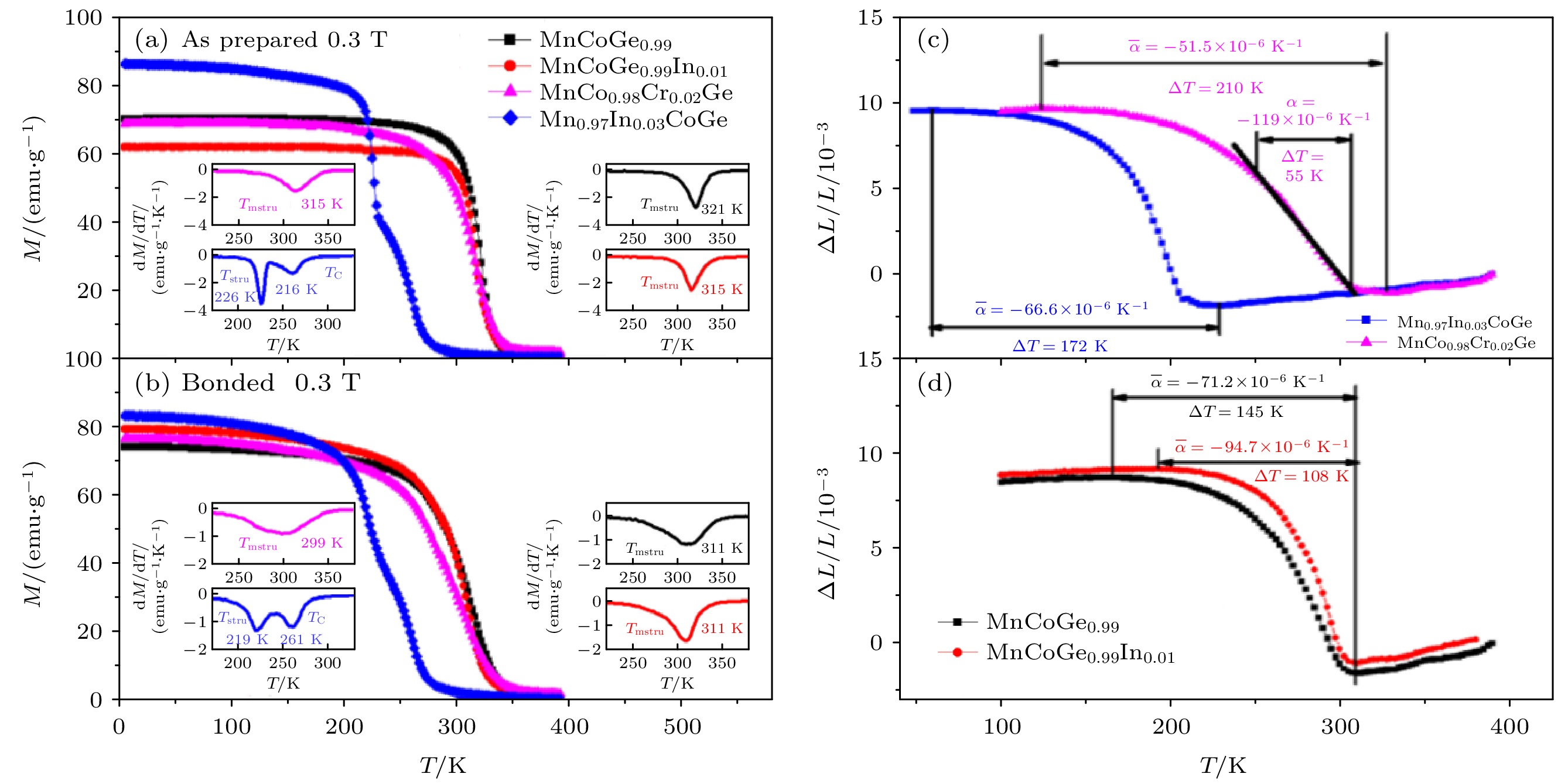
As a common phenomenon in nature, phase transition has received much attention for a long time. It has been applied to various fields, such as refrigeration, information and energy storage, and negative thermal expansion. Solid refrigeration technology based on magnetocaloric effect, electrocaloric effect, and mechanocaloric effect has the advantages of environmental protection, high efficiency, no noise, and easy miniaturization, and is expected to replace vapor compression technology. Among them, the magnetocaloric effect has the longest research history. However, the shortcomings of magnetocaloric effect driven by a single magnetic field limit its solid-state refrigeration application, such as insufficient amplitude of caloric effect, large hysteresis loss, and narrow refrigeration temperature span. To solve these problems, multifield tuning and multicaloric effect have come into people's sight. This paper introduces our recent research on improving the caloric effect by applying multifield, such as increasing entropy change, expanding transition temperature range, adjusting transition temperature, and reducing hysteresis losses. The thermodynamics of multifield and coupled-caloric effect are presented in the meantime. On the other hand, materials with abnormal thermal expansion (zero thermal expansion, negative thermal expansion) have important applications in precision manufacturing. The phase transition and lattice effect dominated by magnetic atoms in the giant magnetocaloric materials with strong magnetic-crystal coupling provide an ideal platform for exploring abnormal thermal expansion. This paper also introduces our recent research on abnormal thermal expansion in magnetocaloric materials, and looks forward to future relevant research.