-
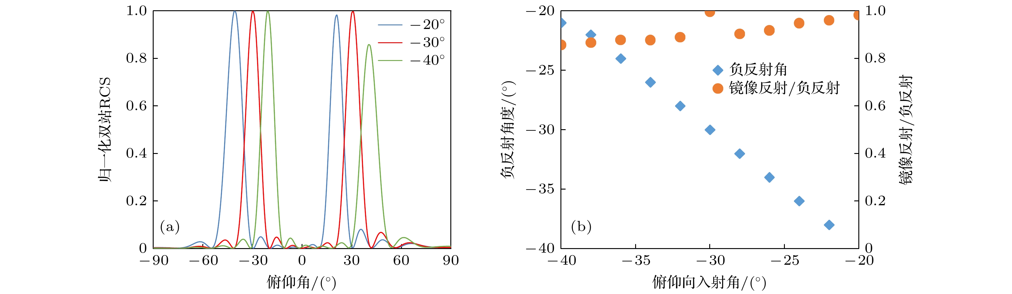
对斜入射电磁波产生包含逆反射通道的双反射通道, 对于提高目标识别性能、导航性能等具有重要意义. 在双通道反射中, 控制逆反射与镜像反射占比则是实现反射功率分配的关键. 为实现双通道反射功率占比的可控, 本文提出了一种双通道反射超表面微结构拓扑优化设计方法. 构建了包括逆反射的双通道反射超表面实现机理及物理模型, 建立了具有特定逆反射与镜像反射幅值比值或占比的超表面微结构拓扑优化模型. 作为数值算例, 针对TE模式下频率为10 GHz俯仰角
$-30^\circ$ 方向入射平面波, 对逆反射与镜像反射功率比1∶1的双通道反射器进行设计, 所设计超表面在$ \pm 30^\circ $ 方向表现出较强的方向性, 两方向反射幅值大小相等. 同时, 对具有最大逆反射占比的反射超表面进行设计, 逆反射功率占总功率比值为0.093, 无镜像反射及其他方向奇异反射, 超表面强反射集中在$-30^\circ $ , 主波束功率占总反射功率比为0.900. 仿真及实验测试结构均验证了所提方法的可行性.For oblique incident electromagnetic waves, the generation of double reflection channels including retroreflection channel is of great significance in improving target recognition performance and navigation performance. In double channel reflection, controlling the ratio of retroreflection to specular reflection is the key to realizing reflection power distribution. In order to realize the control of the proportion of the reflected power in each channel, a topology optimization method for designing the reflective metasurface microstructure with dual channel is proposed in this paper. The implementation mechanism is investigated, physical model of metasurface with dual reflection channel including retroreflection channel is established, and the topology optimization model of metasurface microstructure with specific power ratio of the retroreflection to specular reflection is established. As a numerical example, a dual channel metasurface reflector with a 1∶1 ratio of retroreflection power to specular reflection power is designed for a 10 GHz plane wave in the TE mode with a pitch angle of –30°. The designed metasurface exhibits strong directionality in the retroreflective direction, and the reflection amplitudes in both directions are similar. The retroreflective metasurface with the maximum retroreflection ratio is designed. The retroreflection ratio of the designed metasurface is 0.093. There is no specular reflection or other singular reflection, and the strong reflection on the metasurface is concentrated at –30°. The ratio of the main beam power to the total reflection power is 0.900. The simulated and experimental results verify the feasibility of the proposed method.-
Keywords:
- metasurface/
- dual channel/
- topology optimization
[1] [2] [3] [4] [5] [6] [7] [8] [9] [10] [11] [12] [13] [14] [15] [16] [17] [18] [19] [20] [21] [22] [23] [24] [25] -
[1] [2] [3] [4] [5] [6] [7] [8] [9] [10] [11] [12] [13] [14] [15] [16] [17] [18] [19] [20] [21] [22] [23] [24] [25]
计量
- 文章访问数:1626
- PDF下载量:91
- 被引次数:0












下载:









