We need to develop a low energy consumption, green and environmentally friendly process for preparing double perovskite fluorescent powders, and incorporate other metal ions into the matrix to obtain a new type of luminescent material with high quantum efficiency. In this study a microwave solid-state method is used to prepare Bi
3+doped lead-free double perovskite Cs
2Ag
0.6Na
0.4InCl
6fluorescent powders. This method does not require ligand assistance and is environmentally friendly. The crystal structure and morphology are characterized by X-ray diffraction and scanning electron microscopy, and the luminescence performance is studied by excitation spectroscopy, emission spectroscopy, time-resolved spectroscopy, and quantum efficiency. The results are shown below 1) The Cs
2Ag
0.6Na
0.4InCl
6is a cubic crystal belonging to the
$ Fm\bar 3 m $
space group, and its grain morphology is irregular. 2) When the optimal doping concentration of Bi
3+is 0.0013 mmol, the emission center wavelength of Cs
2Ag
0.6Na
0.4InCl
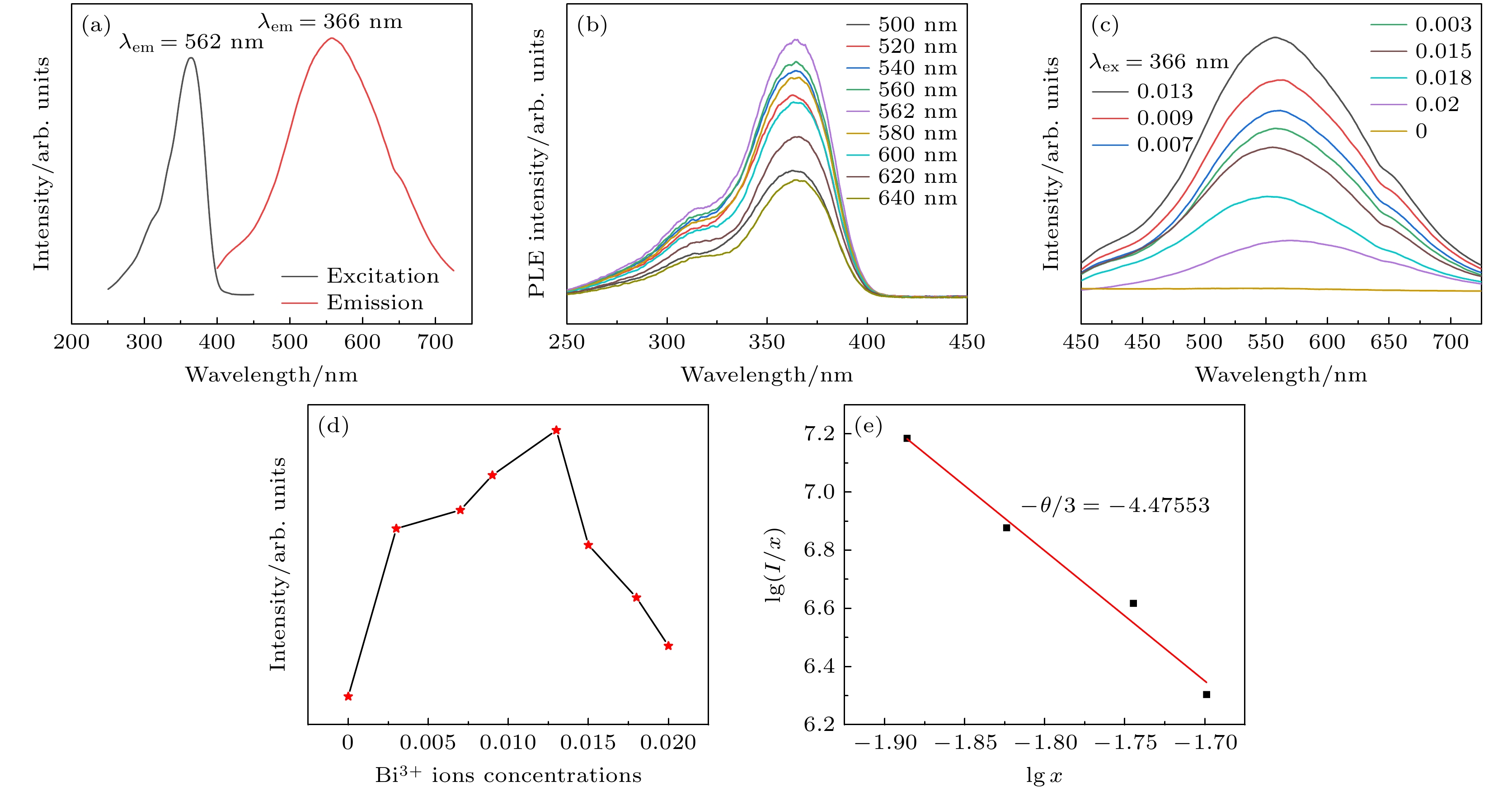
6material is 562 nm, the average fluorescence lifetime reaches 2.60 μs, and the quantum efficiency attains 45.28%. 3) When the concentration of Bi
3+ions exceeds 0.0013 mmol, a significant concentration quenching effect occurs, which is mainly due to the electric quadrupole electric quadrupole (q-q) interaction between Bi
3+ions. 4) The chromaticity coordinates of the Cs
2Ag
0.6Na
0.4InCl
6doped Bi
3+phosphor are located in the yellow-light region, making it a potential yellow phosphor for warm white light emitting diode (LED) applications.