-
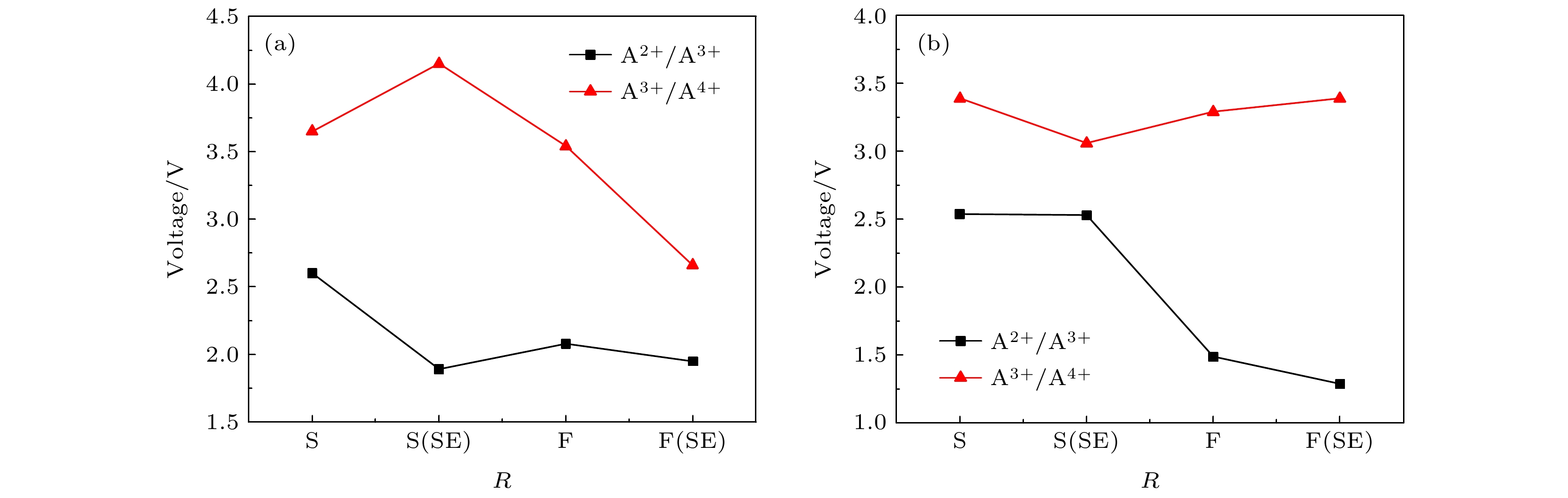
基于密度泛函理论的第一性原理平面波赝势法, 结合广义梯度近似(GGA + U), 系统研究了Ge-S/F共掺杂对Li 2 MSiO 4( M= Mn, Fe)晶体结构稳定性和电化学性能的影响. 计算结果表明Ge-S/F共掺杂Li 2 MSiO 4( M= Mn, Fe) 体系在脱锂过程中均会发生Li和 M的位置交换, 与Li 2 MSiO 4( M= Mn, Fe) 相比, 掺杂体系具有更好的韧性, 且锂离子在掺杂体系中更容易迁移. 同时发生了位置交换的掺杂体系结构在脱锂过程中大多更为稳定, 尤其是Li 2Mn 0.5Ge 0.5SiO 3.5S 0.5在整个脱锂过程中体积变化均很小, 说明其具有良好的结构循环稳定性. 此外, Ge-S/F共掺杂均降低了Li 2 MSiO 4( M= Mn, Fe) 的理论平均脱嵌电压. 结合态密度图和磁矩结果分析表明, Ge-S/F共掺杂可以提高Li 2MnSiO 4的导电性和延缓Li 2MnSiO 4体系中Jahn-Teller效应的出现, 有利于提高Li 2MnSiO 4的结构循环稳定性. 同时, 共掺杂不仅提高了Li 2FeSiO 4的导电性, 也有利于Li 2FeSiO 4体系脱出更多的Li +, 特别是Ge-F共掺杂体系有望实现完全脱锂.
-
关键词:
- 第一性原理计算/
- Li2MSiO4(M= Mn, Fe)/
- 位置交换/
- 电化学性能
The effects of Ge-S/F co-doping on the structural stability and electrochemical properties of Li 2 MSiO 4( M= Mn, Fe) crystal are systematically studied by the first-principle calculations based on density functional theory combined with the generalized gradient approximation (GGA) + Umethod. The calculation results show that the Ge-S/F co-doping Li 2 MSiO 4( M= Mn, Fe) system undergoes the site exchange between Li and M in the delithiation process. Compared with Li 2 MSiO 4( M= Mn, Fe), the doped system has good toughness, and lithium ions migrate easily in the doped system. And the doped system with site exchange is more stable in the process of delithium, especially the volume change of Li 2Mn 0.5Ge 0.5SiO 3.5S 0.5is very small, indicating that it has good structural cyclic stability. Moreover, the theoretical average deintercalation voltages of Li 2 MSiO 4( M= Mn, Fe) are reduced by Ge-S/F co-doping. The combination of the density of states with magnetic moment shows that the Ge-S/F co-doping can improve the conductivity of Li 2MnSiO 4and delay the appearance of the Jahn-Teller effect in the Li 2MnSiO 4system, which is beneficial to the improvement of the structural cycling stability of Li 2MnSiO 4. Meanwhile, the Ge-S/F co-doping can not only improve the conductivity of Li 2FeSiO 4, but also facilitate the removal of more Li +from Li 2FeSiO 4system, especially the complete delithium of Ge-F co-doping system is expected to be achieved.-
Keywords:
- first-principles calculation/
- Li2MSiO4(M= Mn, Fe)/
- site exchange/
- electrochemical properties
[1] [2] [3] [4] [5] [6] [7] [8] [9] [10] [11] [12] [13] [14] [15] [16] [17] [18] [19] [20] [21] [22] [23] [24] [25] [26] [27] [28] [29] [30] [31] [32] [33] [34] [35] [36] [37] [38] -
Mn-S Mn-F Fe-S Fe-F 特征值 12.00 23.56 16.17 13.52 19.08 28.85 20.12 22.87 29.87 37.69 20.76 36.42 37.22 53.05 39.82 53.41 62.41 73.17 53.52 68.55 207.87 209.12 222.90 225.26 ΔEf/eV –17.39 –17.88 –17.02 –17.30 B/GPa G/GPa B/G ν E/ GPa θD/K Li2Mn0.5Ge0.5SiO3.5S0.5 56.06 21.52 2.60 0.33 57.24 387 Li2Mn0.5Ge0.5SiO3.5F0.5 67.03 30.37 2.21 0.30 79.15 462 Li2Fe0.5Ge0.5SiO3.5S0.5 63.91 21.15 3.02 0.35 57.15 383 Li2Fe0.5Ge0.5SiO3.5F0.5 68.85 25.65 2.68 0.33 68.45 426 M—O M—R Ge—O Ge—R Si1—O Si1—R Si2—O Si2—R Mn—S (x= 2) 2.220 2.473 2.216 — 1.638 2.156 1.667 — Mn—S (x= 1∶SE) 2.092 — 1.810 2.196 1.633 2.178 1.657 — Mn—S (x= 0∶SE) 1.826 — 1.794 2.200 1.644 2.131 1.639 — Mn—F (x= 2) 2.108 — 2.163 2.892 1.656 — 1.644 1.725 Mn—F (x= 1∶SE) 2.010 — 1.863 — 1.656 — 1.624 1.658 Mn—F (x= 0∶SE) 1.938 — 1.817 — 1.628 — 1.708 1.666 Fe—S (x= 2) 2.146 2.450 2.214 — 1.666 — 1.642 2.137 Fe—S (x= 1∶SE) 1.982 2.350 1.804 — 1.654 — 1.703 2.057 Fe—S (x= 0∶SE) 1.852 — 1.784 2.239 1.639 — 1.626 2.179 Fe—F (x= 2) 2.058 — 2.180 2.396 1.658 — 1.647 2.646 Fe—F (x= 1∶SE) 1.900 — 1.975 2.793 1.651 — 1.626 1.661 Fe—F (x= 0∶SE) 1.863 — 1.755 1.983 1.644 — 1.612 1.817 M Ge Si1 Si2 Mn—S (x= 2) 1.42 1.23 3.81 3.56 Mn—S (x= 1∶SE) 1.77 3.60 3.81 3.68 Mn—S (x= 0∶SE) 3.35 3.70 3.83 3.85 Mn—F (x= 2) 1.70 1.01 3.67 3.52 Mn—F (x= 1∶SE) 2.28 2.20 3.70 3.82 Mn—F (x= 0∶SE) 2.50 3.35 3.96 3.21 Fe—S (x= 2) 1.44 1.18 3.57 3.83 Fe—S (x= 1∶SE) 2.14 3.45 3.72 3.67 Fe—S (x= 0∶SE) 3.12 3.66 3.85 3.85 Fe—F (x= 2) 1.68 1.08 3.65 2.88 Fe—F (x= 1∶SE) 2.74 1.67 3.72 3.78 Fe—F (x= 0∶SE) 3.02 3.37 3.82 3.65 结构 磁矩M(初始)/
M(位置交换)氧化态M(初始)/
M(位置交换)Mn—S (x= 2) 4.64/4.64 +2(3d5)/+2(3d5) Mn—S (x= 1) 4.61/4.65 +2(3d5)/+2(3d5) Mn—S (x= 0) 3.78/3.41 +(3 +δ)(3d(4–δ))/
+(3 +φ)(3d(4–φ))Mn—F (x= 2) 4.65/4.65 +2(3d5)/+2(3d5) Mn—F (x= 1) 4.64/4.17 +2(3d5)/
+(2 + α)(3d(5–α))Mn—F (x= 0) 3.87/3.98 +3(3d4)/+3(3d4) Fe—S (x= 2) 3.73/3.73 +2(3d6)/+2(3d6) Fe—S (x= 1) 3.71/3.68 +2(3d6)/+2(3d6) Fe—S (x= 0) 4.02/4.14 +(3 +τ)(3d(5–τ))/
+(3 +ψ)(3d(5–ψ))Fe—F (x= 2) 3.73/3.73 +2(3d6)/+2(3d6) Fe—F (x= 1) 4.23/4.23 +3(3d5)/+3(3d5) Fe—F (x= 0) 4.25/4.26 +3(3d5)/+3(3d5) -
[1] [2] [3] [4] [5] [6] [7] [8] [9] [10] [11] [12] [13] [14] [15] [16] [17] [18] [19] [20] [21] [22] [23] [24] [25] [26] [27] [28] [29] [30] [31] [32] [33] [34] [35] [36] [37] [38]
计量
- 文章访问数:3437
- PDF下载量:51
- 被引次数:0












下载:






