-
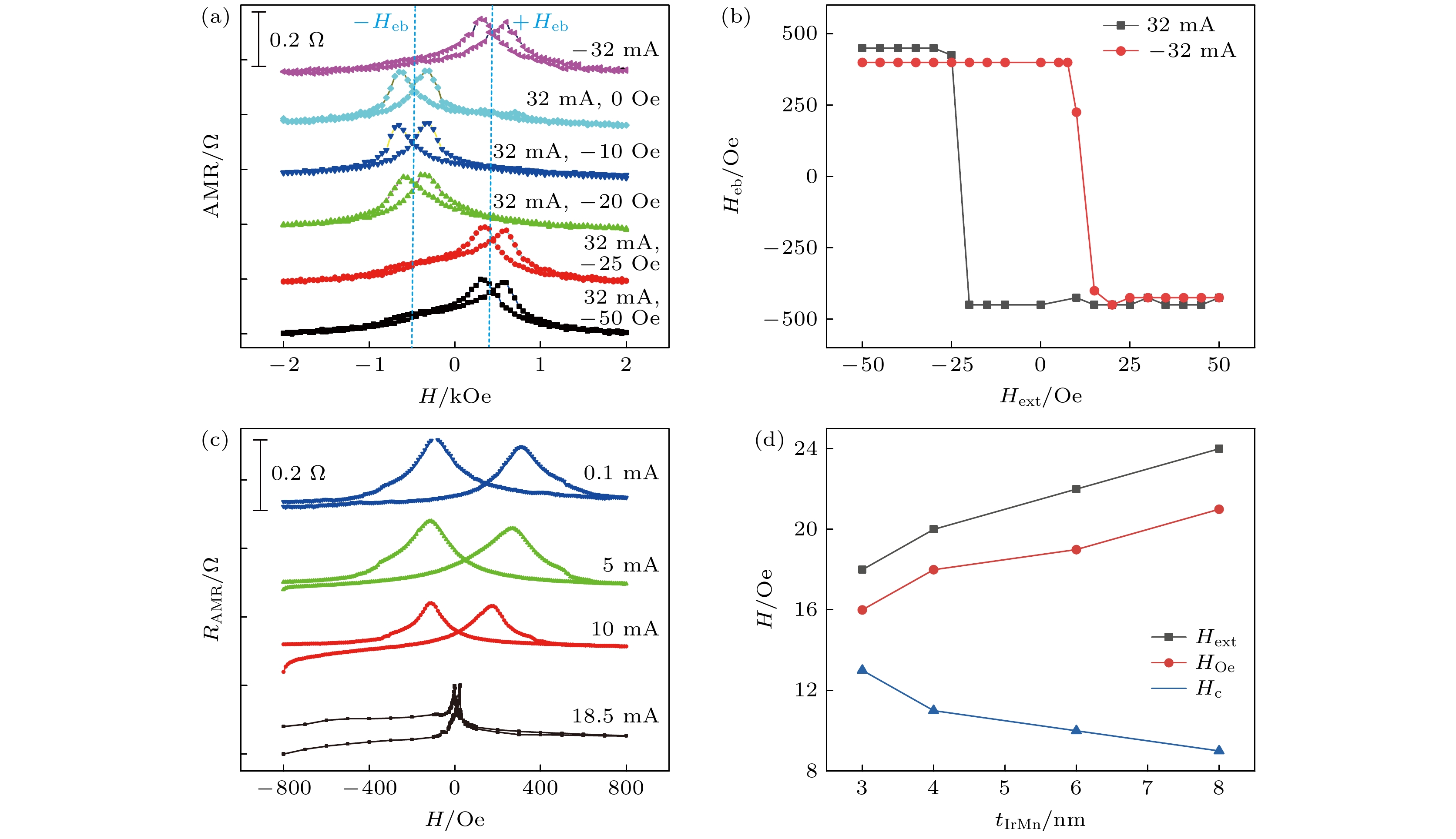
电流驱动的面内交换偏置场翻转具有无需外磁场辅助、抗磁场干扰以及强磁各向异性等优势, 受到广泛关注. 然而, 在纳米级厚度薄膜系统中, 反铁磁/铁磁异质结的阻塞温度较低, 同时电流脉冲会产生大量的焦耳热, 理论上电流热效应对于交换偏置场翻转有着显著作用, 但是其作用机制缺乏相关研究和验证. 我们制备了一系列反铁磁IrMn厚度不同的Pt/IrMn/Py异质结, 系统性地研究了热效应在电流翻转交换偏置场中的作用机制. 结果表明, 在毫秒级电流脉冲下, 焦耳热能够使得器件升温至阻塞温度以上, 解除反铁磁/铁磁界面的交换耦合, 同时电流产生的奥斯特场和自旋轨道矩能够翻转铁磁磁矩, 在降温过程中完成交换偏置场的翻转. 并且, 在翻转过程中, 反铁磁/铁磁异质结的各向异性磁阻曲线呈现与温度相关的两步磁化翻转现象, 分析表明该现象起源于交换偏置耦合与铁磁直接交换作用之间的竞争关系. 本文的研究结果厘清了热效应在电流驱动交换偏置场翻转过程中的重要作用, 有助于推动基于电控交换偏置场的自旋电子器件发展.The current-induced switching of in-plane exchange bias field ( H eb) has many advantages, such as switching without assistance of external magnetic field, excellent immunity to magnetic field, and robust magnetic anisotropy. However, the blocking temperature of the nanoscale antiferromagnet/ferromagnet (AFM/FM) heterostructure is relatively low and susceptible to thermal effects. Therefore, the Joule heating theoretically plays a substantial role in the switching of H ebdriven by current, but its underlying mechanism requires further investigation and verification. We prepare a series of Pt/IrMn/Py heterostructures with varying antiferromagnet IrMn thicknesses and systematically investigate the role of thermal effects in current-driven H ebswitching. These results demonstrate that under millisecond-level current pulses, Joule heating heats the device above the blocking temperature, leading to the decoupling of exchange coupling at AFM/FM interface. Simultaneously, the Oersted field and spin-orbit torque field generated by the current switch the ferromagnetic moments, and then a new H ebwill be induced along the direction of the ferromagnetic moments in the cooling process. Furthermore,in the switching process of H eb, the anisotropic magnetoresistance curve of the AFM/FM heterostructure exhibits a temperature-dependent two-step magnetization reversal phenomenon. Theoretical analysis indicates that this phenomenon arises from the competitive relationship between exchange bias coupling at AFM/FM interface and direct exchange coupling between the ferromagnetic moments. The findings of this study elucidate the crucial role of thermal effects in the current-driven switching of H eb, thereby contributing to the advancement of spintronic devices based on electrically controlled H eb.
[1] [2] [3] [4] [5] [6] [7] [8] [9] [10] [11] [12] [13] [14] [15] [16] [17] [18] [19] [20] [21] [22] [23] [24] [25] [26] [27] [28] [29] [30] [31] [32] [33] [34] -
[1] [2] [3] [4] [5] [6] [7] [8] [9] [10] [11] [12] [13] [14] [15] [16] [17] [18] [19] [20] [21] [22] [23] [24] [25] [26] [27] [28] [29] [30] [31] [32] [33] [34]
计量
- 文章访问数:2112
- PDF下载量:131
- 被引次数:0












下载:


