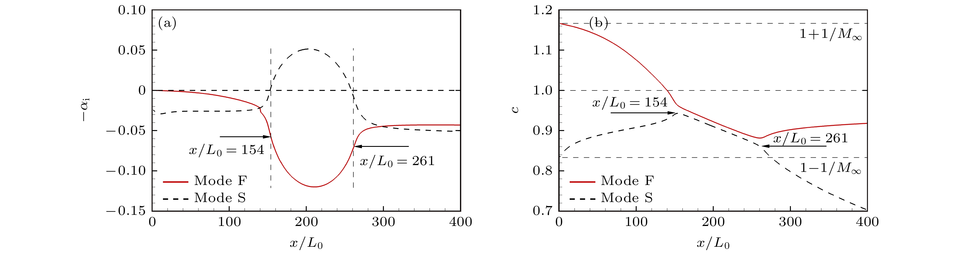
Aiming at delaying boundary-layer transition of hypersonic vehicles, the second-mode wave in the boundary layer of a Mach 6 flat plate is studied. Linear stability theory (LST) and direct numerical simulations (DNS) are used to investigate the discrete modes and the relation between the suppressing effect of second-mode wave and the location of transverse rectangular micro-groove (0.4 mm in width), respectively. The LST results show that vortex/entropy waves cause the branch types of Mack’s second mode and “mode I” modes (usually derived from fast acoustic waves) to change. The DNS results show that the influence of the grooved surface on the base flow depends on the streamwise location (or boundary-layer thickness). As the grooved surface shifts backward (or thickness increases), the influence of intensity on the base flow decreases, and the friction resistance coefficient
$ C{d_{\text{f}}} $
, differential pressure resistance coefficient
$ C{d_{\text{p}}} $
and total resistance coefficient
$ C{d_x} $
of the grooved surface also decrease. It is found that the grooves located in front of the synchronization region of the fast mode and slow mode still have an inhibitory effect on the second-mode wave, which is different from the effect of small-sized (micrometer scale) micro-pores reported in the literature. It is also found that the suppression effect on the second-mode wave is best when the grooves are arranged in the vicinity of the maximum growth-rate point or at the location of the synchronization interval of the fast mode and slow mode.