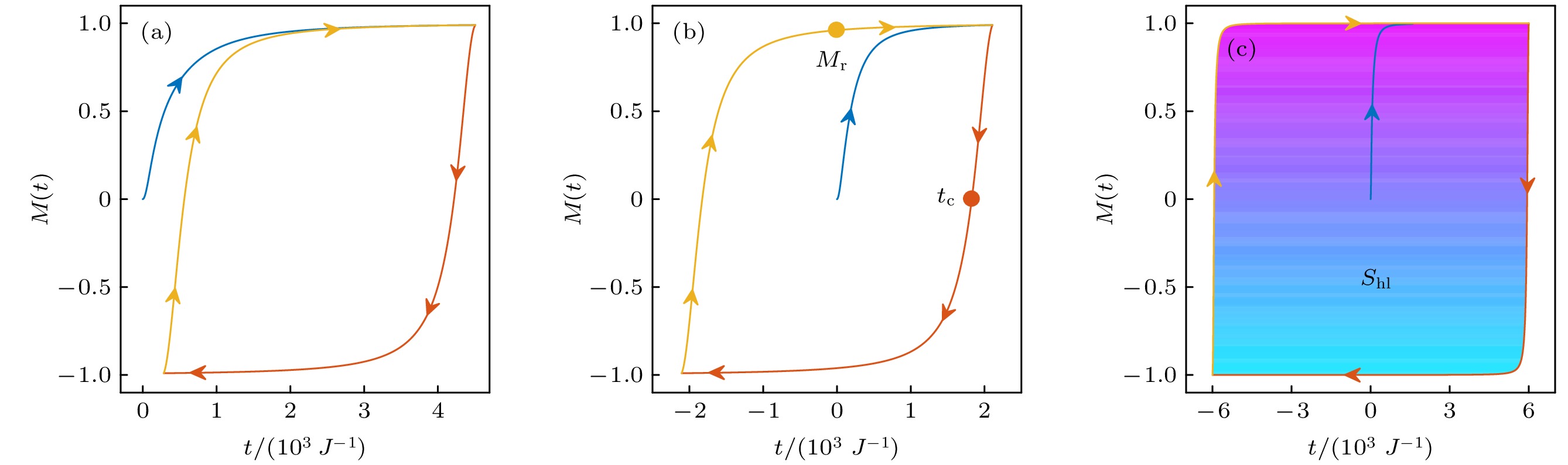
In recent years, two independent research fields, i.e. non-Hermitian andstrongly correlated systems have been merged, forming an important researchfield in physics. The progress of relevant theories and experiments hasreshaped our understanding of matter. In this field, the research object isnot limited to the influence of non-Hermiticity on the energy spectrum andthe eigenstate properties of many-body systems. Researchers have paid more attentionto the manipulation of quantum states. It is universally received that the exceptional point is the most significant featurethat distinguishes non-Hermitian quantum mechanics from Hermitian quantum mechanics. In addition to the recent advances in non-Hermitian topological band theory and quantum sensing around the exceptional points, this paper concentrates on the non-Hermitian critical dynamical phenomenon and its application to the quantum many-body system. When the system has an exceptional point, an arbitrary initial state belonging to the coalescent subspace will be projected on the coalescent state. Based on the directionality of the evolved quantum state, this paper reviews our several representative researches in recent years, including local-field-induced dynamical magnetization, quantum phase transition in transverse field, Ising model at non-zero temperature, quantum mold casting in the center-environment system, as well as superconducting state preparation in the non-Hermitian strongly correlated system. We also focus on the new preparation methods and detection schemes of non-equilibrium quantum states related to exception points.