-
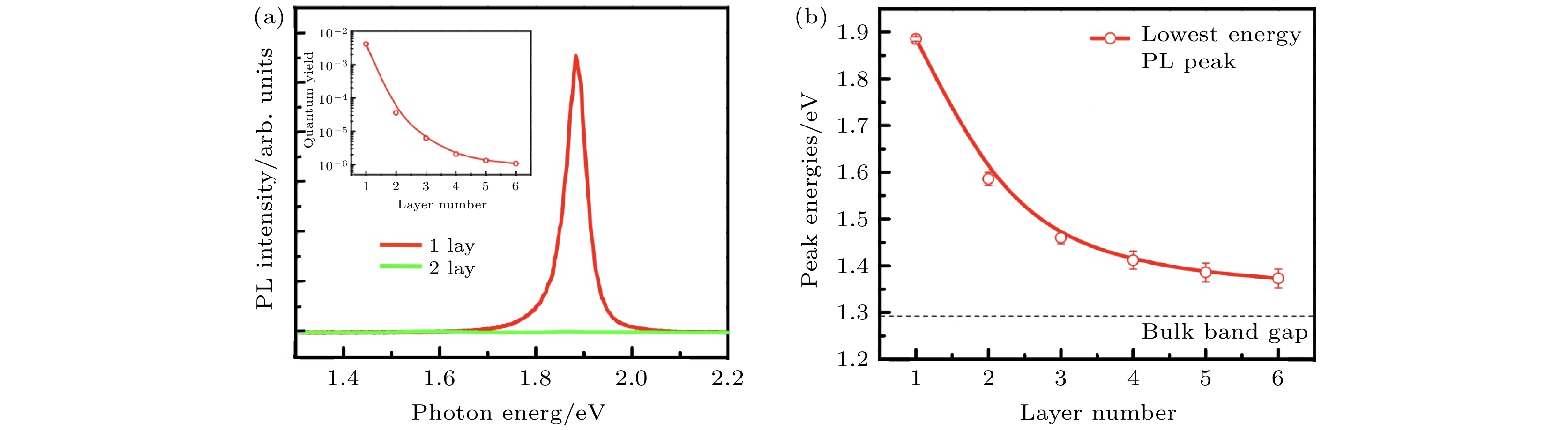
二维过渡金属硫族化合物作为二维半导体材料领域研究的重要分支, 凭借较强的光-物质相互作用和独特的自旋-谷锁定等特性, 吸引了广泛而持久的关注. 单层的二维过渡金属硫族化合物半导体具有直接带隙, 在二维的极限下, 由于介电屏蔽效应的减弱, 电荷间的库仑相互作用得到了显著的增强, 其光学性质主要由紧密束缚的电子-空穴对—激子主导. 本文简单回顾了近年来二维过渡金属硫族化合物光谱学的研究历程, 阐述了栅压和介电环境对激子的调制作用, 之后重点介绍了一种新颖的激子探测方法. 由于激发态激子(里德伯态)的玻尔半径远大于单原子层本身的厚度, 电子-空穴对之间的电场线得以延伸到自身之外的其他材料中. 这使得二维半导体材料的激子可以作为一种高效的量子探测器, 感知周围材料中与介电函数相关的物理性质的变化. 本文列举了单层WSe 2激子在探测石墨烯-氮化硼莫尔(moiré)超晶格势场引发的石墨烯二阶狄拉克点, 以及WS 2/WSe 2莫尔超晶格中分数填充的关联绝缘态中的应用. 最后, 本文展望了这种无损便捷、高空间分辨率、宽适用范围的激子探测方法在其他领域的潜在应用场景.Atomically thin transition metal dichalcogenides (TMDCs) like MX 2(M = W or Mo, X = S or Se) are well-known examples of two-dimensional (2D) semiconductors. They have attracted wide and long-lasting attention due to the strong light-matter interaction and unique spin-valley locking characteristics. In the 2D limit, the reduced dielectric screening significantly enhances the Coulomb interaction. The optical properties of monolayer TMDCs are thus dominated by excitons, the tightly bound electron-hole pairs. In this work, we briefly overview the history and recent research progress of optical spectroscopy studies on TMDCs. We first introduce the layer-dependent band structure and the corresponding modifications on optical transitions, and briefly mention the effects of external magnetic fields and the charge doping on excitons. We then introduce a novel sensing technique enabled by the sensitivity of excitons to the dielectric environment. The exciton excited states (Rydberg states) observed in monolayer TMDCs have large Bohr radii (> few nm), where the electric field lines between electron-hole pairs well extends out of the material. Hence the Coulomb interaction (which affects the quasiparticle band gap and exciton binding energies) in the monolayer TMDC is sensitive to the dielectric environment, making the excitons in 2D semiconductor an efficient quantum sensor in probing dielectric properties of the surroundings. The method is of high spatial resolution and only diffraction limited. We enumerate the applications of monolayer WSe 2dielectric sensor in detecting the secondary Dirac point of graphene induced by the graphene-hBN superlattice potential, as well as the fractional correlated insulating states emerging in WS 2/WSe 2moiré superlattices. Meanwhile, a unified framework for describing the many-body interactions and dynamical screenings in the system is still lacking. Future theoretical and experimental efforts are needed for a complete understanding. Finally, we further discuss the perspectives and potential applications of this non-destructive and efficient dielectric sensing method.
-
Keywords:
- transition metal dichalcogenides/
- exciton/
- dielectric screening/
- exciton dielectric sensing
[1] [2] [3] [4] [5] [6] [7] [8] [9] [10] [11] [12] [13] [14] [15] [16] [17] [18] [19] [20] [21] [22] [23] [24] [25] [26] [27] [28] [29] [30] [31] [32] [33] [34] [35] [36] [37] [38] [39] [40] [41] [42] [43] [44] [45] [46] [47] [48] [49] [50] [51] [52] [53] [54] [55] [56] [57] [58] [59] [60] [61] [62] [63] [64] [65] [66] [67] [68] [69] -
[1] [2] [3] [4] [5] [6] [7] [8] [9] [10] [11] [12] [13] [14] [15] [16] [17] [18] [19] [20] [21] [22] [23] [24] [25] [26] [27] [28] [29] [30] [31] [32] [33] [34] [35] [36] [37] [38] [39] [40] [41] [42] [43] [44] [45] [46] [47] [48] [49] [50] [51] [52] [53] [54] [55] [56] [57] [58] [59] [60] [61] [62] [63] [64] [65] [66] [67] [68] [69]
计量
- 文章访问数:10418
- PDF下载量:707
- 被引次数:0












下载:







