- 
				提出了一种高效分析单轴/双轴双各向异性媒质电磁特性的快速传输矩阵法(rapid-transfer matrix method, R-TMM). 该方法基于旋度麦克斯韦方程, 构造了关于电场的齐次微分方程, 并通过复杂的矩阵运算, 导出用于特征值求解的布克四次方程. 随后, 从特征方程中提取单轴/双轴双各向异性媒质的特征值. 在此基础之上, 通过对层状结构中电磁场在分界面处切向连续性的深入研究, 构建了适用于多层媒质中平面波传播的传输矩阵. 结合上下行波在不同区域的传播关系, 推导出单轴/双轴双各向异性传播系数的计算公式. 最后, 设计了单轴/双轴双各向异性材料模型, 并对R-TMM和传统传输矩阵法(conventional-transfer matrix method, C-TMM)的计算结果进行了分析. 数值实验表明, R-TMM不仅能够精确计算单轴/双轴双各向异性媒质的传输系数, 而且可以实现计算效率的大幅度提升. 该方法为科研人员开展单轴/双各向异性媒质电磁特性的研究提供了可靠且高效的计算策略.- 
												关键词:
												
- 单轴/双轴双各向异性 /
- 特征值 /
- 快速传输矩阵法
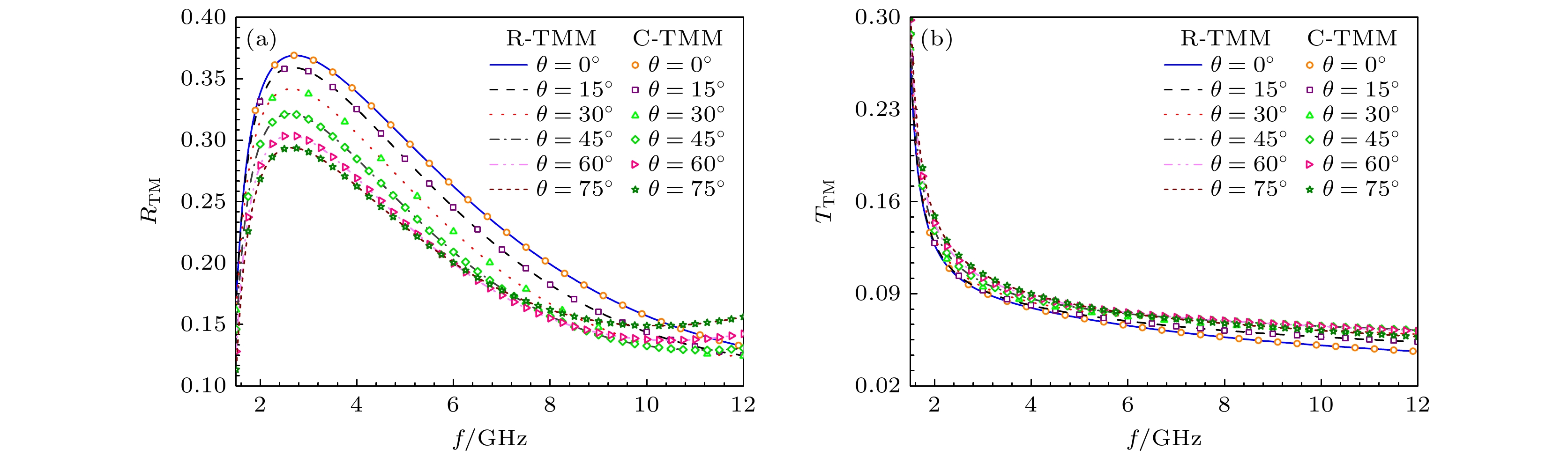
 Uniaxial/biaxial bianisotropic materials are widespreadly used in manufacturing optical devices , owing to their distinctive electromagnetic response characteristics. To effectively analyze the electromagnetic properties of uniaxial/biaxial bianisotropic materials, rapid-transfer matrix method (R-TMM) to investigate the propagation process of plane waves in the media is proposed. Starting from the Maxwell’s equations in the time domain, a homogeneous differential equation about the electric field is constructed by processing the matrix containing dielectric and magnetic conductivity, electric and magnetic loss, tellegen and chirality carrier parameters, and the complex matrix operation is applied to that equation to obtain the Booker quartic equation, and then the formulae method is utilized to obtain the eigenvalues in the uniaxial/biaxial bianisotropic media. Subsequently, the tangential continuity of layered media at the interface is employed to establish a transfer matrix for single-layered media. In the case of multi-layered media, the transfer matrix of plane waves propagating in multi-layered uniaxial/biaxial bianisotropic media can be obtained by means of a continuous iteration process based on the transfer matrix of single-layered media. The formula for calculating the propagation coefficients of uniaxial/biaxial bianisotropic materials can be derived based on the different upward and downward waves in the reflection/transmission region. Finally, the reliability and efficiency of R-TMM are verified from two numerical experiments with the plane waves incident at different angles on uniaxial/biaxial bianisotropic media. The first experiment is designed as a single-layered biaxial bianisotropic model with more general electromagnetic parameters, and the second experiment is designed as a double-layered uniaxial and biaxial bianisotropic model consisting of common optical materials, which are composed of two non-magnetic materials, lithium niobate (LiNbO3) and cadmium sulfide (CdS). The experimental results demonstrate that compared with the conventional conventional-transfer matrix method (C-TMM), the R-TMM reduces the computational memory and CPU time required for calculating the reflection and transmission coefficients of the uniaxial/biaxial bianisotropic model by over 98%, while maintaining the accuracy of the reflection and transmission coefficient calculations. Therefore, R-TMM provides an efficient and dependable approach for the designing complex optical devices and analyzing uniaxial/biaxial bianisotropic propagation characteristics.[1] [2] [3] [4] [5] [6] [7] [8] [9] [10] [11] [12] [13] [14] [15] [16] [17] [18] [19] [20] [21] [22] [23] [24] [25] [26] [27] [28] [29] 
- 
				
    
    
    
    
    
    
    
    
    
    $\boldsymbol\varepsilon_{\rm r}$ $\boldsymbol \mu_{\rm r} $ $\boldsymbol \sigma_{\rm e} $ $\boldsymbol \sigma_{\rm m} $ $ \left[ {\begin{array}{*{20}{c}} {5.6}&0&0 \\ 0&{4.8}&0 \\ 0&0&{6.1} \end{array}} \right] $ $ \left[ {\begin{array}{*{20}{c}} {2.9}&0&0 \\ 0&{4.2}&0 \\ 0&0&{2.6} \end{array}} \right] $ $ \left[ {\begin{array}{*{20}{c}} {2.9}&0&0 \\ 0&{4.2}&0 \\ 0&0&{2.6} \end{array}} \right] $ $ \left[ {\begin{array}{*{20}{c}} {271}&0&0 \\ 0&{422}&0 \\ 0&0&{354} \end{array}} \right] $ $\boldsymbol \xi $ $\boldsymbol \zeta $ $ \left[ {\begin{array}{*{20}{c}} {3.9 + 0.01{\text{j}}}&0&0 \\ 0&{5.3 + 0.03{\text{j}}}&0 \\ 0&0&{4.3 + 0.06{\text{j}}} \end{array}} \right] $ $ \left[ {\begin{array}{*{20}{c}} {3.9 - 0.01{\text{j}}}&0&0 \\ 0&{5.3 - 0.03{\text{j}}}&0 \\ 0&0&{4.3 - 0.06{\text{j}}} \end{array}} \right] $ 方法 CPU核数 内存/MB CPU时间/s 
 TE
 TMC-TMM 1 729.4 9.2541 10.6075 R-TMM 1 5.3 0.1303 0.1521 比率 (R-TMM / C-TMM) 0.0073 0.01408 0.01434 Media $\boldsymbol\varepsilon_{\rm r}$ $\boldsymbol\mu_{\rm r}$ $\boldsymbol\sigma_{\rm r}$ $\boldsymbol\sigma_{\rm r}$ LiNbO3 $ \left[ {\begin{array}{*{20}{c}} {32.3}&0&0 \\ 0&{32.3}&0 \\ 0&0&{37.4} \end{array}} \right] $ $ \left[ {\begin{array}{*{20}{c}} {1.0}&0&0 \\ 0&{1.0}&0 \\ 0&0&{1.1} \end{array}} \right] $ $ \left[ {\begin{array}{*{20}{c}} {4.9}&0&0 \\ 0&{4.9}&0 \\ 0&0&{5.8} \end{array}} \right] $ $ \left[ {\begin{array}{*{20}{c}} {356}&0&0 \\ 0&{356}&0 \\ 0&0&{564} \end{array}} \right] $ CdS $ \left[ {\begin{array}{*{20}{c}} {6.25}&0&0 \\ 0&{6.01}&0 \\ 0&0&{6.32} \end{array}} \right] $ $ \left[ {\begin{array}{*{20}{c}} {1.0}&0&0 \\ 0&{1.0}&0 \\ 0&0&{1.0} \end{array}} \right] $ $ \left[ {\begin{array}{*{20}{c}} {0.02}&0&0 \\ 0&{0.03}&0 \\ 0&0&{0.01} \end{array}} \right] $ $ \left[ {\begin{array}{*{20}{c}} 0&0&0 \\ 0&0&0 \\ 0&0&0 \end{array}} \right] $ Media $\boldsymbol\xi $ $\boldsymbol\zeta $ LiNbO3 $ \left[ {\begin{array}{*{20}{c}} {0.02}&0&0 \\ 0&{0.02}&0 \\ 0&0&{0.01} \end{array}} \right] $ $ \left[ {\begin{array}{*{20}{c}} {0.02}&0&0 \\ 0&{0.02}&0 \\ 0&0&{0.01} \end{array}} \right] $ CdS $ \left[ {\begin{array}{*{20}{c}} {4.5 + 0.01{\text{j}}}&0&0 \\ 0&{6.6 + 0.02{\text{j}}}&0 \\ 0&0&{3.9 + 0.01{\text{j}}} \end{array}} \right] $ $ \left[ {\begin{array}{*{20}{c}} {4.5 - 0.01{\text{j}}}&0&0 \\ 0&{6.6 - 0.02{\text{j}}}&0 \\ 0&0&{3.9 - 0.01{\text{j}}} \end{array}} \right] $ 方法 CPU核数 内存/MB CPU时间/s TE TM C-TMM 1 744.2 11.8062 11.8935 R-TMM 1 7.6 0.1796 0.1851 比率 (R-TMM/C-TMM) 0.0102 0.0152 0.0156 
- 
				
[1] [2] [3] [4] [5] [6] [7] [8] [9] [10] [11] [12] [13] [14] [15] [16] [17] [18] [19] [20] [21] [22] [23] [24] [25] [26] [27] [28] [29] 
计量
- 文章访问数: 424
- PDF下载量: 30
- 被引次数: 0


 
					 
		         
	         
  
					 
										





 
							 下载:
下载: 
				 
							 
							 
							 
							 
							 
							