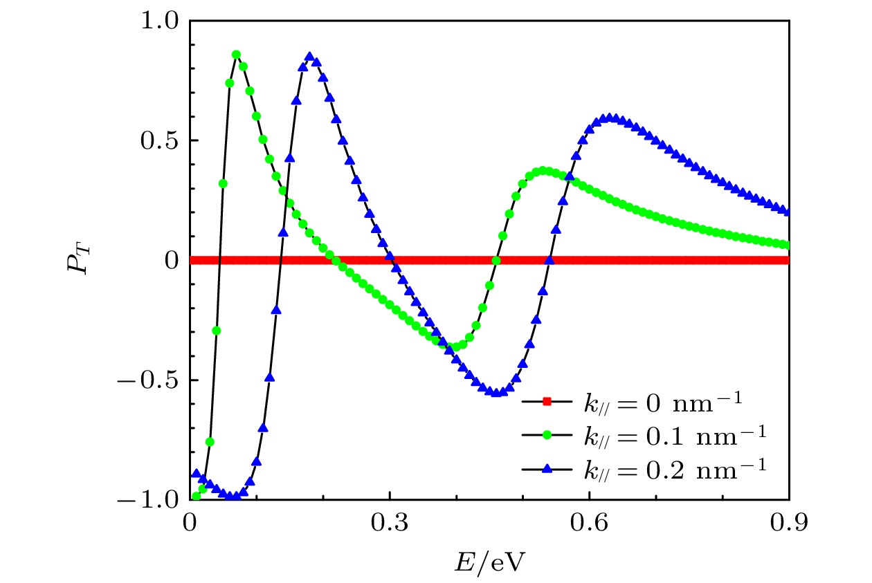
Nanothick semiconductors can grow orderly along a desired direction with the help of modern materials growth technology such as molecular beam epitaxy, which allows researchers to fabricate the so-called layered semiconductor nanostructure (LSN) experimentally. Owing to the structure inversion symmetry broken by the layered form in the LSN, the electron spins interact tightly with its momentums, in the literature referred to as the spin-orbit coupling (SOC) effect, which can be modulated well by the interfacial confining electric field or the stain engineering. These significant SOC effects can effectively eliminate the spin degeneracy of the electrons in semiconductor materials, induce the spin splitting phenomenon at the zero magnetic field and generate the electron-spin polarization in the semiconductors. In recent years, the spin-polarized transport for electrons in the LSN has attracted a lot of research interests, which is because of itself scientific importance and potential serving as spin polarized sources in the research field of semiconductor spintronics. Adopting the theoretical analysis combined with the numerical calculation, we investigate the spin-polarized transport induced by the Rashba-type SOC effect for electrons in a single-layered semiconductor nanostructure (SLSN)-InSb. The present research is to explore the new way of generating and manipulating spin current in semiconductor materials without any magnetic field, and focuses on developing new electron-spin filter for semiconductor spintronics device applications. The improved transfer matrix method (ITMM) is exploited to exactly solve Schrödinger equation for an electron in the SLSN-InSb device, which allows us to calculate the spin-dependent transmission coefficient and the spin polarization ratio. Owing to a strong Rashba-type SOC, a considerable electron-spin polarization effect appears in the SLSN-InSb device. Because of the effective potential experienced by the electrons in the SLSN-InSb device, the spin polarization ratio is associated with the electron energy and the in-plane wave vector. In particular, the spin polarization ratio can be manipulated effectively by an externally-applied electric field or the semiconductor-layer thickness, owing to the dependence of the effective potential felt by the electrons in the SLSN-InSb device on the electric field or the layer thickness. Therefore, such an SLSN-InSb device can be used as a controllable electron-spin filter acting as a manipulable spin-polarized source for the research area of semiconductor spintronics.