搜索

x

留言板

姓名
邮箱
手机号码
标题
留言内容
验证码

downloadPDF
引用本文:
Citation:

郭颖, 潘峰, 姚彬彬, 孟豪, 吕劲

First principles study of high-performance sub-5-nm monolayer SnS field-effect transistors

Guo Ying, Pan Feng, Yao Bin-Bin, Meng Hao, Lü Jin
PDF
HTML
导出引用
  • 基于硅基材料的逻辑器件由于其短沟道效应, 使摩尔定律失效, 二维半导体材料被认为是继续缩小晶体管尺寸以生产更多摩尔电子器件的潜在沟道材料. 最近在实验上突破了技术瓶颈的限制, 实现了二维场效应晶体管突破亚1 nm沟道极限, 并且表现出优异的器件性能. 这极大地鼓舞了在理论上进一步探索二维器件的性能. 二维SnS具有较高的载流子迁移率和各向异性的电子性能, 且材料性能环境稳定. 本文应用第一性原理研究了亚5 nm SnS 场效应晶体管的量子输运特性, 鉴于SnS的各向异性, 本文将器件沿单层SnS的armchair和zigzag两个方向进行构造, 发现p型zigzag方向的器件性能优于其他类型(包括n型、p型的armchair方向和n型的zigzag方向). p型zigzag方向器件的开态电流在栅长缩短到1 nm也能满足国际半导体技术路线图的高性能(HP)器件要求, 其值高达1934 μA/μm. 这在目前报道的1 nm栅长上的器件材料性能方面处于领先.
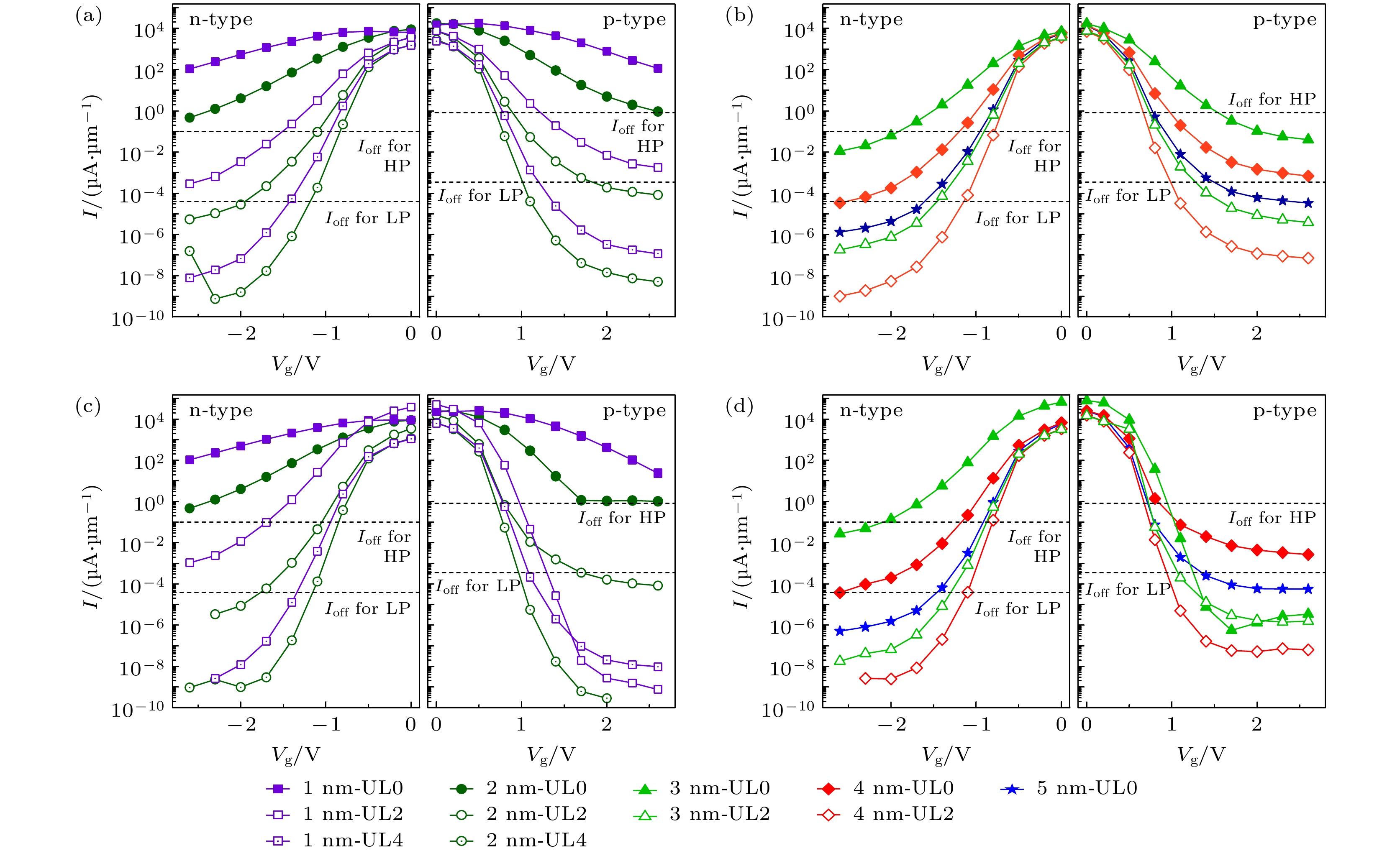
    Currently, Si-based field-effect transistors (FET) are approaching their physical limit and challenging Moore's law due to their short-channel effect, and further reducing their gate length to the sub-10 nm is extremely difficult. Two-dimensional (2D) layered semiconductors with atom-scale uniform thickness and no dangling bonds on the interface are considered potential channel materials to support further miniaturization and integrated electronics. Wu et al. [Wu F, et al. 2022 Nature 603259 ] successfully fabricated an FET with gate length less than 1 nm by using atomically thin molybdenum disulfide with excellent device performance. This breakthrough has greatly encouraged further theoretical predictions regarding the performance of 2D devices. Additionally, 2D SnS has high carrier mobility, anisotropic electronic properties, and is stable under ambient condition, which is conducive to advanced applications in 2D semiconductor technology. Herein, we explore the quantum transport properties of sub-5 nm monolayer (ML) SnS FET by using first-principles quantum transport simulation. Considering the anisotropic electronic SnS, the double-gated-two-probe device model is constructed along the armchair direction and the zigzag direction of ML SnS. After testing five kinds of doping concentrations, a doping concentration of 5×10 13cm –2is the best one for SnS FET. We also use the underlaps (ULs) with lengths of 0, 2, and 4 nm to improve the device performance. On-state current ( I on) is an important parameter for evaluating the transition speed of a logic device. A higher I onof a device can help to increase the switching speed of high-performance (HP) servers. The main conclusions are drawn as follows. 1) I onvalues of the n-type 2 nm (UL = 4 armchair), 3 nm (UL = 2), 4 nm (UL = 3), 5 nm (UL = 0) and the p-type 1 nm (UL = 2 zigzag), 2 nm (UL = 2 zigzag), 3 nm (UL = 2, 4 zigzag), 4 nm (UL = 2, 4 zigzag), and 5 nm (UL = 0, armchair/zigzag) gate-length devices can meet the standards for HP applications in the next decade in the International Technology Roadmap for semiconductors (ITRS, 2013 version). 2) I onvalues of the n-type device along the armchair direction (31–2369 μA/μm) are larger than those in the zigzag direction (4.04–1943 μA/μm), while I onvalues of the p-type along the zigzag direction (545–4119 μA/μm) are larger than those in the armchair direction (0.7–924 μA/μm). Therefore, the p-type ML GeSe MOSFETs have a predominantly anisotropic current. 3) I onvalue of the p-type 3 nm gate-length (UL = 0) device along the zigzag direction has the highest value 4119 μA/μm, which is 2.93 times larger than that in the same gate-length UL = 2 (1407 μA/μm). Hence, an overlong UL will weaken the performance of the device because the gate of the device cannot well control the UL region. Thus, a suitable length of UL for FET is very important. 4) Remarkably, I onvalues of the p-type devices (zigzag), even with a gate-length of 1 nm, can meet the requirements of HP applications in the ITRS for the next decade, with a value as high as 1934 μA/μm. To our knowledge, this is the best-performing device material reported at a gate length of 1 nm. 5) Subthreshold swing (SS) evaluates the control ability of the gate in the subthreshold region. The better the gate control, the smaller the SS of the device is. The limit of SS for traditional FET is 60 mV/dec (at room temperature). Values of SS for ML SnS FET alone zigzag direction are less than those along the armchair direction because the leakage current is influenced by the effective mass.
        通信作者:郭颖,guosophia@163.com; 吕劲,jinglu@pku.edu.cn
      • 基金项目:国家自然科学基金(批准号: Z20230015, 12174238)、陕西省自然科学基础研究计划项目(批准号: 2022JM-051)和陕西理工大学人才引进项目(批准号: SLGRC202401)资助的课题.
        Corresponding author:Guo Ying,guosophia@163.com; Lü Jin,jinglu@pku.edu.cn
      • Funds:Project supported by the National Natural Science Foundation of China (Grant Nos. Z20230015, 12174238), the Natural Science Basic Research Project of Shaanxi Province, China (Grant No. 2022JM-051), and the Shaanxi University of Technology Talent Introduction Programm, China (Grant No. SLGRC202401).
      [1]

      [2]

      [3]

      [4]

      [5]

      [6]

      [7]

      [8]

      [9]

      [10]

      [11]

      [12]

      [13]

      [14]

      [15]

      [16]

      [17]

      [18]

      [19]

      [20]

      [21]

      [22]

      [23]

      [24]

      [25]

      [26]

      [27]

      [28]

      [29]

      [30]

    • Ne/Nhdoping concentration/cm–2 Ion(HP/LP)/(μA·μm–1)
      Zigzag Armchair
      n-type p-type n-type p-type
      1×1012 32.24/33.69 45/40.9 129.66/21.55 31.82/35.72
      5×1012 232.26/51.9 310.69/95.35 741.82/17.33 185.95/32.23
      1×1013 1105.66/35.52 756.83/105.06 970.15/8.42 379.27/42.5
      5×1013 1330.51/0.425 2693.37/0.12 1216.66/0.061 973.2/0.026
      8×1013 1207.55/0.082 280.42/0.0013 1020.21/0.0074 676.8/5.37
      下载: 导出CSV



      Lg/nm UL/nm SS/(mV·dec–1) Ion/(μA·μm–1) Ion/Ioff Ion/(μA·μm–1) Ion/Ioff
      HP 5.1 0 900 9.00×103 LP 295 5.9×106
      n-type p-type n-type p-type n-type p-type n-type p-type n-type p-type
      Armchair 1 0 843 719
      2 260 276 31 56 3.1×102 5.6×102
      4 120 122 407 209 4.07×103 2.09×103 2.06 6.34 4.12×104 1.27×105
      2 0 561 418 0.7 7.0×102
      2 212 172 41 319 4.1 3.19×103 0.007 0.0031 1.40×102 61.6
      4 101 90 938 285 9.38×103 2.85×103 45.7 50.83 9.14×105 1.02×106
      3 0 293 254 5.18 13 5.18×101 1.30×102
      2 118 101 1204 665 1.20×104 6.65×103 0.406 0.86 8.12×103 1.72×104
      4 0 189 241 226 292 2.26×103 2.92×103
      2 93 78 2369 817 2.37×104 8.17×103 110.58 92.08 2.21×106 1.84×106
      5 0 125 112 1113 924 1.11×104 9.24×103 0.1 0.03 2.0×103 6.00×102
      Zigzag 1 0 904 603
      2 259 96 72 1934 7.20×102 1.93×104 69.3 1.39×106
      4 107 85 390 545 3.90×103 5.45×103 10.04 79.2 2.01×105 1.58×106
      2 0 530 252
      2 147 101 509 1236 5.09×103 1.24×104 0.035 0.0021 7.0×102 42.8
      4 89 78 621 693 6.21×103 6.93×103 85.02 136.51 1.70×106 2.73×106
      3 0 233 89 4.04 4119 4.04×101 4.12×104 171.91 3.44×106
      2 117 66 1168 1407 1.17×104 1.41×104 7.73 516.18 1.55×105 1.03×107
      4 0 166 106 322 1648 3.22×103 1.65×104
      2 85 70 1843 1874 1.84×104 1.87×104 231.06 271.4 4.62×106 5.43×106
      5 0 118 78 1280 2463 1.28×104 2.46×104 0.67 0.13 1.34×104 2.6×103
      下载: 导出CSV
    • [1]

      [2]

      [3]

      [4]

      [5]

      [6]

      [7]

      [8]

      [9]

      [10]

      [11]

      [12]

      [13]

      [14]

      [15]

      [16]

      [17]

      [18]

      [19]

      [20]

      [21]

      [22]

      [23]

      [24]

      [25]

      [26]

      [27]

      [28]

      [29]

      [30]

    • [1] 张蔚曦, 李勇, 田昌海, 佘彦超.具有大磁晶各向异性能的单层BaPb的室温量子反常霍尔效应. 必威体育下载 , 2021, 70(15): 157502.doi:10.7498/aps.70.20210014
      [2] 宋航, 刘杰, 陈超, 巴龙.离子凝胶薄膜栅介石墨烯场效应管. 必威体育下载 , 2019, 68(9): 097301.doi:10.7498/aps.68.20190058
      [3] 吴春艳, 杜晓薇, 周麟, 蔡奇, 金妍, 唐琳, 张菡阁, 胡国辉, 金庆辉.顶栅石墨烯离子敏场效应管的表征及其初步应用. 必威体育下载 , 2016, 65(8): 080701.doi:10.7498/aps.65.080701
      [4] 石磊, 冯士维, 石帮兵, 闫鑫, 张亚民.开态应力下电压和电流对AlGaN/GaN高电子迁移率晶体管的退化作用研究. 必威体育下载 , 2015, 64(12): 127303.doi:10.7498/aps.64.127303
      [5] 范敏敏, 徐静平, 刘璐, 白玉蓉, 黄勇.高k栅介质GeOI金属氧化物半导体场效应管阈值电压和亚阈斜率模型及其器件结构设计. 必威体育下载 , 2014, 63(8): 087301.doi:10.7498/aps.63.087301
      [6] 唐欣月, 高红, 潘思明, 孙鉴波, 姚秀伟, 张喜田.单根In掺杂ZnO纳米带场效应管的电学性质. 必威体育下载 , 2014, 63(19): 197302.doi:10.7498/aps.63.197302
      [7] 赵晓辉, 蔡理, 张鹏.一种碳纳米管场效应管的HSPICE模型. 必威体育下载 , 2013, 62(13): 130506.doi:10.7498/aps.62.130506
      [8] 赵晓辉, 蔡理, 张鹏.声子散射下碳纳米管场效应管建模方法研究. 必威体育下载 , 2013, 62(10): 100301.doi:10.7498/aps.62.100301
      [9] 刘江涛, 黄接辉, 肖文波, 胡爱荣, 王建辉.栅极电势对强光场下石墨烯场效应管中电子隧穿的影响. 必威体育下载 , 2012, 61(17): 177202.doi:10.7498/aps.61.177202
      [10] 孙鹏, 杜磊, 陈文豪, 何亮, 张晓芳.金属-氧化物-半导体场效应管辐射效应模型研究. 必威体育下载 , 2012, 61(10): 107803.doi:10.7498/aps.61.107803
      [11] 李立, 刘红侠, 杨兆年.量子阱Si/SiGe/Sip型场效应管阈值电压和沟道空穴面密度模型. 必威体育下载 , 2012, 61(16): 166101.doi:10.7498/aps.61.166101
      [12] 周海亮, 池雅庆, 张民选, 方粮.基于梯度掺杂策略的碳纳米管场效应管性能优化. 必威体育下载 , 2010, 59(11): 8104-8112.doi:10.7498/aps.59.8104
      [13] 赵起迪, 张振华.低偏压下单层碳纳米管的输运特征. 必威体育下载 , 2010, 59(11): 8098-8103.doi:10.7498/aps.59.8098
      [14] 陈立冰, 谭鹏, 董少光, 路洪.利用二粒子部分纠缠态实现开靶目标的非局域量子可控非(CNOT)门的受控操作. 必威体育下载 , 2009, 58(10): 6772-6778.doi:10.7498/aps.58.6772
      [15] 张 威, 李梦轲, 魏 强, 曹 璐, 杨 志, 乔双双.ZnO纳米线场效应管的制备及I-V特性研究. 必威体育下载 , 2008, 57(9): 5887-5892.doi:10.7498/aps.57.5887
      [16] 刘 奎, 丁宏林, 张贤高, 余林蔚, 黄信凡, 陈坤基.量子点浮置栅量子线沟道三栅结构单电子场效应管存储特性的数值模拟. 必威体育下载 , 2008, 57(11): 7052-7056.doi:10.7498/aps.57.7052
      [17] 李萍剑, 张文静, 张琦锋, 吴锦雷.基于碳纳米管场效应管构建的纳电子逻辑电路. 必威体育下载 , 2007, 56(2): 1054-1060.doi:10.7498/aps.56.1054
      [18] 徐章程, 贾国治, 孙 亮, 姚江宏, 许京军, J. M. Hvam, 王占国.亚单层InGaAs量子点-量子阱异质结构的时间分辨光致发光谱. 必威体育下载 , 2005, 54(11): 5367-5371.doi:10.7498/aps.54.5367
      [19] 杨林安, 张义门, 于春利, 张玉明.SiC功率金属-半导体场效应管的陷阱效应模型. 必威体育下载 , 2003, 52(2): 302-306.doi:10.7498/aps.52.302
      [20] 李宏伟, 王太宏.InAs自组装量子点GaAs肖特基二极管中的电流输运特性. 必威体育下载 , 2001, 50(2): 262-267.doi:10.7498/aps.50.262
    计量
    • 文章访问数:279
    • PDF下载量:19
    • 被引次数:0
    出版历程
    • 收稿日期:2024-07-18
    • 修回日期:2024-09-04
    • 上网日期:2024-09-12
    • 刊出日期:2024-10-20

      返回文章
      返回
        Baidu
        map