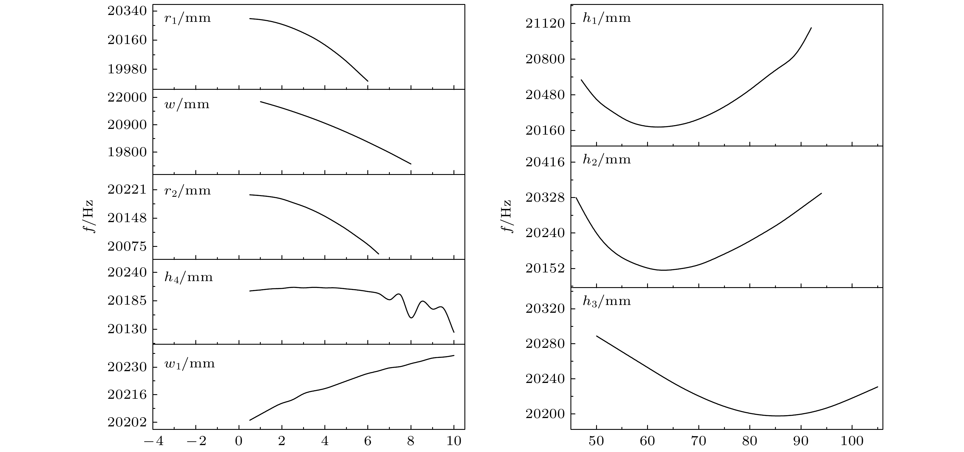
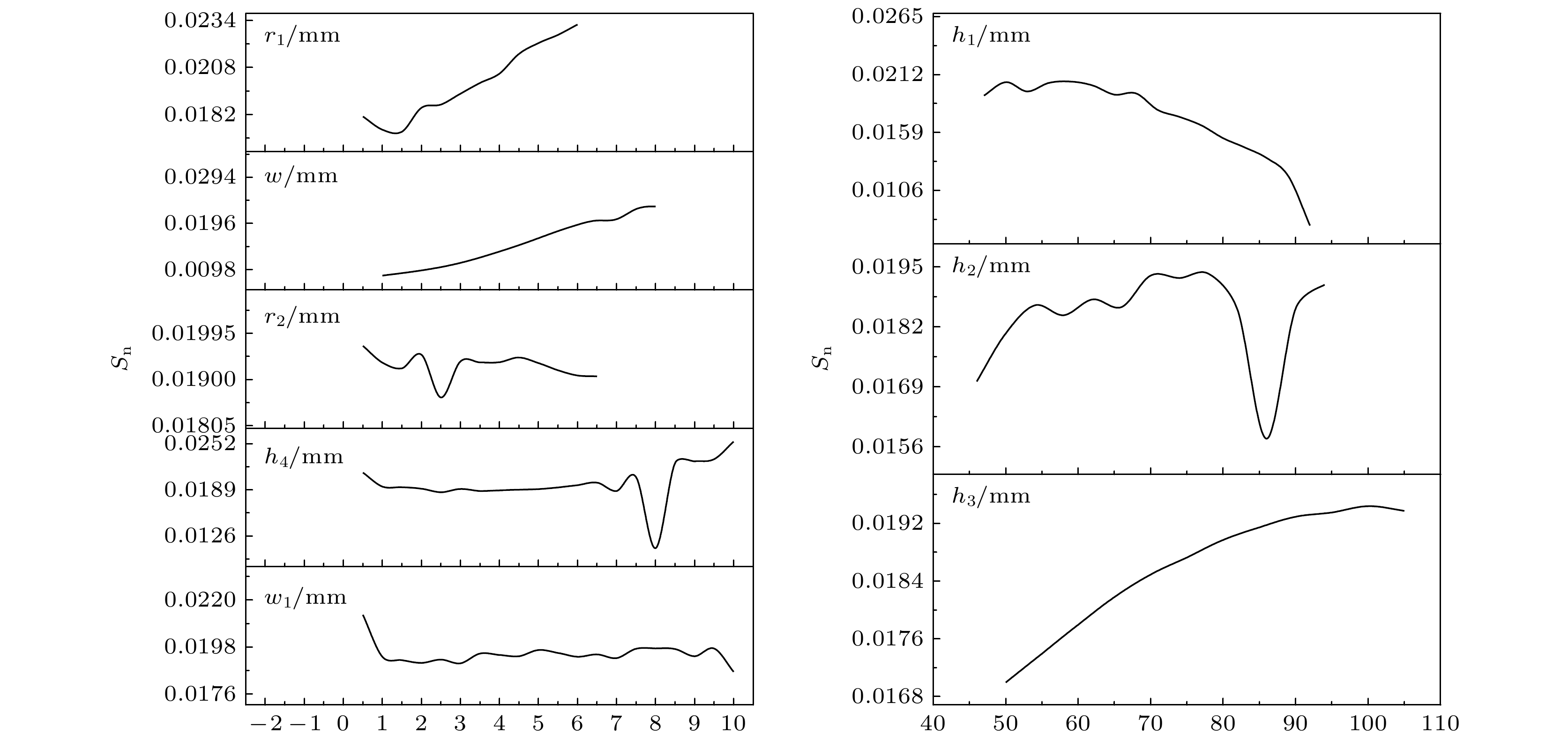
How to regulate the sound waves in the coupled vibration system of complex power ultrasonic transducers and design high-performance transducer systems has always been an urgent problem in the field of power ultrasound. Research has found that introducing various defects within the transducer system can improve the performance of the transducer coupled vibration system to a certain extent. However, the drawbacks of high loss, narrow frequency band, and sensitivity to structural parameters limit the further practical application of defect type phononic crystal transducer coupled vibration systems.In order to improve the limitations of the coupled vibration system of defect-type phononic crystal transducers, effectively reduce energy loss, and enhance the efficiency of energy transmission, this paper introduces a topological defect structure with energy localization effect and a sound surface structure with high energy transmission efficiency into the coupled vibration system of the transducer. In this study, the acoustic surface structure and topological defect structure are used to excite defect states with energy localization effects and high energy transmission efficiency surface states, effectively regulating the vibration of the transducer coupled vibration system, and constructing a transducer coupled vibration system with high quality factor, low loss, and high energy transmission efficiency. By flexibly designing the geometric size parameters of the acoustic surface structure and defects, the vibration of the transducer coupled vibration system can be effectively controlled, thereby meeting the different functional requirements of the transducer coupled vibration system.However, due to the excessive design parameters of surface structure and topological defect structure, the complexity of the design will be multiplied, greatly reducing the success rate of the design. Therefore, this study uses data analysis technology to establish a performance prediction model for the transducer coupled vibration system, in order to achieve the accurate prediction of system performance and change the shortcomings of low design efficiency and low success rate brought by traditional empirical trial and error methods.In order to verify the effectiveness of the research, the coupled vibration system of the transducer is studied in simulation and experiment in this work. The simulation and experimental results indicate that the acoustic surface structure and topological defect structure can effectively regulate sound waves to improve the performance of the transducer coupled vibration system.