-
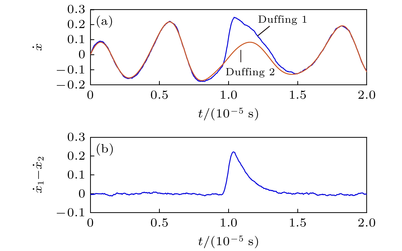
强耦合振子可用于微弱脉冲信号的检测和波形恢复, 但其对微弱脉冲信号的检测频率会受到系统内置频率的限制. 在系统内置频率固定的情况下, 系统只能对一定频率范围内的脉冲信号进行有效检测和波形恢复, 在检测更高频率的脉冲信号时会出现波形失真. 本文分析了耦合振子内置频率和微弱脉冲信号检测频率之间的关系, 提出两种改进强耦合振子结构以扩展微弱脉冲信号的频率检测范围. 通过引入非线性恢复力耦合项, 非线性恢复力强耦合振子可以有效保留信号的高频分量, 在更高频率的脉冲信号输入时也能较好地保留信号特征. 双振子强耦合系统通过引入Van der Pol-Duffing振子, 加强了系统内部结构的稳定性, 同样达到了扩展脉冲信号频率检测范围的效果. 此外, 基于变迭代步长和混沌检测的频率相关性, 提出了一个未知频率脉冲信号检测方法, 以改变迭代步长的方法代替改变系统内置频率来进行频率扫描, 并且利用混沌检测的频率相关性, 将接收信号和恢复信号的相关系数和纯噪声输入情况下的相关系数进行对比, 根据两个相关系数之间的明显差异可以有效检测出脉冲信号. 通过仿真实验进行验证, 所提方法可以有效检测出未知频率的脉冲信号, 并且所提的改进强耦合振子结构相对于强耦合振子有较大的性能提升.
-
关键词:
- 强耦合/
- 非线性恢复力强耦合振子/
- 双振子强耦合系统/
- 微弱脉冲/
- 瞬态脉冲
A strongly coupled oscillator can be used to detect weak pulse signals and recover waveforms, but its detection frequency of weak pulse signal is limited by the system’s built-in frequency. With a fixed built-in frequency, the system can only effectively detect and recover pulse signals in a certain frequency range, and waveform distortion occurs when pulse signals of higher frequencies are detected. In this work, the relationship between the built-in frequency of the coupled oscillator and the frequency detection range of weak pulse signal is analyzed, and two kinds of improved strongly coupled oscillator structures are proposed to extend the frequency detection range of weak pulse signals. By introducing the nonlinear restoring force coupling term, the nonlinear restoring force strongly coupled oscillator can effectively retain the high-frequency component of the signal, and can also better retain the signal characteristics when the pulse signal is input at a higher frequency. By introducing the Van der Pol-Duffing oscillator, the two-oscillator strong coupling system strengthens the stability of the internal structure of the system, and also achieves the effect of expanding the frequency detection range of the pulse signal. In addition, based on the variable iteration step size and frequency correlation of chaos detection, a method of detecting unknown frequency pulse signals is proposed. Instead of changing the built-in frequency of the system for frequency scanning, the method of changing the iteration step size is used. And using the frequency correlation of chaos detection, the correlation coefficient of the received signal and the recovered signal is compared with the correlation coefficient of the pure noise input case, then the pulse signals can be effectively detected based on the apparent difference between the two correlation coefficients. It is verified by simulation experiments that the proposed method can effectively detect the pulse signal of unknown frequency, and the proposed improved strong coupling oscillator has a greater performance improvement than that of the strong coupling oscillator.-
Keywords:
- strong coupling/
- nonlinear restoring force strongly coupled oscillator/
- two-oscillator strongly coupled system/
- weak pulse/
- transient pulse
[1] [2] [3] [4] [5] [6] [7] [8] [9] [10] [11] [12] [13] [14] [15] [16] [17] [18] [19] [20] [21] -
[1] [2] [3] [4] [5] [6] [7] [8] [9] [10] [11] [12] [13] [14] [15] [16] [17] [18] [19] [20] [21]
计量
- 文章访问数:1314
- PDF下载量:47
- 被引次数:0












下载:








