The mCBP and CBP are two kinds of isomers containing carbazole groups and often used as the device hosts for fluorescence and phosphorescence emission. However, there are little studies on the microscopic mechanisms of exciplex-type devices based on mCBP or CBP. In this paper, the isomers of mCBP and CBP are used as donors and the PO-T2T is selected as an acceptor. The two kinds of exciplex-based devices are fabricated according to a mass ratio of 1∶1, which are respectively referred to as device 1 (Dev. 1) and device 2 (Dev. 2). Their magneto-electroluminescence (MEL) curves are measured at different working temperatures and various injection currents. It is found that the low field effects of the MEL curves from Dev. 1 are dominated by the
B-mediated reverse intersystem crossing (RISC) process at room temperature, and as the operational temperature decreases, the MEL line-shapes change gradually from RISC to the intersystem crossing (ISC) process. Conversely, the low field effects of the MEL curves of Dev. 2 are governed by the
B-mediated ISC process at room temperature, and the ISC process first weakens then strengthens with temperature decreasing. The high field effects of the MEL curves of Dev. 1 and Dev. 2 are both dominated by the
B-mediated triplet-charge annihilation (TQA) process at room temperature, but those of Dev. 2 at 20 K present the
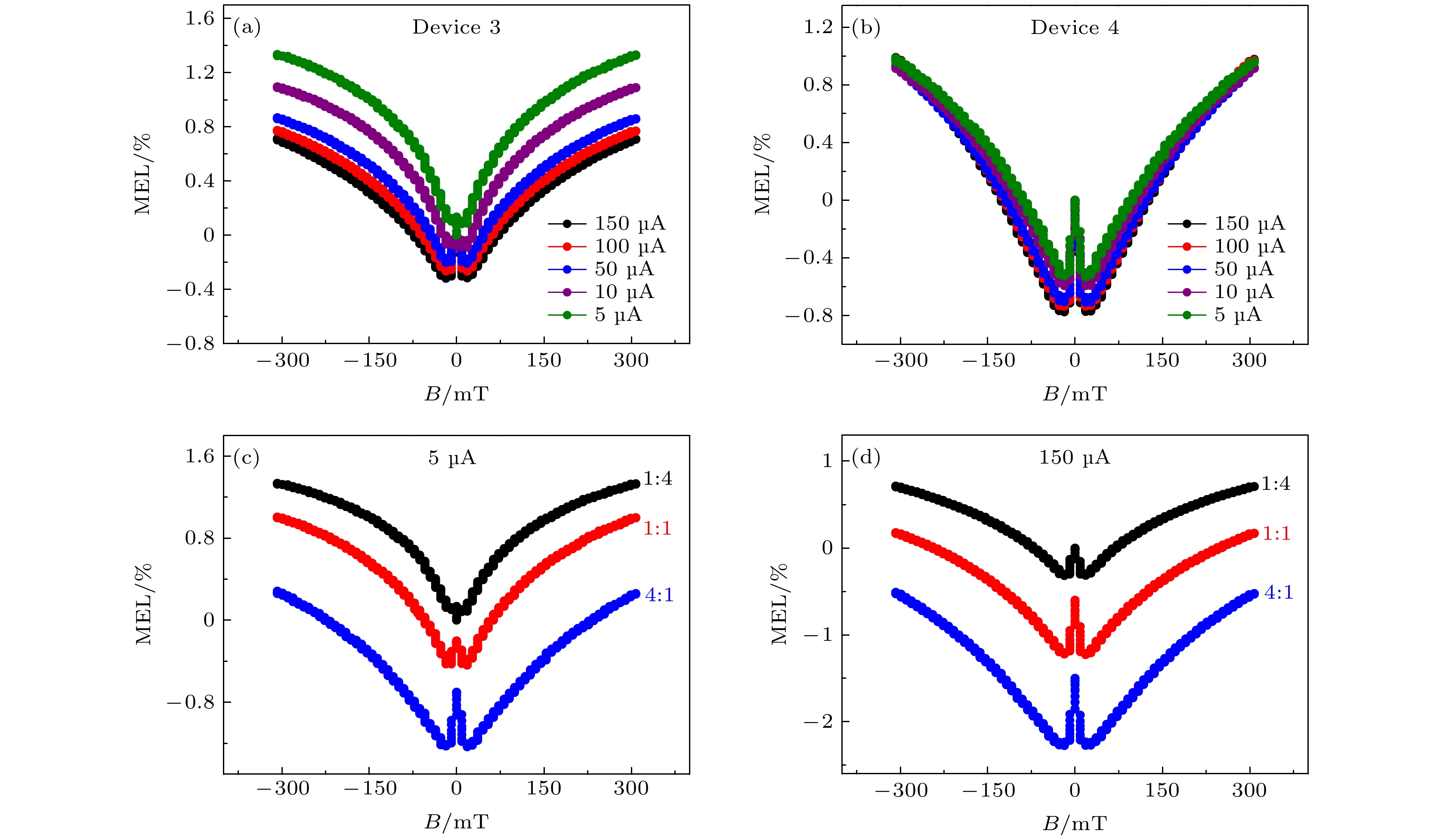
B-mediated triplet-triplet annihilation (TTA) process. The completely opposite low-field line-shapes of MEL traces from Dev. 1 and Dev. 2 can be attributed to their different structures of mCBP and CBP, which lead to the higher and lower triplet state exciton energy, respectively. The higher triplet exciton energy of the mCBP donor causes the triplet exciplex energy to be confined effectively, which promotes the RISC process (EX
1← EX
3) in Dev.1. Contrarily, the lower triplet exciton energy of the CBP donor causes the triplet exciplex to experience an energy loss process (EX
3→ T
1, CBP) , resulting in the suppressed RISC process in Dev. 2. Consequently, the overlapped effects of the ISC process of polaron pairs and the RISC process of exciplex in Dev. 2 under the action of external magnetic field display the ISC-determined process at room temperature. Moreover, the temperature-dependent change in the microscopic process of Dev. 1 such as the conversion from RISC to ISC is because decreasing temperature is not conducive to the occurrence of the RISC process of exciplex states due to its endothermic property. The low-temperature TTA process occurring in Dev. 2 is due to the suppressed energy loss process of triplet exciplex via the Dexter energy transfer from the triplet exciplex to the triplet exciton of CBP donor. In addition, when the mass ratio of mCBP donor to PO-T2T acceptor varies from 1∶4 to 1∶1 to 4∶1, the RISC process of MEL curves of devices turns stronger and stronger, which is because the devices tend more to balance, favoring the RISC process. A higher external quantum efficiency is obtained in the mCBP:PO-T2T host than in the CBP:PO-T2T host when fluorescent guest material of TBRb is used as a dopant in these two exciplex-based devices, which verifies the importance of the effective confinement of triplet exciplex energy in improving the luminescence efficiency. Note that via the MEL detection technology, the current- and temperature-dependent microscopic processes and their reasonable interpretations and device performances from exciplex-based devices with the isomers of mCBP and CBP as donors have not been reported in the literature. This work provides experimental and theoretical references for fabricating the high-efficiency exciplex-based organic light-emitting devices.