity, strong pseudo-randomness and high security performance, thereby making them more suitable for applications in chaotic secure communication and other fields. Owing to these features, a new five-dimensional conservative hyperchaotic system with a wide parameter range is designed. Firstly, the Hamiltonian energy and Casimir energy are analyzed, showing that the new system satisfies the Hamiltonian energy conservation and can generate chaos. Next, the dynamic analysis is carried out, including conservativeness proof, equilibrium point analysis, Lyapunov exponential spectrum, and bifurcation diagrams analysis, thereby proving that the new system has the characteristics of conservative system and can always maintain a hyperchaotic state in a wide parameter range. At the same time, the phase diagram and Poincaré section diagram of the new system in a wide parameter range are compared. The results show that the randomness and ergodicity of the system are enhanced with the increase of parameters. Then, the NIST test shows that the chaotic random sequences generated by the new system in a wide parameter range have strong pseudo-randomness. Finally, the circuit simulation and hardware circuit experiment of the conservative hyperchaotic system are carried out, which proves that the new system has good ergodicity and realizability.
[1] [2] [3] [4] [5] [6] [7] [8] [9] [10] [11] [12] [13] [14] [15] [16] [17] [18] [19] [20] [21] [22] [23] [24] [25] [26] [27] [28] [29] [30] [31] [32] -
系统 平衡点($ {k_1}, {k_4} \in \mathbb{R} $) 特征值($ \sigma , \omega \in {\mathbb{R}^ + } $) 平衡点类型 $\varSigma _1^{\rm{H} }$ $ (0, 0, 0, 0, 0) $ $ (0, {\rm{j}}{\omega _1}, - {\rm{j}}{\omega _1}, {\rm{j}}{\omega _2}, - {\rm{j}}{\omega _2}) $ 中心点 $ (0, {\sigma _1}, - {\sigma _2}, {\sigma _3} + {\rm{j}}\omega , {\sigma _3} - {\rm{j}}\omega ) $ 鞍焦点 $ ({k_1}, 0, 0, 0, 0) $ $ (0, {\sigma _1}, - {\sigma _2}, - {\sigma _3} + {\rm{j}}\omega , - {\sigma _3} - {\rm{j}}\omega ) $ 鞍焦点 $ (0, \sigma + {\rm{j}}{\omega _1}, \sigma - {\rm{j}}{\omega _1}, - \sigma + {\rm{j}}{\omega _2}, - \sigma - {\rm{j}}{\omega _2}) $ 鞍焦点 $ (0, {\sigma _1}, {\sigma _2}, - {\sigma _3}, - {\sigma _4}) $ 鞍焦点 $ (\sqrt 2 , 0, \sqrt 2 {k_4}, {k_4}, 0) $ $ (0, 0, - {\sigma _1}, {\sigma _2} + {\rm{j}}\omega , {\sigma _2} - {\rm{j}}\omega ) $ 鞍焦点 $ (0, \sigma + {\rm{j}}{\omega _1}, \sigma - {\rm{j}}{\omega _1}, - \sigma + {\rm{j}}{\omega _2}, - \sigma - {\rm{j}}{\omega _2}) $ 鞍焦点 $ (0, {\sigma _1}, {\sigma _2}, - {\sigma _3}, - {\sigma _4}) $ 鞍焦点 $ ( - \sqrt 2 , 0, - \sqrt 2 {k_4}, {k_4}, 0) $ $ (0, 0, {\sigma _1}, - {\sigma _2} + {\rm{j}}\omega , - {\sigma _2} - {\rm{j}}\omega ) $ 鞍焦点 $ (0, \sigma + {\rm{j}}{\omega _1}, \sigma - {\rm{j}}{\omega _1}, - \sigma + {\rm{j}}{\omega _2}, - \sigma - {\rm{j}}{\omega _2}) $ 鞍焦点 No. Statistical test P-value Proportion 1 Frequency 0.759756 0.99 2 Block frequency 0.494392 1.00 3 Cumulative sums 0.595549 1.00 4 Runs 0.867692 0.99 5 Longest run 0.102526 0.98 6 Rank 0.115387 1.00 7 FFT 0.455937 1.00 8 Nonoverlapping template 0.015598 0.98 9 Overlapping template 0.699313 0.99 10 Universal 0.678686 0.98 11 Approximate entropy 0.574903 1.00 12 Random excursions 0.186566 0.9836 13 Random excursions variant 0.023812 1.00 14 Serial 0.514124 0.99 15 Linear complexity 0.350485 0.99 -
[1] [2] [3] [4] [5] [6] [7] [8] [9] [10] [11] [12] [13] [14] [15] [16] [17] [18] [19] [20] [21] [22] [23] [24] [25] [26] [27] [28] [29] [30] [31] [32]
计量
- 文章访问数:4217
- PDF下载量:144
- 被引次数:0












下载:






