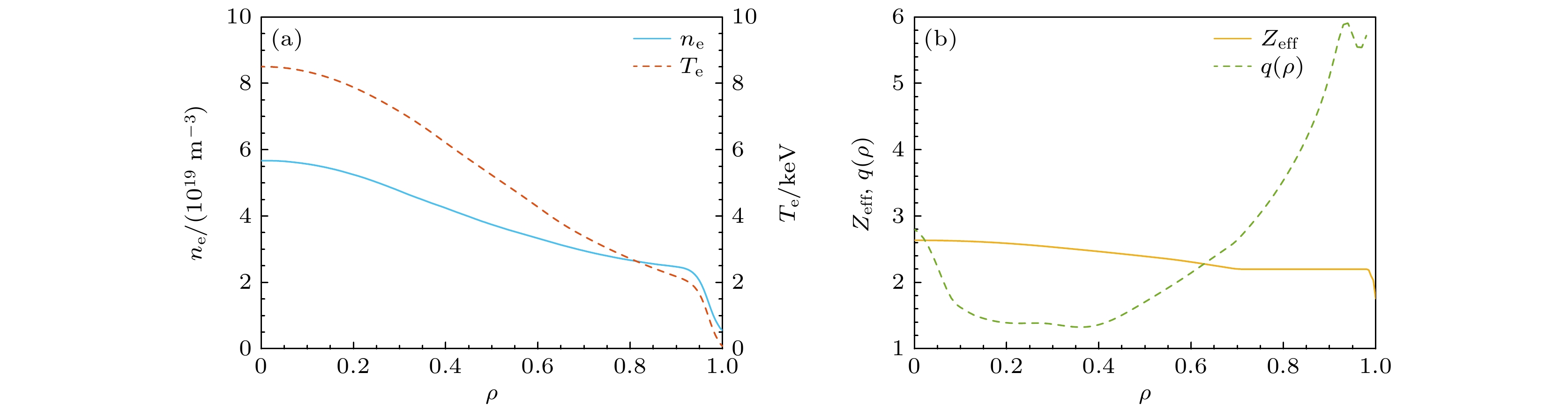
Non-inductive current drive plays a crucial role in tokamak, especially for its steady state operations. Recently, the helicon wave (HW) has been regarded as a promising tool for driving off-axis plasma current in reactor-grade machine. The lower-hybrid wave (LHW) is the most effective radio-frequency current drive method, however, it has the drawback, which is limited by the conditions of wave accessibility in the high parameter tokamak, making the wave power usually damped at the plasma edge. HW can spiral towards the plasma centre directly under a high electron density. To obtain a long pulse steady state operation of reactor tokamak, the complementarity of HW and LHW in the aspect of driven current distribution in the high parameter tokamak is considered. The synergy current drive of the HW and the LHW is studied numerically in the steady-state scenario of HL-2M. According to the fast wave dispersion relation of plasma, the HW parameters, including its wave frequency and launched parallel refractive index, are obtained firstly. Results of GENRAY code simulation show that a single pass wave power absorption of the HW can be obtained generally through the electron Landau damping and transit time magnetic pumping effects. On the other hand, the LHW parameters are adopted from the equipped system on the machine. Results of single pass wave absorption are also obtained in the case of LHW. And then, the synergy effects of HW and LHW are studied numerically based on the GENRAY/CQL3D models. The cooperation of these two waves results in a broad plasma current distribution along the radial direction (
$\rho = $
0.2-0.9) in the machine. Taking the electron distribution functions of these waves into account, it is clear that the electrons are accelerated by the HW in the parallel magnetic field direction, resulting in more electrons entering the region of LHW resonance area. As the consequence, a net plasma current appears. Furthermore, a fine-grained parametric scan is performed by changing the launched parallel refractive index of HW, and the results indicate that positive synergy effects can be generally observed once the related wave current drive profiles are overlapped. Finally, the synergy factor is shown to be proportional to this overlap and reaches its maximum value of 1.18 in HL-2M.