-
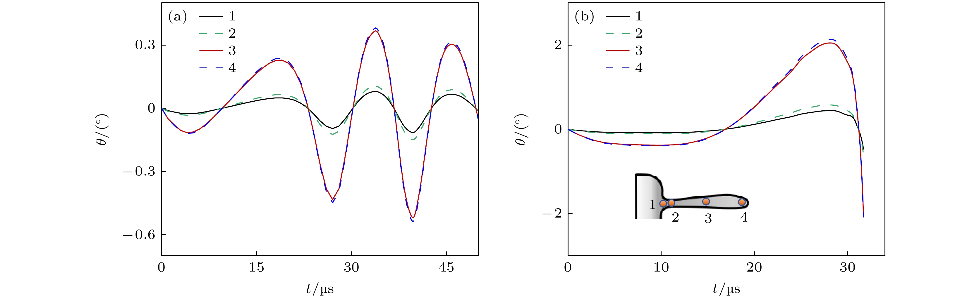
采用有限元模拟和高速摄影实验研究了液体中单个气泡在超声作用下的振荡及溃灭规律, 并揭示了气泡空化与邻近枝晶间的相互作用机制. 结果表明, 增大驱动声压促使气泡振荡模式由体积振荡转变为分裂振荡, 从而显著地提升液体中的瞬态压强和流动速度. 当气泡下方存在一个枝晶时, 随着驱动声压的增加, 二次分枝的断裂模式发生从高周疲劳断裂向低周疲劳断裂再到过载断裂的转变, 且断裂周期呈幂函数下降趋势. 气泡距离枝晶越近, 压缩状态下气泡的纵向半径逐渐大于横向半径, 且压缩时间增加, 最小气泡体积降低. 另外, 气泡与枝晶距离的减小导致气泡溃灭产生的最大压强显著降低, 而最大流速呈现先增大后降低的趋势. 若二次分枝的根部半径减小或长度增加, 二次分枝疲劳断裂周期数显著减小, 从而更容易诱发枝晶碎断. 理论计算的气泡膨胀收缩和二次分枝断裂过程与实验结果基本一致, 表明本文构建的模型能够准确预测超声场中的气泡运动及其与枝晶相互作用过程.Ultrasound treatment (UST) has been demonstrated to be an effective approach to refining the microstructures of metallic alloys during solidification. The cavitation-induced fragmentation is considered as the major mechanism for grain refinement in the recent study, but the interaction between dynamic bubble motion and dendrite behaviour has been rarely investigated previously. In this work, the dynamic behaviour of cavitation bubbles and their interactions with succinonitrile (SCN)-2% (mole fraction) water organic transparent alloy are systematically investigated by high-speed digital image technique and numerical simulation. It is found that increasing the driving pressure transforms the bubble oscillation mode from volume oscillation to splitting oscillation, which significantly enhances the transient pressure and flow strength in the liquid. When a dendrite exists below the bubble, the fracture mode of the secondary branch undergoes a transition from high peripheral fatigue fracture to low peripheral fatigue fracture and to overload fracture with the increase of the driving acoustic pressure, and the fracture period is shortened in the form of a power function trend. The closer the bubble is to the dendrite, the longeritudinal radius of the bubble is gradually larger than the transverse radius during compression, and with the bubble shrink time increasing, the minimum bubble volume decreases. In addition, the decrease in distance between bubbles and dendrites leads to a significant reduction in the maximum pressure generated by bubble collapse, while the maximum flow rate shows a trend of first increasing and then decreasing. When the root radius of the secondary branch decreases or its length increases, the number of fatigue fracture cycles of the secondary branch decreases significantly. The calculated bubble expansion and contraction and secondary dendrite rupture processes are basically consistent with the experimental results, which indicates that the model constructed in this work can accurately predict the bubble motion and its interaction with dendrite in ultrasonic field.
[1] [2] [3] [4] [5] [6] [7] [8] [9] [10] [11] [12] [13] [14] [15] [16] [17] [18] [19] [20] [21] [22] [23] [24] [25] [26] [27] [28] -
[1] [2] [3] [4] [5] [6] [7] [8] [9] [10] [11] [12] [13] [14] [15] [16] [17] [18] [19] [20] [21] [22] [23] [24] [25] [26] [27] [28]
计量
- 文章访问数:257
- PDF下载量:7
- 被引次数:0












下载:










