-
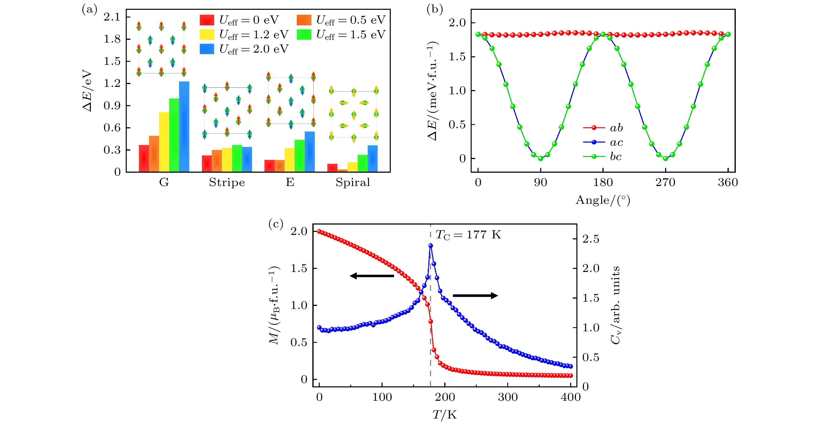
目前对二维铁磁体的研究主要集中在范德瓦尔斯材料领域, 而无应力束缚的自支撑二维钙钛矿薄膜的成功制备为设计范德瓦耳斯材料之外的二维铁磁体提供了良好的契机. 钙钛矿氧化物SrRuO 3作为典型的钙钛矿巡游铁磁体, 在诸多领域具有广阔应用前景. 本文结合第一性原理计算、对称性分析和蒙特卡罗模拟方法研究了其钙钛矿单层(化学式Sr 2RuO 4)的晶格动力学、基态结构、电子与磁性质以及电场调控效应, 并揭示了哈伯德参量 U的影响. 证实单层基态结构为八面体旋转畸变产生的结构相(空间群$P4/mbm$), 具有铁磁半金属性质和面外易磁化轴. 铁磁性主要源于最近邻自旋之间的强铁磁交换作用. 利用自洽测定 U值模拟出的居里温度为177 K, 与其块体相的值比较接近. 外加电场可以显著调制其电子和磁性质, 甚至诱导铁磁半金属相到铁磁金属相的转变. 本文为开发基于钙钛矿的二维铁磁体及利用电场调控二维磁性提供了借鉴.At present, the research on two-dimensional (2D) ferromagnets is mainly concentrated on van der Waals materials, while the successful preparation of strain-free freestanding 2D perovskite films provides a great opportunity for designing 2D ferromagnets beyond van der Waals materials. Perovskite oxide SrRuO 3, a typical perovskite itinerant ferromagnet, has broad application prospects in many fields. In this work, the lattice dynamics, ground-state structure, electronic and magnetic properties of its perovskite monolayer with formula Sr 2RuO 4, as well as the effect of external electric field, are studied by combining first-principles calculation, symmetry analysis and Monte Carlo simulation. The influence of the Hubbard parameter Uis also revealed. The results indicate that the ground-state structure under all Uvalues presents the structural phase (space group P4/ mbm) generated by octahedral rotation distortion. Similar to the SrRuO 3bulk, Sr 2RuO 4has a monolayer ground-state phase that exhibits ferromagnetism, which is independent of the Uvalue and thus robust. Density functional theory calculation using Hubbard parameter Upredicts the ground-state phase of the monolayer to be a ferromagnetic half metal with an out-of-plane easy-magnetization axis, while excluding that the Uparameter predicts the ground-state phase to be a ferromagnetic metallic state. The ferromagnetism mainly originates from the strong ferromagnetic exchange interaction between the nearest neighbor spin pairs. The simulated Curie temperature of the Sr 2RuO 4monolayer is 177 K, which is close to the value (150 K) of its bulk phase. The out-of-plane electric field does not change the ground-state structure nor ferromagnetism of the Sr 2RuO 4monolayer, but can significantly modulate its electronic property and magnetic property. When an external electric field exceeding 0.3 V/Å is applied, the system undergoes a transition from a ferromagnetic half-metal state to a ferromagnetic metallic state. This work indicates the potential application of Sr 2RuO 4monolayer in low-dimensional spintrnic devices, and provides a reference for developing perovskite-based 2D ferromagnets and realizing the control of 2D magnetism by electric field.
-
Keywords:
- two-dimensional ferromagnetism/
- perovskite/
- first principles
[1] [2] [3] [4] [5] [6] [7] [8] [9] [10] [11] [12] [13] [14] [15] [16] [17] [18] [19] [20] [21] [22] [23] [24] [25] [26] [27] [28] [29] [30] [31] [32] [33] [34] [35] [36] [37] [38] -
Distortion modes Space group $ \Delta E $/(meV·f.u.–1) $ U_{{\mathrm{eff}}} = 0 $ $ U_{{\mathrm{eff}}} = 0.5 $ $ U_{{\mathrm{eff}}} = 1.2 $ $ U_{{\mathrm{eff}}} = 1.5 $ $ U_{{\mathrm{eff}}} = 2 $ $ {\mathrm{Para}} $ $ P4/mmm $ 154 172 225 227 214 ${\mathrm{ R}}(M_2^+) $ $ P4/mbm $ 0 0 0 0 0 $ {\mathrm{T}}(a, 0)(M_5^+) $ $ Pmna $ — — 228 225 214 $ {\mathrm{T}}(a, a)(M_5^+) $ $ Cmma $ — — 227 224 212 $ {\mathrm{JT}}_1(M_3^+) $ $ P4/mbm $ — — — — — $ {\mathrm{JT}}_2(M_4^+) $ $ P4/mmm $ — — — — — $ {\mathrm{R}} \oplus {\mathrm{JT}}_1 $ $ Pbam $ — — — — — $ {\mathrm{R}} \oplus {\mathrm{JT_2}} $ $ P4/m $ — — — — — $ {\mathrm{R}} \oplus {\mathrm{T}}(a, 0) $ $ P2_1/c $ — — — — — $ {\mathrm{R}} \oplus {\mathrm{T}}(a, a) $ $ C2/m $ — — — — — $ {\mathrm{T}}(a, 0) \oplus {\mathrm{JT}}_1 $ $ P2_1/c $ — — — — — $ {\mathrm{T}}(a, 0) \oplus {\mathrm{JT_2}} $ $ P2/m $ — — — — — $ {\mathrm{T}}(a, a) \oplus{\mathrm{ JT}}_1 $ $ C2/m $ — — — — — $ {\mathrm{T}}(a, a) \oplus {\mathrm{JT}}_2 $ $ C2/m $ — — — — — $ {\mathrm{R}} \oplus {\mathrm{T}}(a, 0) \oplus {\mathrm{JT}}_1 $ $ P2_1/c $ — — — — — ${\mathrm{ R}} \oplus {\mathrm{T}}(a, 0) \oplus {\mathrm{JT}}_2 $ $ P\bar{1} $ — — — — — $ {\mathrm{R}} \oplus{\mathrm{ T}}(a, a) \oplus {\mathrm{JT}}_1 $ $ P\bar{1} $ — — — — — $ {\mathrm{R}} \oplus {\mathrm{T}}(a, a) \oplus {\mathrm{JT}}_2 $ $ P\bar{1} $ — — — — — $ U_{{\mathrm{eff}}} $/eV $ J_1 $/meV $ J_2 $/meV K/meV M/$ \mu_{\mathrm{B}} $ $ T_{\mathrm{C}} $/K 0 11.48 –1.35 1.57 0.73 81 0.5 15.39 1.73 1.11 0.96 111 1.2 25.34 –2.41 1.83 1.43 177 1.5 31.18 –3.90 1.70 1.44 195 2 38.38 –8.53 1.81 1.47 202 -
[1] [2] [3] [4] [5] [6] [7] [8] [9] [10] [11] [12] [13] [14] [15] [16] [17] [18] [19] [20] [21] [22] [23] [24] [25] [26] [27] [28] [29] [30] [31] [32] [33] [34] [35] [36] [37] [38]
计量
- 文章访问数:188
- PDF下载量:6
- 被引次数:0












下载:




