-
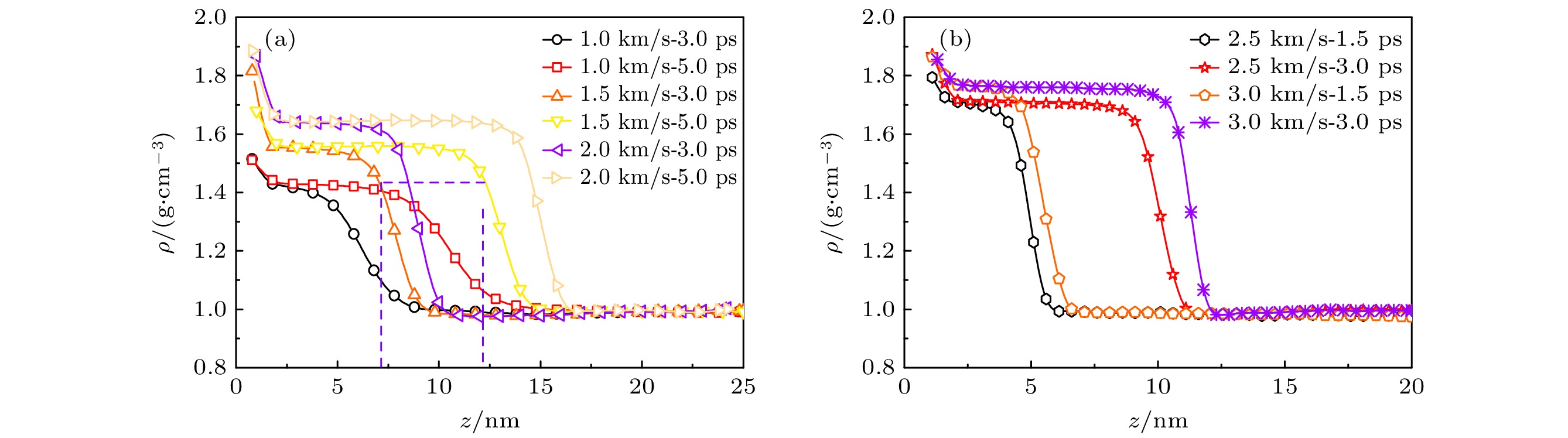
采用分子动力学模拟方法研究纳米气泡逐渐凹陷并发展至溃灭的过程, 本文主要研究冲击速度和气泡尺寸对纳米气泡溃灭的动力学特性影响机制. 结果表明: 纳米气泡溃灭大体上经历三个阶段. 首先是气泡外侧水分子压缩阶段, 然后是冲击波导致液膜稳定结构被破坏阶段, 最终发展至气泡完全溃灭阶段; 在冲击速度较大时, 较小尺寸气泡在更强的冲击效果作用下, 气泡溃灭时间更短; 纳米气泡溃灭后高速射流后在速度等高线右端形成凸起, 随着气泡尺寸和冲击速度增大, 凸起程度就越大, 水分子向气泡中心汇集, 在气泡上方和下方形成涡旋结构, 有效的增强了流体内部传质作用; 随着气泡尺寸和冲击速度的增大, 气泡周围密度也逐渐增大, 气泡完全时溃灭时局部密度可达1.5 g/cm 3附近; 当气泡体系衰减至一半时, 出现水锤冲击效应, 随着气泡尺寸和冲击速度的增大, 水锤冲击作用愈发明显, 对于 u p= 3.0 km/s, D= 10 nm的纳米气泡结构塌陷后射流水锤冲击所形成的局部压强可达30 GPa.This study employs molecular dynamics simulations to investigate the process of nanobubble gradual indentation and eventual collapse. The research primarily focuses on the mechanisms by which impact velocity and bubble size influence the dynamic characteristics of nanobubble collapse. The results indicate that nanobubble collapse generally proceeds through three stages. Initially, there is a compression phase of water molecules surrounding the bubble, followed by a phase where the shock wave disrupts the stable structure of the liquid film, and finally, the complete collapse of the bubble. At higher impact velocities, smaller bubbles collapse more rapidly due to stronger shock effects. Post-collapse, a high-speed jet forms a protrusion on the right end of the velocity contour. The degree of protrusion increases with bubble size and impact velocity. Water molecules converge towards the bubble center, forming vortex structures above and below the bubble, effectively enhancing internal mass transfer. As bubble size and impact velocity increase, the density around the bubble gradually rises, reaching approximately 1.5 g/cm³ in localized areas upon complete collapse. When the bubble system decays to half its original size, a water hammer effect occurs. This effect becomes more pronounced with increasing bubble size and impact velocity. For a nanobubble structure with u p= 3.0 km/s and D= 10 nm, the local pressure formed by the water hammer impact of the jet after collapse can reach 30 GPa.
[1] [2] [3] [4] [5] [6] [7] [8] [9] [10] [11] [12] [13] [14] [15] [16] [17] [18] [19] [20] [21] [22] [23] [24] [25] [26] -
type ε/(kcal·mol–1) σ/Å q/e O 3.166 0.15535 –0.8476 H 0 0 0.4238 up/(km·s–1) us1 us2 us3 uexp usim ε/% 1.0 3.21 3.26 3.17 3.57 3.61 9.8 1.5 4.06 4.14 4.16 4.40 4.30 6.4 2.0 5.07 5.06 5.16 5.25 5.18 2.9 2.5 5.89 5.93 5.99 5.93 5.51 0.6 粒子速度
up/(km·s–1)气泡尺寸
D/nm气泡破裂时间τ/ps MD Rayleigh 差值 1.0 8 3.3 3.8 0.5 10 4.2 4.7 0.3 12 4.6 5.7 1.0 1.5 8 2.2 2.5 0.3 10 2.7 3.1 0.4 12 3.4 3.7 0.3 2.0 8 1.8 2.1 0.3 10 2.2 2.3 0.1 12 2.6 2.8 0.2 2.5 8 1.4 1.5 0.1 10 1.9 1.8 0.1 12 2.1 2.2 0.1 3.0 8 1.2 1.1 0.1 10 1.6 1.4 0.2 12 1.9 1.7 0.2 粒子速度up/(km·s–1) 冲击速度us/(km·s–1) 冲击压力Ps/GPa MD Rankine–
Hugoniot差值 1.0 3.22 3.09 3.20 0.11 1.5 4.12 6.16 6.18 0.02 2.0 5.09 10.19 10.18 0.01 2.5 5.93 14.96 14.82 0.14 3.0 6.80 20.63 20.40 0.23 -
[1] [2] [3] [4] [5] [6] [7] [8] [9] [10] [11] [12] [13] [14] [15] [16] [17] [18] [19] [20] [21] [22] [23] [24] [25] [26]
计量
- 文章访问数:420
- PDF下载量:11
- 被引次数:0












下载:













