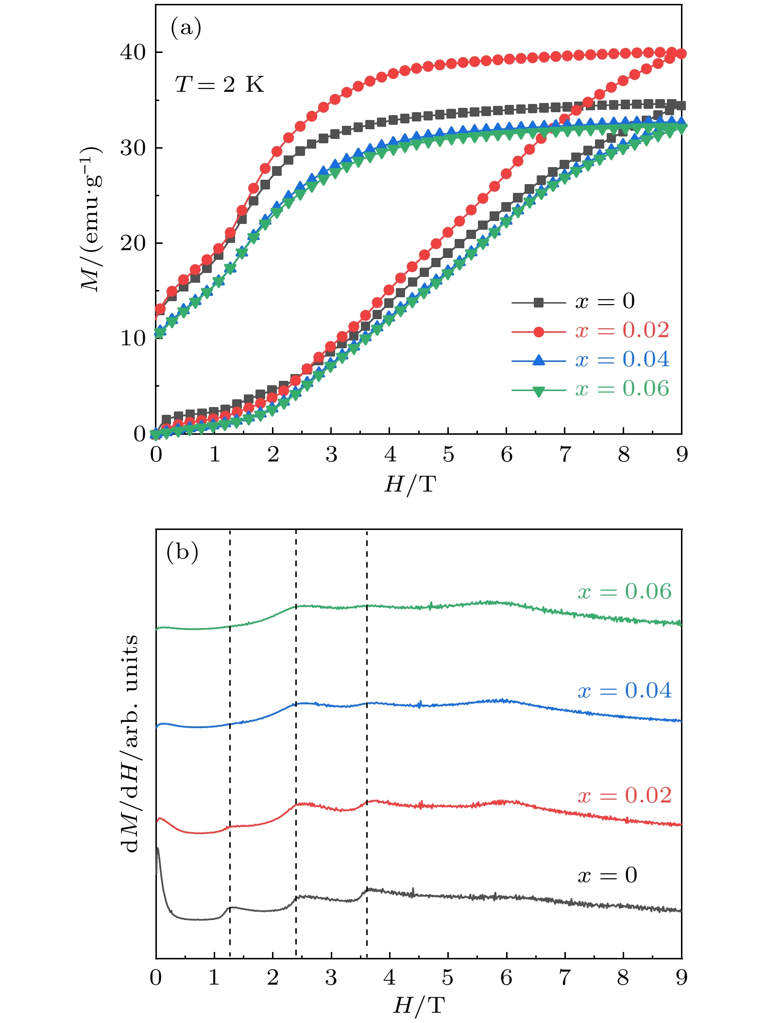
As a quasi-one-dimensional spin frustrated material, Ca
3Co
2O
6has a series of interesting physical properties such as low-temperature spin freezing and multiple magnetized steps due to its unique structure. The magnetic properties of Ca
3Co
2O
6mainly come from Co ions, and the doping of different elements at the Co site has a great effect on the magnetic structure of Ca
3Co
2O
6. At present, the magnetic research of Ca
3Co
2O
6and its related compounds mainly focuses on exploring the influence of other elements replacing Co sites. For example, non-magnetic Sc
3+can dilute the intrachain ferromagnetic exchange, while the doping of magnetic ions Mn
4+, Fe
3+or Cr
3+can inhibit the intrachain ferromagnetic interaction and enhance the antiferromagnetic interchain interaction. Doping Ti
4+ions, which are high-valence non-magnetic ions, not only dilutes the magnetic interaction of Ca
3Co
2O
6, but also changes the valence state of cobalt ions. i.e. it can convert part of Co
3+ions into Co
2+ions. Therefore, comparing with other doped ions, their introduction may have a more significant effect on the magnetoelectric properties of Ca
3Co
2O
6. In this study, a series of Ca
3Co
2–xTi
xO
6(
x= 0, 0.02, 0.04, 0.06) polycrystalline samples is prepared by sol-gel method. Their magnetic, dielectric and magnetodielectric properties are measured. The XRD patterns show that a small number of Ti
4+ions do not change the crystal structure of Ca
3Co
2O
6. Due to the destruction of the long-range ferromagnetic correlation of Ca
3Co
2O
6by non-magnetic Ti
4+ions, the ferromagnetic interaction is inhibited to some extent. Because Ti
4+ions are non-magnetic ions, they cannot form antiferromagnetic coupling with Co ions, resulting in the decrease of the Curie-Weiss temperature(
θ). The positive
θvalue and exchange constant still indicate that the ferromagnetic interaction is dominant in Ti
4+doped Ca
3Co
2–xTi
xO
6(
x= 0, 0.02, 0.04, 0.06) samples. The substitution of non-magnetic ions Ti
4+for Co
3+ions also makes the effective magnetic moment of Ca
3Co
2–xTi
xO
6(
x= 0, 0.02, 0.04, 0.06) monotonically decrease from
μ
eff= 5.42
μ
Bfor
x= 0 to
μ
eff= 5.18
μ
Bfor
x= 0.06. Accompanying the introduction of Ti
4+ions, the spin frustration of Ca
3Co
2O
6is released partly, thus gradually fading the magnetization steps of Ca
3Co
2O
6. As the Ca
3Co
2O
6is a typical magnetodielectric material, the released spin frustration in Ti
4+doped samples and the variation of the subtle magnetic structure exert a large influence on the magnetodielectric coupling effect of Ca
3Co
2–xTi
xO
6(
x= 0, 0.02, 0.04, 0.06) compounds.