ObjectiveThe optical information change of beams acting on biological tissue can get an insight into the new optical effects of tissue, and even can provide a theoretical basis for developing biphotonic medical diagnosis and therapy technologies. Polarization technology is also widely used in the field of biological detection due to its advantages of non-contact, rich information and without staining markers. In this work, the polarization behaviors of partially coherent screw-linear edge mixed dislocation beam transmitting in biological tissue are analyzed and explored. Simultaneously, in order to more clearly and more intuitively understand a mixed dislocation beam, both the normalized intensities and phase distributions at source plane for different parameters
aand
bare also discussed. We hope that the obtained results will provide theoretical and experimental foundation for expanding the application of singularity beams in biological tissue imaging technology.
MethodBy combining the Schell term with the field distribution of the screw-linear edge mixed dislocation beam at the source plane, and based on the generalized Huygens-Fresnel principle, the analytical expressions of the cross-spectral density matrix elements of partially coherent screw-linear edge dislocation beam propagating in biological tissues are derived. Adopting the unified theory of coherence and polarization, the polarization behaviors of the beams can be investigated in detail.
ResultsAt the source plane, the intensity has a non axisymmetric distribution, and there exists a coherent vortex with a topological charge size of 1 and a linear edge dislocation. The sign of
ais related to the rotation direction of the phase singularity. The larger the value of
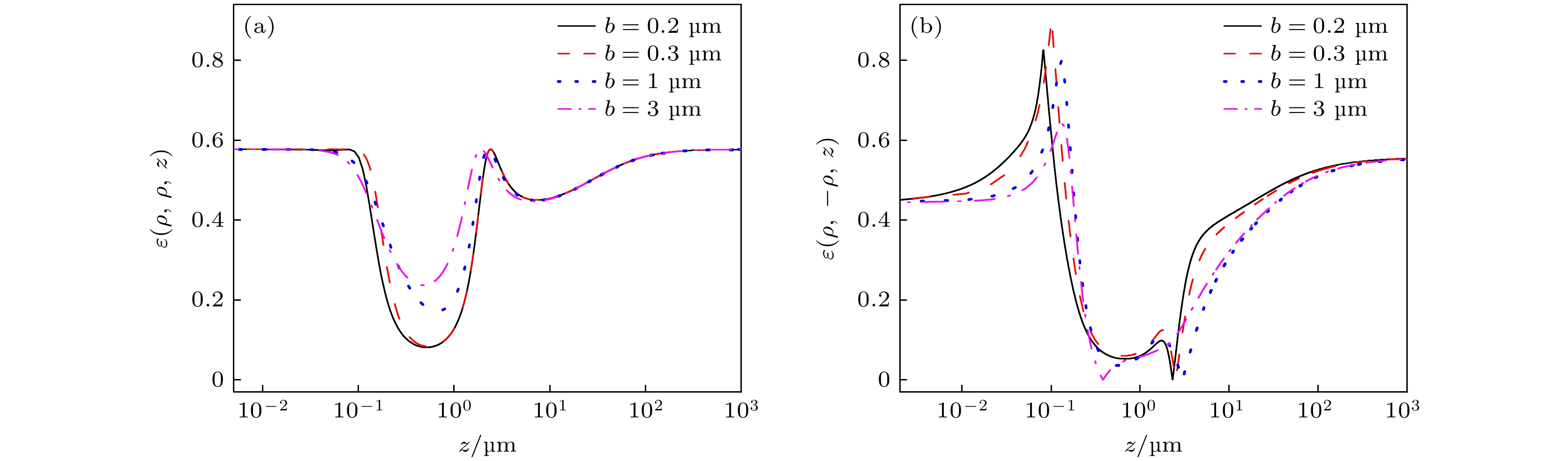
b, the farther the linear edge dislocation is from the origin. At the source plane, the degree of polarization and ellipticity between the two identical points are independent of the four parameters: dimensionless parameter
a, off-axis distance of edge dislocation
b, spatial self-correlation length
σ
yy, and spatial mutual-correlation length
σ
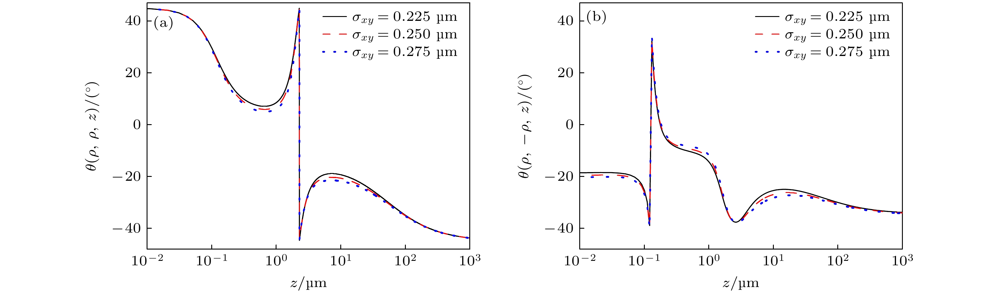
xy, the orientation angle is only independent of
aand
σ
xy; the polarization of two different points is independent of
aand
b, but is related to
σ
yyand
σ
xy. In transmission, the polarization degrees and ellipticity of two different points fluctuate greatly and the orientation angle displays less fluctuation. Finally, all the polarization state parameters tend to be their corresponding values, respectively.
ConclusionsThe results show that when
bis smaller, the linear edge dislocation is paraxial and plays an important role in the polarization state change; when
bis larger, the polarization state changes of the screw-linear edge mixed dislocation beam will tend to be the pattern of spiral beams. The absolute value of the difference between
σ
yyand
σ
xyis also one of main factors influencing the polarization state. The sign of
adoes not affect the change in polarization state, but its magnitude can influe the change of speed. Due to more complex factors determining the correlation fluctuations between different points in the light field, the changes of two different points are more sensitive than those of the two identical points in shallow biological tissue. Beams with different parameters can be selected for different application requirements.